Viimeksi julkaistu 3.11.2021 13.38

Hallituksen esitys HE 320/2018 vp Hallituksen esitys eduskunnalle laiksi Ahvenanmaan itsehallintolain muuttamisesta

ESITYKSEN PÄÄASIALLINEN SISÄLTÖ

Esityksessä ehdotetaan Ahvenanmaan itsehallintolain muuttamista siten, että lain säännökset Ahvenanmaan maakunnan taloudenhoidosta pääosin uudistetaan. Lisäksi säännöksiin ehdotetaan eräitä lakiteknisiä ja vähäisiä terminologisia muutoksia. Ehdotus rakentuu Ahvenanmaan itsehallintolain kokonaisuudistuksen yhteydessä sovittuun ratkaisuun Ahvenanmaan maakunnan taloudesta ehdotettavasta sääntelystä. Hallituksen ja Ahvenanmaan maakunnan hallituksen välisen yhteisymmärryksen mukaisesti kokonaisuudistus on tarkoitettu saatettavaksi tätä vaalikautta seuraavilla vaalikausilla loppuun. 

Ahvenanmaan maakunnan taloutta koskeva järjestelmä rakentuisi nykyiselle tasoitusjärjestelmälle, mutta se olisi tätä joustavampi. Itsehallintolaissa säädetyn Ahvenanmaan maakunnan ja valtakunnan välisen lainsäädäntövallanjaon mukaan valtionverotus kuuluu Ahvenanmaalla valtakunnan lainsäädäntövaltaan, eli eduskunnan toimivaltuuksiin, muun muassa kunnallisverotuksen kuuluessa maakunnan lainsäädäntövaltaan, eli Ahvenanmaan maakuntapäiville. Ahvenanmaalla kannetut valtionverot otetaan valtion tilinpäätökseen. Esityksessä ehdotetaan säädettäväksi, että Ahvenanmaan maakunnalle siirrettäisiin varoja itsehallintoon liittyvien menojen rahoittamiseksi nykyistä järjestelmää muistuttavalla tasoitusjärjestelmällä, jota kuitenkin voitaisiin muuttaa joustavammin. Uuden tasoitusjärjestelmän mitoituksessa on sen varmistamiseksi, että Ahvenanmaan maakunta suoriutuisi tehtävistään, huomioitu lisäys nykytilaan verrattuna maakunnan perusrahoituksen korottamiseksi.  

Nykyinen verohyvitysjärjestelmä ehdotetaan korvattavaksi uudenlaisella verotasoitusjärjestelmällä. Ehdotetulla järjestelmämuutoksella on kaksi tarkoitusperää. Toisaalta verotasoituksen tarkoituksena on toimia nykyistä verohyvitystä tehokkaampana kannustimena veronmaksukyvyn lisäämiseksi Ahvenanmaalla. Toisaalta ehdotetun verotasoituksen tulee toimia neutraalisti suhteessa suunniteltuihin ja tuleviin valtionhallinnon uudistuksiin. Ehdotetussa verotasoituksessa on huomioitu maakunta- ja soteuudistuksen voimaantulosta johtuvat vaikutukset itsehallintolain verohyvitystä koskevan säännöksen soveltamiseen (PeVL 26/2017 vp). 

Uudistuksen myötä Ahvenanmaan maakunnan itsehallinnon menoja katettaisiin pääasiassa valtion tilinpäätökseen perustuvalla vuotuisella tasoitusmäärällä sekä ehdotetulla verotasoituksella. Lisäksi mahdollisuus harkinnanvaraisen ylimääräisen määrärahan sekä lisäavustuksen myöntämiseen poikkeuksellisissa oloissa ehdotetaan säilytettäväksi.  

Ehdotettu laki on tarkoitettu tulemaan voimaan 1 päivänä tammikuuta 2021.  

YLEISPERUSTELUT

Nykytila ja ehdotetut muutokset

1.1  Nykytila

1.1.1  Ahvenanmaan maakunnan itsehallinnon menojen rahoitus

Ahvenanmaan maakunnalla on itsehallintolain 18 §:n 5 kohdan mukaan lainsäädäntövalta asioissa, jotka koskevat maakunnalle tulosta perittävää lisäveroa ja tilapäistä ylimääräistä tuloveroa, maakunnalle maksettavia elinkeino- ja huviveroja, maakunnalle perittävien maksujen perusteita sekä kunnalle tulevia veroja. Valtionverotus kuuluu itsehallintolain 27 §:n 36 kohdan mukaan valtakunnan lainsäädäntövaltaan. 

Ahvenanmaan maakunnan talousjärjestelmä, eli tasoitusjärjestelmä, on rakennettu niin, että verovelvolliset maksavat veroa valtiolle samoin perustein kuin maan muiden osien verovelvolliset. Valtion budjetista siirretään varoja maakuntaan itsehallintoon liittyvien menojen rahoittamista varten. Tämä tehdään itsehallintolain mukaan pääasiassa tasoituksen, verohyvityksen ja ylimääräisten määrärahojen kautta. Maakunnalla on vapaa budjetointioikeus, eli verovarat voidaan käyttää Ahvenanmaan maakuntapäivien päättämällä tavalla. 

Rahamäärä, jonka maakunta saa vuosittain tasoitusjärjestelmän kautta, eli tasoitusmäärä lasketaan siten, että valtion tilinpäätöksen mukaiset asianomaisen vuoden tulot lukuun ottamatta uusia valtion lainoja kerrotaan tietyllä suhdeluvulla (tasoitusperuste). Itsehallintolain 47 §:n mukaan tasoitusperuste on 0,45 prosenttia. Tasoitus toimitetaan vuosittain jälkikäteen kultakin kalenterivuodelta, ja tasoitusmäärästä maksetaan vuosittain ennakkoa, joka otetaan huomioon lopullisen tasoitusmäärän laskennassa. Valtion tilinpäätöksessä tulojen kokonaismäärä nettolainanoton vähentämisen jälkeen on yleensä poikennut talousarvioesityksen summasta lisätalousarvioesitykset mukaan lukien. Tämä tarkoittaa, että lopullinen tasoitusmäärä voi olla ennakkoa suurempi tai pienempi, jos sitä ei tarkisteta riittävästi budjettivuoden aikana.  

Tasoitusperusteen muuttamisen perusteista säädetään 47 §:n 2—4 momentissa. Nykyisen järjestelmän mukaan tasoitusperusteita on muutettava (korotettava tai alennettava 0,45 prosentista) sen jälkeen, kun on arvioitu, onko valtion tilinpäätökseen tehty sellaisia muutoksia, joiden itsehallintolain säännösten nojalla on katsottava vaikuttavan tasoitusperusteen suuruuteen. Pykälän 3 ja 4 momenttien mukaan tasoitusperustetta voidaan korottaa tai alentaa myös muista mainituissa momenteissa erityisesti esitetyistä syistä kuin niistä, jotka ovat 2 momentista johtuvia. Itsehallintolain 47 §:n 5 kohdan nojalla tasoitusperustetta voidaan muuttaa valtakunnan lailla, johon maakuntapäivät on antanut suostumuksensa.  

Nykyisin maakunnan tehtävien rahoituksesta noin 65 prosenttia tulee tasoituksen kautta. Vuosina 2007—2016 tasoitusmäärä on ollut noin 201 miljoonaa euroa vuodessa. Vuoden 2017 valtion tilinpäätöksen mukaan tasoituksena maksettiin noin 234 miljoonaa euroa. Tasoitusmäärän odotetaan nousevan noin 246,8 miljoonaan euroon vuoden 2018 tilinpäätöksessä ja vuodelta 2019 noin 242,3 miljoonaan euroon.  

Valtion talousarvioon on vuodesta 1992 alkaen sisältynyt määräraha arpajaisveron palauttamiseksi Ahvenanmaalle. Valtion velvollisuus palauttaa maksettu vero maakunnalle perustuu eduskunnan vastaukseen hallituksen esitykseen ehdotuksesta arpajaisverolaiksi (HE 15/1992 vp—EV 54/1992 vp). Eduskunta edellytti, että hallitus sisällyttää tämän määrärahan vuosittain talousarvioon. Vuosina 2008—2017 palautettiin keskimäärin 9,3 miljoonaa euroa. Vuoden 2017 tilinpäätöksessä määrä oli noin 11,4 miljoonaa euroa. Vuonna 2017 Ålands Penningautomatförening-niminen raha-automaattisyhdistys (PAF) maksoi noin 12,4 miljoonaa euroa arpajaisveroja. Verot palautettiin maakunnalle keväällä 2018. 

Jos maakunnassa verovuodelta maksuun pantu tulo- ja varallisuusvero ylittää 0,5 prosenttia vastaavasta verosta koko maassa, itsehallintolain 49 §:n nojalla ylimenevä osa kuuluu maakunnalle verohyvityksenä. Verohyvitys vahvistetaan ja maksetaan verotuksen vahvistamisen jälkeen eli kaksi vuotta jälkikäteen. Verohyvitysjärjestelmä ei ole sisältynyt aiempiin itsehallintolakeihin. Esitöissä (HE 73/1990, s. 58 ja 92) todetaan muun muassa, että on katsottu olevan kohtuullista, että maakunta saa korotetun määrärahan (verohyvityksen), jos verojen taso maakunnassa ylittää määrätyn suhdeluvun. Perustelujen mukaan verohyvityksellä kompensoidaan tietyssä määrin ahvenanmaalaisten toivetta omasta verolainsäädännöstä. Esitöiden mukaan se myös luo maakunnan viranomaisille kannustimen toteuttaa elinkeinopolitiikkaa, jonka avulla verotulot voivat kasvaa. Verohyvitys on tullut maksettavaksi joka vuodelta sen jälkeen, kun nykyinen itsehallintolaki tuli voimaan, ja on ollut keskimäärin 13,5 miljoonaa euroa vuodessa verovuosina 2007—2016, joka on maksettu vuosina 2009—2018. 

1.1.2  Yhteenveto vuosittain Ahvenanmaan maakunnalle suoritetuista siirroista

Vuosittain suoritettavat siirrot eli tasoitusmaksu, verohyvitys ja arpajaisverojen palautus ovat toteutuneet seuraavasti: 

 

2007—2016 

2017 

tilinpäätös 

2018 arvio 

2019 arvio 

Siirrot 

yhteensä ME 

222,9 

269,0 

274,4 

272,3 

Itsehallintolain 48 §:n nojalla maakuntapäivien esityksestä voidaan myöntää ylimääräinen määräraha poikkeuksellisen suuriin kertamenoihin, joita ei kohtuudella voi rahoittaa maakunnan talousarviosta. Ylimääräinen määräraha on myönnetty kolme kertaa vuoden 1993 jälkeen. Ylimääräinen määräraha on itsehallintolain perusteella myönnetty sähkönsaannin turvaamiseksi sähkökaapelin rakentamiseen Ruotsin ja Ahvenanmaan välillä (7,2 miljoonaa euroa) sekä Manner-Suomen ja Ahvenanmaan välillä (50 miljoonaa euroa). Lisäksi ylimääräistä määrärahaa on myönnetty varavoimatuen rakentamiseen kaasuturbiinilaitoksen muodossa (6,2 miljoonaa euroa). Maakuntapäivät on syyskuussa 2018 tehnyt uuden esityksen Ahvenanmaan valtuuskunnalle. 

Itsehallintolain 51 §:n nojalla voidaan maksaa erityinen avustus poikkeustilanteissa, kuten luonnonmullistusten ja kansantalouden vakavien häiriöiden yhteydessä. Tämä ei kuitenkaan ole tullut ajankohtaiseksi vuoden 1991 itsehallintolain voimassaolon aikana. 

Ahvenanmaan valtuuskunta toimittaa laskennan, vahvistaa verohyvityksen ja myöntää ylimääräisen määrärahan ja erityisen avustuksen sekä tekee päätöksen niihin mahdollisesti liittyvistä ehdoista. Kaksi ensimmäistä tehtävää ovat luonteeltaan teknisiä, kun taas ylimääräistä määrärahaa koskeva tehtävä on ratkaista, myönnetäänkö sitä vai ei. Tasavallan presidentin tulee vahvistaa kaikki valtuuskunnan talousasioihin liittyvät päätökset.  

1.1.3  Tasoitusjärjestelmän kehittämistarve

Itsehallintolain 45—49 §:n mukainen nykyinen tasoitusjärjestelmä sai lopullisen sisältönsä lain valmistelun loppuvaiheessa (HE 73/1990 vp, s. 88—91, PeVM 15/1990 vp, valtiovarainvaliokunnan lausunto; PeVM:n liite 3).  

2000-luvun aikana on todettu olevan tarpeen tehdä mahdolliseksi tasoitusperusteen ja verohyvityksen muutoskriteerien tarkentaminen ja tehdä tasoitusjärjestelmästä joustavampi (katso ”Verotulojen tasausjärjestelmä Ahvenanmaan ja valtion välillä: 1990-luvun kokemukset”, valtiovarainministeriön työryhmän mietintö vuodelta 2004 ja ”Tasoitusperusteen muutostarve”, valtiovarainministeriön julkaisuja 13a/2013). Vuoden 1991 itsehallintolain myötä itsehallinnon menojen rahoitusjärjestelmässä tehdyn muutoksen alkuperäinen tavoite katsotaan saavutetuksi. Itsehallintolaki on lisännyt maakunnan taloudellista itsenäisyyttä ja vuosittainen päätöksenteko Ahvenanmaan maakunnan määrärahoista on muuttunut hallinnollisesti helpommaksi. Nykyinen tasoitusjärjestelmä on hallinnollisesti yksinkertainen ja selkeä, eikä päätöksen tekeminen vuosittaisesta tasoitusmäärästä ja verohyvityksestä vaadi suuria resursseja. Järjestelmän on ajan kuluessa katsottu tuottaneen sekä Ahvenanmaalle että valtakunnalle suhteellisen kohtuullisen tuloksen määrärahansiirtojen kokonaismäärän suhteen. Määrärahat on kuitenkin sidottu valtion tuloihin, ja siksi finanssipolitiikka ja suhdannevaihtelut vaikuttavat niihin.  

Tasoitusjärjestelmästä puuttuu kuitenkin kytkentä Ahvenanmaan väestöosuuden ja tasoitusperusteen väliltä. Kun väestönmäärä Ahvenanmaalla nousee, kasvavat myös sellaisten julkisten palvelujen menot, jotka kuuluvat maakunnan lainsäädäntövaltaan. Kun väestönmäärä on vähentynyt, menot eivät vastaavassa määrin vähene. Tasoitusjärjestelmää on tarpeen muuttaa siten, että siinä huomioitaisiin paremmin väestönmäärässä tapahtuneet muutokset. 

Tasoitusperuste ja verohyvitys ovat vuositasolla toimineet kokonaisuudessaan tarkoituksenmukaisella tavalla, ja verohyvitys on vaimentanut maakunnalle suoritetuissa siirroissa esiintyviä vaihteluita. Tasoitusperuste ja verohyvitys on kuitenkin aiheellista nähdä kokonaisuutena muuttamatta tavoitetta, että verohyvitys luo maakunnan viranomaisille kannustimia edistää sellaista elinkeinopolitiikkaa, joka mahdollistaa suuremmat verotulot suhteessa Ahvenanmaan väestönosuuteen.  

Lisäksi on tarve korvata nykyistä itsehallintolain 49 §:ssä säädettyä verohyvitysjärjestelmää toisella järjestelmällä, joka, toisaalta maakunnan toiveitten verotustoimivallan laajentamisesta mukaisesti toimisi vieläkin tehokkaampana kannustimena Ahvenanmaalla verokantokyvyn kehittämiseksi kuin nykyinen verohyvitys, toisaalta toimisi neutraalisti suunniteltuihin ja tuleviin valtionhallinnon uudistuksiin (ks. PeVL 26/2017 vp).  

Itsehallintolain 47 §:n 2—4 momentin nykyisiä perusteita tasoitusperusteen muuttamisesta on täydennettävä. Itsehallintolaista puuttuu säännöksiä niistä valtion tilinpäätöksen muutoksista, jotka voidaan katsoa sellaisiksi valtion tilinpäätöksen perusteiden muutoksiksi, joiden kautta syntyy tarve muuttaa tasoitusperustetta. Lain 47 §:n 2 momentin olennaisuusvaatimus on lisäksi aiheuttanut turhia tulkintaongelmia. Nykyiset säännökset tasoitusperusteen muuttamisesta eivät nimenomaisesti huomioi, että maakunnan lainsäädäntövaltaan voidaan itsehallintolain nykyisen 29 §:n 1 ja 2 momentin nojalla valtakunnan lailla ja maakuntapäivien suostumuksella siirtää eräitä lainsäädäntövallan aloja, jotka nykyisin kuuluvat valtakunnan lainsäädäntövaltaan. 

Nykyinen lainsäädäntö on muotoiltu yleispiirteisesti, minkä takia sitä voidaan tulkita eri tavoin. Maakunnan ja valtakunnan viranomaiset ovat esimerkiksi olleet erimielisiä siitä, millaisten valtion tilinpäätöksen muutosten tulee vaikuttaa tasoitusperusteeseen. Jos tasoitusperusteen muuttamistarpeesta esiintyykin erimielisyyttä, sitä on hyvin vaikeaa muuttaa, sillä muutos edellyttää eduskunnan ja maakuntapäivien yhtäpitävää päätöstä. Tasoitusperusteen muutosmenettelyä, joka tarkoittaa tasoitusperusteen muuttamista valtakunnan lailla ja maakuntapäivien suostumuksella, ei ole koskaan sovellettu käytännössä.  

1.2  Ehdotetut muutokset

Lakiehdotuksessa Ahvenanmaan maakunnalle ehdotetaan talousjärjestelmää, joka edelleen perustuu siihen, että verovelvolliset Ahvenanmaalla maksavat veroa valtiolle samoin perustein kuin maan muiden osien verovelvolliset. Valtion talousarvion kautta maakunnalle siirretään varoja itsehallintoon liittyvien menojen rahoittamista varten. Tämä tehdään lakiehdotuksen mukaan pääasiassa tasoituksen ja verotasoituksen sekä jatkossakin eräissä erityistilanteissa myös ylimääräisen määrärahan kautta.  

Rahamäärä, jonka Ahvenanmaan maakunta saa vuosittain tasoituksen kautta, eli tasoitusmäärää ehdotetaan laskettavaksi siten, että valtion tilinpäätöksen mukaiset asianomaisen vuoden tulot, lukuun ottamatta ansiotuloveroa ja rajoitetusti verovelvollisten maksamaa lähdeveroa sekä yleisradioveroa, pääomatuloveroa, yhteisöveroa ja tonnistoveroa, arpajaisveroa sekä uusia valtion lainoja (tasoituspohja), kerrotaan tietyllä suhdeluvulla (tasoitusperuste). Lakiehdotuksen 47 §:n 1 momentin mukaan tasoitusperuste on 0,45 prosenttia.  

Lakiehdotuksen 46 §:n 2 momentissa ehdotetaan uudella säännöksellä säädettäväksi, että Ahvenanmaan väestönmäärässä tapahtunut muutos suhteessa koko Suomen väestönmäärään otetaan huomioon tasoitusmäärän toimittamisessa. Tasoitus toimitetaan vuosittain jälkikäteen kultakin kalenterivuodelta, mutta tasoitusmäärästä ehdotetaan maksettavaksi kuukausittain ennakkoa, joka otetaan huomioon lopullisen tasoitusmäärän laskennassa. Valtion tilinpäätöksessä tulojen määrä on yleensä poikennut talousarvioesityksen määristä lisätalousarvioesitykset mukaan lukien. Tämä tarkoittaa, että lopullinen tasoitusmäärä voi olla ennakkomäärää suurempi tai pienempi.  

Lakiehdotuksen 47 §:n 2—4 momentissa esitetään tasoitusperusteen muuttamisen perusteet. Lakiehdotuksen 47 §:n 2 momentin mukaan tasoitusperusteita on muutettava (korotettava tai alennettava ehdotetusta 0,45 prosentista) sen jälkeen, kun on arvioitu, onko valtion tilinpäätökseen tehty sellaisia muutoksia, joiden itsehallintolain säännösten nojalla on katsottava vaikuttavan tasoitusperusteen suuruuteen. Lakiehdotuksen 47 §:n 3 ja 4 momentin mukaan tasoitusperustetta on korotettava tai alennettava myös muista mainituissa momenteissa erityisesti esitetyistä syistä kuin niistä, jotka ovat seurausta 2 momentista.  

Lakiehdotuksen 48 §:n 2 momentin mukaan valtiovarainministeriö ja Ahvenanmaan maakunnan hallitus arvioisivat vähintään joka kolmas vuosi, onko tasoitusperustetta syytä muuttaa 47 §:n 2—4 momentin mukaan. Ahvenanmaan valtuuskunnan asemaa ehdotetaan laajennettavan tähän prosessiin kuuluvilla tehtävillä, joiden mukaan se vastaanottaa hallitusten ehdotukset ja antaa sitten oman ehdotuksensa valtioneuvostolle. Tasoitusperusteen muuttamisesta säädetään jatkossakin valtakunnan lailla maakuntapäivien suostumuksella.  

Lakiehdotuksen 49 §:ssä ehdotetaan uutta säännöstä niin sanotusta verotasoituksesta, joka korvaisi itsehallintolain verohyvitystä koskevan nykyisen säännöksen. Verotasoitus perustuisi siihen, että Ahvenanmaalta maksuun pantujen valtion ansiotulo- ja pääomatuloverojen ja rajoitetusti verovelvollisten maksamien lähdeverojen, yhteisöverojen ja tonnistoveron, sekä Ahvenanmaalla maksetun arpajaisveron rahamäärät palautetaan vuosittain Ahvenanmaalle. Tasoituksen tapaan verotasoitus on tarkoitus toimittaa vuosittain jälkikäteen jokaiselta kalenterivuodelta. Kuukausittain maksetaan ennakkoa aiemman verotuksen tuloksen ja muutoin valtiovarainministeriön ennusteiden perusteella.  

Osa verotasoitukseen sisältyvistä veroista voi vaihdella voimakkaasti. Siksi järjestelmään ehdotetaan turvamekanismia. Lakiehdotuksen 49 §:n 2 momentissa ehdotetaan säädettäväksi, että jos yhteisöveron ja pääomatuloveron yhteenlaskettu toteuma alittaa yli 10 prosentilla sen yhteismäärän, jonka Ahvenanmaan maakunta olisi saanut vastaavien verojen perusteella tasoituksen kautta, erotus maksetaan maakunnalle. 

Itsehallintolain esitöissä todetaan muun muassa, että on katsottu olevan kohtuullista, että maakunta saa korotetun määrärahan (verohyvityksen), jos verojen taso maakunnassa ylittää määrätyn suhdeluvun. Perustelujen mukaan verohyvityksellä kompensoidaan tietyssä määrin ahvenanmaalaisten toivetta omasta verolainsäädännöstä. Esitöiden mukaan se myös luo maakunnan viranomaisille kannustimen toteuttaa elinkeinopolitiikkaa, jonka avulla verotulot voivat kasvaa (HE 73/1990 vp, s. 58). Verotasoituksen on tarkoitus toimia nykyistä verohyvitystä tehokkaampana kannustimena Ahvenanmaan veronmaksukyvyn lisäämiseksi. Keskeinen ero nykyiseen järjestelmään verrattuna olisi se, että lakiehdotuksen mukaan Ahvenanmaa saisi kokonaisuudessaan verotasoituksessa tarkoitettujen verojen verotulot. Nykyisen järjestelmän mukaan Ahvenanmaalle siirretään vain tietyn laskennallisen rajan yli menevä osuus veroista. Ahvenanmaan taloudellisen itsehallinnon lisäyksen suhteen ehdotus tarkoittaisi veronsaajaan verrattavaa asemaa taloudellisen tuloksen osalta. Uusi talousjärjestelmä on rakennettu niin, että se lisää Ahvenanmaan saamaa rahoitusta kohdassa 2 tarkemmin ilmenevällä tavalla. Tasoitusmäärän ja verotasoituksen tulee normaalioloissa kattaa itsehallinnon rahoitustarpeet. 

Vuosina 2016—2018 keskimäärin noin 65 prosenttia maakunnan tehtäviin liittyvistä menoista rahoitettiin tasoitusmäärällä, noin 4,5 prosenttia verohyvityksellä ja noin 3,5 prosenttia arpajaisverojen palautuksella. Vuosien 2016—2018 tehtäviin perustuvan alustavan arvion mukaan lakiehdotus tarkoittaisi, että Ahvenanmaan itsehallinnon tehtävistä noin 48 prosenttia rahoitettaisiin tasoitusmäärällä, noin 23 prosenttia verotasoituksella ja noin 3,5 prosenttia arpajaisveron palautuksella.  

Lakiehdotuksen 50 §:n mukaan maakuntapäivien esityksestä voidaan jatkossakin myöntää ylimääräinen määräraha poikkeuksellisen suuriin kertamenoihin, joita ei kohtuudella voi rahoittaa maakunnan budjetilla. Ahvenanmaan maakuntapäivät on syyskuussa 2018 päättänyt pyytää ylimääräistä määrärahaa infrastruktuuri-investointeihin, jotka ovat suuruudeltaan yhteensä 45 miljoonaa euroa. 

Lakiehdotuksen 51 §:n mukaan lisäavustuksia poikkeuksellisissa olosuhteissa voidaan jatkossakin maksaa poikkeustilanteissa, kuten luonnonmullistusten ja kansantalouden vakavien häiriöiden yhteydessä. 

Ahvenanmaan valtuuskunta toimittaa laskennan, toimittaa verotasoituksen ja myöntää ylimääräiset määrärahat ja lisäavustukset sekä tekee päätöksen niihin mahdollisesti liittyvistä ehdoista. Kaksi ensimmäistä tehtävää ovat luonteeltaan teknisiä, kun taas viimeksi mainittujen avustusten osalta tehtävä on ratkaista, myönnetäänkö niitä vai ei. Tasavallan presidentin vahvistaa itsehallintolain 56 §:n 5 momentin mukaan kaikki valtuuskunnan maakunnan taloutta koskevat päätökset. 

Esityksen vaikutukset

Ahvenanmaan maakunnalla on itsehallintolain 18 §:n 5 kohdassa säädetyllä tavalla lainsäädäntövalta säätää lailla tietyistä veroista ja maksuista. Säännös tarkoittaa, että maakuntapäivillä on toimivalta säätää maakuntalakeja veroista, jotka tulevat suoraan Ahvenanmaan maakunnalle ja sen kunnille. Uudistuksen myötä Ahvenanmaan maakunnan itsehallinnon menoja katettaisiin edelleen pääasiassa valtion tilinpäätökseen perustuvalla vuotuisella tasoitusmäärällä sekä ehdotetulla verotasoituksella. Lisäksi nykyistä mahdollisuutta harkinnanvaraisen ylimääräisen määrärahan sekä lisäavustuksen poikkeuksellisissa oloissa myöntämiselle maakunnalle valtion varoista ehdotetaan säilytettäväksi. 

Nykyisestä tasoitusjärjestelmästä verotasoituksen sisältävään tasoitusjärjestelmään siirtyminen valtion talousarvion kannalta kustannusneutraalisti olisi tarkoittanut tasoitusperusteen suuruuden olevan 0,42 prosenttia. Ahvenanmaan maakunnan perusrahoituksen korottamiseksi ja turvaamiseksi on päädytty ehdottamaan tasoitusperusteen suuruudeksi 0,45 prosenttia. Tämä tarkoittaa vuoden 2021 tasossa noin 12 miljoonan euron vuotuista lisäystä Ahvenanmaalle. Lisäksi verohyvityksestä siirtyminen verotasoitukseen tuo Ahvenanmaalle noin 1—6 miljoonan euron vuotuisen lisäyksen nykyjärjestelmään verrattuna. Ahvenanmaan suhteellisen väestönkehityksen huomioiminen ehdotetussa talousjärjestelmässä tarkoittaisi vastaisuudessa sitä, että Ahvenanmaan lisääntynyt tai vähentynyt väestömäärä suhteessa Suomen väestömäärään tulee näkymään vuotuisen tasoitusmäärän korotuksena tai alenemisena. Viime vuosien väestönkehityksen perusteella säännöksen arvioidaan nostavan tasoitusmäärää noin 0,5 miljoonaa euroa vuositasolla.  

Ehdotettujen muutosten arvioidaan nostavan valtion talousarvion menoja arviolta yhteensä 17 miljoonalla eurolla vuoden 2021 tasolla. Tästä lisäyksestä noin 14 miljoonaa euroa vahvistaisi suoraan maakunnan taloutta ja 3 miljoonaa euroa suunnattaisiin ahvenanmaalaisille kunnille korvauksena siitä yhteisöverotulojen vähenemisestä, joka aiheutuu maakunta- ja sote-uudistuksen voimaantulon yhteydessä tehtävästä yhteisövero-osuuden alentamisesta. Esityksen yleisperustelujen lopussa on selostettu, mihin korvaustarve perustuu. Ahvenanmaan maakunnan hallitus on esityksen valmistelun yhteydessä tähdentänyt, että vertailua tehtäessä tasoituksen ja verotasoituksen toimittamisvuoden perusteella, nykyisen talousjärjestelmän ja ehdotetun tasoitusjärjestelmä välisestä toteutumasta johtuva maakunnan perusrahoituksen lisäys on noin 10 miljoona euroa vuositasolla laskettuna vuoden 2021 tasolla. 

Kun nykyisestä talousjärjestelmästä, jossa tasoitusmäärä maksetaan ennakkoon ja verohyvitys maksetaan jälkikäteen, siirrytään järjestelmään, jossa sekä tasoitusmäärä että verotasoitus maksetaan ennakkoon, toteutuma tulee vuosina 2021 ja 2022 olemaan perusrahoituksen ehdotettua lisäystä suurempi. Ehdotetun siirtymäsäännöksen mukaan Ahvenanmaan maakunnalle maksetaan muutoslain voimaantulovuonna ja sitä seuraavana vuonna tavanomaista suuremmat suoritukset uuden järjestelmän vuoksi. Vuonna 2021 Ahvenanmaan maakunnalle maksettaisiin uusien säännösten mukaisesti sekä tasoituksen että verotasoituksen ennakot. Vuonna 2021 Ahvenanmaan maakunnalle maksettaisiin lisäksi jälkikäteen nykyisen tasoitusjärjestelmän mukaisesti vuoden 2020 tasoituksen lopullinen maksu ja vuoden 2019 verohyvitys sekä vuoden 2020 arpajaisvero, jota arvioidaan noin 14 miljoonaksi euroksi. Maksujen yhteismääräksi arvioidaan noin 34 miljoonaa euroa. Vuonna 2022 Ahvenanmaalle maksettaisiin uuden tasoituksen ja verotasoituksen ennakoiden lisäksi myös vuoden 2020 jälkikäteinen verohyvitys, jonka ennusteen perusteella arvioidaan olevan noin 20 miljoonaa euroa. Verohyvitys on tullut maksettavaksi joka vuodelta sen jälkeen, kun nykyinen itsehallintolaki tuli voimaan, ja on ollut keskimäärin 13,5 miljoonaa euroa vuodessa verovuosina 2007—2016. 

Hallintokustannuksiltaan nykyinen tasoitusjärjestelmä vastaa noin 0,2 henkilötyövuotta valtiovarainministeriössä. Nykyisiin vuosittaisiin hallintokustannuksiin nähden on arvioitavissa, että ehdotetun tasoitusjärjestelmän ylläpitäminen olisi suunnilleen kustannusneutraali. 

Lakiehdotuksen myötä Ahvenanmaan valtuuskunnan tehtävät muuttuisivat hieman, kun sekä tasoitusmäärä että verotasoitus maksetaan ennakkoon. Lisäksi valtuuskunnalle ehdotetaan kolmen vuoden välein toistuvaa tehtävää arvioida tasoitusperusteen muuttamisen edellytyksiä. Ehdotuksista ei aiheudu lisäkustannuksia oikeusministeriön hallinnonalalle. 

Asian valmistelu

Ehdotus on valmisteltu oikeusministeriössä yhteistyössä valtiovarainministeriön ja Ahvenanmaan maakunnan hallituksen kanssa. Ehdotus rakentuu Ahvenanmaan itsehallintolain kokonaisuudistuksen yhteydessä sovittuun ratkaisuun Ahvenanmaan maakunnan taloudesta ehdotettavasta sääntelystä. Hallituksen ja Ahvenanmaan maakunnan hallituksen välisen yhteisymmärryksen mukaisesti kokonaisuudistus on tarkoitettu saatettavaksi tätä vaalikautta seuraavilla vaalikausilla loppuun.  

Esitysehdotuksesta on pyydetty lausuntoa valtiovarainministeriöltä, Ahvenanmaan maakunnan hallitukselta ja Ahvenanmaan valtuuskunnalta. Koska maakunnan taloutta koskevat asiat tulee Ahvenanmaan itsehallintolain 34 §:n 2 momentin mukaan esitellä valtiovarainministeriöstä, oikeusministeriö pyysi valtioneuvoston ohjesäännön (262/2003) 32 §:n nojalla myös valtiovarainministeriön esittelyluvan esitysluonnokseen. Valtiovarainministeriön ja Ahvenanmaan valtuuskunnan lausunnoissa ei ollut huomauttamista esitysluonnokseen, jossa tasoitusperusteeksi ehdotettiin 0,44 prosenttia, kuitenkin niin, että Ahvenanmaan valtuuskunta katsoi, ettei ylimääräisten määrärahojen myöntämisen edellytyksiä ollut siinä käsitelty riittävän tarkasti. Valtiovarainministeriö ei asian valmistelun loppuvaiheessa ole antanut esittelylupaa esityksen mukaiselle ehdotukselle. Osapuolten keskinäinen erimielisyys on pääasiassa liittynyt tasoitusperusteen suuruuteen. 

Riippuvuus muista esityksistä

4.1.1  Maakunta- ja sote-uudistuksen suhde nykyisen itsehallintolain 49 §:ssä säädettyyn verohyvitykseen

Maakunta- ja sote-uudistus, jäljempänä sote, on tarkoitus rahoittaa korottamalla ansiotuloveroa ja alentamalla samalla kunnallisveroa (HE 15/2017 vp). Uudistus ei ole tarkoitettu tulevaksi voimaan Ahvenanmaalla, koska terveyden- ja sairaanhoito sekä sosiaalihuolto Ahvenanmaalla kuuluvat itsehallintolain 18 §:n 12 ja 13 kohdan mukaan maakunnan lainsäädäntövaltaan. Tästä syystä Ahvenanmaan maakunta järjestää itse Ahvenanmaan sosiaali- ja terveydenhuollon maakunnan lainsäädännön turvin. Koska maakunnalla on nykyisen itsehallintolain 18 §:n 5 kohdan mukaan lainsäädäntövalta myös kunnallisverotuksen alalla, Ahvenanmaan kunnallisveron alentaminen kuuluu maakunnan lainsäädäntövallan ja Ahvenanmaan kuntien toimivallan piiriin. Koska valtionverotus on itsehallintolain 27 §:n 36 kohdan mukaan lainsäädäntövallan ala, josta vastaa eduskunta myös Ahvenanmaalla, sote-uudistus vaikuttaa Ahvenanmaalla verotuksellisesti siten, että ansiotuloveroa nostetaan ilman että kunnallisveroa voidaan samalla alentaa.  

Koska Ahvenanmaan olosuhteet poikkeavat sosiaali- ja terveydenhuollon osalta muun maan olosuhteista ja koska halutaan varmistaa, että ahvenanmaalaisia verovelvollisia kohdellaan ansiotuloverotuksessa yhdenvertaisesti, hallitus on maakunta- ja sote-uudistus -esityksessään ehdottanut uuden 125 a pykälän lisäämistä tuloverolakiin (1535/1992). Pykälässä ehdotettu vähennys koskee fyysisiä henkilöitä ja kuolinpesiä yksinomaan Ahvenanmaalla (Åländskt landskapsavdrag, Ahvenanmaan maakuntavähennys). Ahvenanmaan maakuntavähennyksen tarkoituksena on neutralisoida ne vaikutukset, joita valtion ansiotuloveron nostaminen ehdotetulla tavalla aiheuttaisi ahvenanmaalaisille verovelvollisille.  

Hallitus päätti 5.7.2017 käydyissä neuvotteluissa, että maakunta- ja sote-uudistusta jatketaan siten, että se tulee voimaan 1.1.2020. Hallitus antoi uuden esityksen valinnanvapauslaista (HE 18/2018 vp) vuoden 2018 alkupuolella. Niitä lakiesityksiä, joita eduskunta käsittelee, laki sosiaali- ja terveydenhuollon järjestämisestä sekä maakuntalaki, muutetaan sen mukaan, mitä 29.6.2017 annetussa perustuslakivaliokunnan lausunnossa edellytettiin (PeVL 26/2017 vp—HE 15/2017 vp, HE 47/2017 vp, HE 52/2017 vp, HE 57/2017 vp, HE 71/2017 vp). Tämä tapahtuu eduskunnan valiokunnissa ministeriöiden vastineita koskevan menettelyn kautta. Muut maakunta- ja sote-uudistuksen lakiehdotuksen osat ovat voimassa. Pääministerin ilmoituksen 27.6.2018 mukaan maakunta- ja sote-uudistuksen voimaantulo siirtyy vuoden 2021 alkuun.  

Perustuslakivaliokunta käsitteli lausunnossaan (PeVL 26/2017 vp) verohyvitystä: ”Perustuslakivaliokunta toteaa, ettei maakuntavähennyksestä voida säätää ehdotetulla tavalla, jollei verohyvityksen poistumisen korvaamisesta huolehdita. Perustuslakivaliokunnan mielestä verohyvityksen poistuma voidaan väliaikaisesti korvata valtakunnan erillisillä kompensaatiotoimilla siten kuin hallituksen esityksessä ehdotetaan. Ehdotuksen perusteluissa mainittu Ahvenanmaan valtuuskunnan esittämä mahdollisuus siihen, että valtuuskunta toteaa verohyvityspäätöksessään, kuinka suuri verohyvitys olisi ilman sosiaali- ja terveydenhuolto ja maakuntauudistuksesta johtuvaa tuloveron nousua, voi epävirallisesta luonteestaan huolimatta toimia käytännössä maakunnalle suoritettavien kompensaatiotoimien perusteena.  

Perustuslakivaliokunta korostaa, ettei verohyvityksen poistuma ole valtakunnan veropolitiikan normaalivaihteluihin kuuluva vaikutus ja että maakunnan ja valtakunnan väliset taloudelliset suhteet järjestetään Ahvenanmaan itsehallintolain sääntelyllä. Edellä kuvatulla korvausjärjestelyllä voidaan siten huolehtia verohyvityksen poistuman kompensoimisesta ainoastaan hyvin lyhyen määräajan. Asiasta tulee pikimmiten säätää asianmukaisesti.”  

Maakunta- ja sote-uudistuksen voimaantulon siirtyminen vuoden 2021 alkuun sekä itsehallintolain ehdotetun muutoslain samanaikainen voimaantulo tarkoittaa verohyvityksen osalta sitä, että verohyvityksen edellä kerrottu poistuma ei tule toteutumaan.  

4.1.2  Maakunta- ja sote-uudistuksen suhde lakiehdotuksen 47 §:n 1 momentissa ehdotettuun tasoitusperusteeseen

Maakunta- ja sote-uudistuksen seurauksena ehdotetaan, että valtion verotuloja lisätään ja kuntien verotuloja pienennetään muuttamalla valtion tuloveroasteikkoa ja tuloverotuksen tiettyjen vähennysten parametreja sekä laskemalla valtakunnan kaikkien kuntien kunnallisveroastetta noin 11,5 prosenttiyksiköllä. Muutoksen myötä valtion ansiotuloverotulot kasvaisivat arviolta 11,8 miljardia euroa vuoden 2021 tasolla. 

Kunnallisverotulojen ja valtionosuuksien vähenemisen seurauksena yhteisöverotulojen suhteellinen osuus kuntien rahoituksessa kasvaisi. Yhteisövero ei suhdanneherkkyytensä vuoksi sovi erityisen hyvin kuntien tehtävien rahoituslähteeksi, ja siksi ehdotetaan, että kuntien osuutta yhteisöverotuloista lasketaan niin, että vähennys olisi vuoden 2016 tasossa 500 miljoonaa euroa. Kuntien yhteisövero-osuutta lasketaan 9,02 prosenttiyksiköllä, eikä tätä prosenttiosuutta muuteta myöhemmin. Siten yhteisövero-osuuden laskun vaikutus kuntien yhteisöverotuloihin olisi vuoden 2021 tasossa noin 630 miljoonaa euroa, mutta vähennyksen suhteellista osuutta ei kuitenkaan muutettaisi. 

Uudistuksen seurauksena valtakunnan kuntien tehtävät ja niihin liittyvät hankinnat vähenevät, sillä osa tehtävistä siirtyy maakuntien järjestämisvastuulle. Valinnanvapauden alueella palvelutuotantoa monipuolistetaan niin, että maakuntien palveluntuottajilla ja yksityisillä palveluntuottajilla on samat toimintaedellytykset. Maakuntien toiminnassa ei sovelleta samaa hankintoihin sisältyvän veron palautusjärjestelmää kuin kunnallisella sektorilla, vaan hankintojen neutraaliutta parannetaan budjettimenettelyn avulla.  

Arvonlisäveropalautukset vähenevät kunnallisella sektorilla niin, että palautusten määräksi jää hieman yli miljardi euroa. Maakunnille siirrettäviin tehtäviin arvioidaan sisältyvän vuoden 2021 tasolla noin 1,6 miljardia euroa sellaista veroa, joka sisältyy hankintoihin. Summa vastaa arvonlisäveropalautusten vähennystä kunnallisella sektorilla.  

Edellä mainittu muutos lisää valtion budjetin läpinäkyvyyttä kunnalliselta sektorilta maakuntasektorille siirrettävän toiminnan osalta, sillä maakuntien toiminnan hankintoihin sisältyvä arvonlisävero näkyisi valtion budjetissa arvonlisäverotuloina erotukseksi verosta, joka sisältyy hankintoihin ja palautetaan kunnalliselle sektorille ja joka nykytilanteessa näkyy kustannuksena. Muutoksen seurauksena arvonlisäverotulot kasvavat valtion budjetissa noin 1,4 miljardia euroa. Valtion tehtävät kasvavat vastaavalla määrällä. Muutoksen kokonaisvaikutus on valtion rahoitusaseman kannalta neutraali. 

Itsehallintolain 47 §:n 5 momentissa säädetyn tasoitusperusteen muuttaminen on maakunta- ja sote-uudistuksen myötä tullut ajankohtaiseksi. Valtion tulot lisääntyvät voimakkaasti vuodesta 2021 alkaen maakunta- ja sote-uudistuksen seurauksena. Itsehallintolain 47 §:n 2 momentin mukaan tasoitusperustetta on muutettava, jos valtion tilinpäätöksen perusteet muuttuvat tasoitusmäärän suuruuteen olennaisesti vaikuttavalla tavalla. Tulonlisäyksen lasketaan olevan yli 14 miljardia euroa vuodessa. Nykyisellä itsehallintolailla ja siinä tarkoitetulla 0,45 prosentin tasoitusperusteella laskettuna tasoitusmäärä kasvaisi valtakunnassa tehtävän uudistuksen johdosta noin 60 miljoonaa euroa vuonna 2021. Tavoitteena on, että rahoitusuudistuksen vaikutus Ahvenanmaan taloudelliseen asemaan olisi mahdollisimman neutraali.  

Ottaen huomioon maakunta- ja sote-uudistus-esitystä täydentävä Ahvenanmaa-esitys (HE 71/2017), perustuslakivaliokunnan lausunto (PeVL 26/2017 vp) ja hallituksen päätös lykätä uudistuksen voimaantuloa, valtioneuvoston lähtökohtana on, että maakunta- ja sote-uudistusta koskevia laskelmia päivitetään vuonna 2020 uusimmilla tiedoilla, ennen kuin uudistus tulee voimaan vuonna 2021. 

Edellä mainittujen muutosten osalta budjettineutraali siirtyminen tähän ehdotettuun uuteen Ahvenanmaata koskevaan taloudelliseen järjestelmään edellyttäisi 0,42 prosentin tasoitusperustetta. 

YKSITYISKOHTAISET PERUSTELUT

Lakiehdotuksen perustelut

1.1  Laki Ahvenanmaan itsehallintolain muuttamisesta

7 luku Ahvenanmaan maakunnan talous

Luvun otsikkoon ehdotetaan kielellistä muutosta nykyisestä ”Maakunnan taloudenhoito” selventävään ”Ahvenanmaan maakunnan talous”. 

44 §.Taloudellinen itsehallinto. Pykälän 1 momenttiin ehdotetaan yleistä säännöstä Ahvenanmaan maakunnan taloudellisesta itsehallinnosta. Taloudellisesta itsehallinnosta seuraa kustannusvastuu itsehallinnon kuluista. Ehdotetussa luvussa säännellyn talousjärjestelmän tulee antaa maakunnalle taloudellinen turva itsehallintoon kuuluvien tehtävien hoitamiseen.  

Maakunnalla on itsehallintolain 18 §:n 5 kohdassa säädetyllä tavalla lainsäädäntövalta tietyistä veroista ja maakunnan hallinnon perimien maksujen perusteista. Säännös tarkoittaa, että maakuntapäivillä on toimivalta säätää maakuntalakeja veroista, jotka tulevat suoraan Ahvenanmaan maakunnalle ja sen kunnille. Uudistuksen myötä Ahvenanmaan maakunnan itsehallinnon menoja katettaisiin pääasiassa valtion tilipäätökseen perustuvalla vuotuisella tasoitusmäärällä (45 §) sekä verotasoituksella (49 §). Lisäksi lakiehdotuksen 50 ja 51 §:ssä ehdotetaan nykyistä mahdollisuutta harkinnanvaraisen ylimääräisen määrärahan sekä lisäavustuksen poikkeuksellisissa oloissa myöntämiselle maakunnalle valtion varoista säilytettäväksi. 

Pykälän 2 momentissa ehdotetaan vastaavalla tavalla kuin itsehallintolain nykyisessä 44 §:n 1 momentissa säädettäväksi maakuntapäivien tehtävästä päättää Ahvenanmaan vuotuisesta talousarviosta. Tässä ehdotetaan pientä terminologista muutosta sanasta ”vahvistaa” talousarvion sanaan ”päättää” tästä. Kuten nykyisinkin, maakuntalailla annettaisiin tarkempia säännöksiä maakunnan talousarviosta. Maakuntapäivillä on oikeus laatia talousarvio vapaasti. Maakuntapäivien nykyisten toimivaltuuksien mukaisesti sillä on myös toimivalta perustaa rahastoja, joita ei sisällytetä talousarvioon. 

Ahvenanmaan maakunnalla on myös entiseen tapaan oikeus ottaa lainaa ja antaa obligaatiolainoja. Viimeksi mainitusta oikeudesta ehdotetaan selventävässä tarkoituksessa 3 momenttiin sisällytettäväksi säännös tästä. Säännös vastaa nykyistä 50 §:ä maakunnan lainanotosta. 

45 §.Vuotuiset siirrot Ahvenanmaan maakunnalle. Pykälän 1 momentin sisältö vastaa tasoitusmäärän osalta nykyistä 45 §:ää. Lisäksi lakiehdotuksen 49 §:n mukaista verotasoitusta ehdotetaan nimenomaisesti mainittavaksi momentissa, koska tämän on tarkoitus olla toisena tärkeänä tasoitusjärjestelmän rahoituslähteenä itsehallinnon kulujen kattamiseksi. Tasoitusmäärän tulee yhdessä verotasoituksen kanssa normaalioloissa kattaa itsehallinnon rahoitustarpeet. Pykälän otsikossa ehdotetaan huomioitavaksi yhteinen nimike pääasiallisten rahoituslähteiden osalta. 

Valtionverotus Ahvenanmaalla on valtakunnan lainsäädäntövaltaan kuuluva asia, kunnallisverotuksen sekä Ahvenanmaan maakunnalle tulevien verojen ja maksujen kuuluessa maakunnan lainsäädäntövaltaan. Ne valtionverot, jotka kannetaan Ahvenanmaalla, sisällytetään valtion tilinpäätökseen. Ahvenanmaalle suoritetaan jatkossakin vuosittain valtion varoista tasoitusmäärä, joka vahvistetaan erityisessä tasoituksessa. Kuten edellä on mainittu, maakunnalle ehdotetaan palautettavaksi valtion varoista myös 49 §:ssä säädetty verotasoitus. Maakunnan menojen kattamiseksi tarkoitettua talousjärjestelmää ehdotetaan rakennettavaksi siten, että kaikki valtiolle tulevat tulot ja verot on huomioitava joko tasoituksessa (46 §) tai verotasoituksessa (49 §). Poikkeuksen muodostavat yleisradiovero sekä uudet valtion lainat, jotka ovat ainoat valtion budjettitulot, joita ei ehdoteta talousjärjestelmässä huomioitaviksi (vrt. 46 ja 49 §). Ahvenanmaan valtuuskunnan tehtävistä tasoitukseen ja verotasoitukseen liittyen ehdotetaan jatkossakin säädettäväksi itsehallintolain 56 §:n 3 ja 4 momentissa. 

46 §.Tasoitus. Tasoitusmäärä ehdotetaan laskettavaksi 1 momentin mukaan käyttäen perusteena valtion tilinpäätöksen mukaisia asianomaisen vuoden tuloja, toisin sanoen tasoituksen toimittamisvuonna tarkoitetut tulot, lukuun ottamatta ansio- ja pääomatuloveroa, yleisradioveroa ja rajoitetusti verovelvollisten maksamaa lähdeveroa (valtion talousarvion nykyinen momentti 11.01.01), yhteisöveroa ja tonnistovero (valtion talousarvion nykyinen momentti 11.01.02), arpajaisveroa (valtion talousarvion nykyinen momentti 11.10.06) sekä uusia valtion lainoja. Tätä laskentapohjaa ehdotetaan kutsuttavaksi lakiehdotuksessa tasoituspohjaksi. Valtion vuoden 2017 tilinpäätöksen mukaan tasoituspohja kohosi ehdotetussa järjestelmässä 37 822 miljoonaan euroon.  

Pykälän 2 momentissa ehdotetaan säädettäväksi, että tasoitusmäärää laskettaessa on otettava huomioon myös puolet muutoksesta, joka on tapahtunut Ahvenanmaan väestömäärän suhteessa koko Suomen väestömäärään. Säännös on uusi. Ahvenanmaan väestöosuuden muutoksen puolen arvon huomioiminen tässä laskentaperusteessa pohjautuu seuraaviin perusteisiin. Talousjärjestelmän täytyy turvata itsehallinnon tarpeet. Tästä itsehallinnolle aiheutuvat kustannukset määräytyvät volyymin mukaan niin, että Ahvenanmaan maakunnan kustannukset nousevat silloin, kun Ahvenanmaan asukkaiden määrä kasvaa. Useampien yksilöiden täytyy saada sairaanhoitoa, oppilaiden määrä koululaitoksessa kasvaa jne. Kustannukset eivät kuitenkaan nouse suorassa suhteessa yksilöiden määrään, koska kiinteät ja yhteiset kustannukset voivat jakautua useiden kannettaviksi. Samasta syystä itsehallinnon kustannukset eivät myöskään alene suhteessa väestömäärän pienenemiseen, koska kiinteät kustannukset täytyy jakaa pienemmälle määrälle yksilöitä. Yleensä voidaan myös olettaa, etteivät myöskään verotulot nouse tai laske suorassa suhteessa väestömäärän muutokseen.  

Väestömäärän muutoksen laskemista varten ehdotetaan sen vuoksi 2 momentin mukaan kerrointa, joka korottaa tai alentaa tasoitusmäärää. Kerroin annetaan ja laskemisessa sitä käytetään viiden desimaalin tarkkuudella. 

Tasoitusmäärä lasketaan seuraavasti:  

Tasoitusmäärä = (tasoituspohja*tasoitusperuste)*väestöosuuden muutoskerroin. 

Väestösuhdemuutoksen kerroin lasketaan seuraavasti:  

jossa A on Ahvenanmaan väestön osuus valtakunnan väestöstä vuonna t, B on vuoden t+n väestön osuus ja C on kerroin, jolla säädetään tasoitusmäärää. 

Jos oletetaan, että tasoitusmäärä olisi ilman väestöosuuden muutosta 180 miljoonaa euroa ja Ahvenanmaan väestöosuus olisi 0,534 prosenttia vuonna t ja 0,538 vuonna t+1, tasoitusmäärä olisi vuonna t+1 seuraava: 

Väestöosuutta verrataan aina lain 46 §:ssä säädetyn ajankohdan väestösuhteeseen. 

Tasoitus ehdotetaan 3 momentin mukaan toimitettavaksi vuosittain jälkikäteen kultakin kalenterivuodelta. Säännös vastaa nykyistä 45 §:n 2 momenttia. Tasoitusmäärästä maksetaan ennakkoa. Uutta on ehdotus siitä, että ennakkoa maksetaan kuukausittain. Ahvenanmaan valtuuskunta on edelleen tarkoitettu lakiehdotuksen 56 §:n 3 ja 4 momentin mukaan vastaamaan tasoituksen vahvistamisesta ja tasoitusmäärän suuruudesta päättämisestä. Noudattamansa käytännön mukaan valtuuskunta päättää vuotuisen tasoituksen ennakon määrästä valtion talousarvioesityksen tietojen perusteella. Valtion tuloarviot muuttuvat talousarviovuoden aikana ja tämän perusteella tehdään lisätalousarvioissa muutoksia talousarvioihin. Ahvenanmaan valtuuskunta voi edellä mainittujen tietojen perusteella muuttaa aiempaa ennakon määrää koskevaa päätöstään. Valtuuskunnan käytännön mukaisesti valtion talousarvioista tasoitusmäärässä huomioitavien muutosten on oltava olennaisia ennen kuin muutos tehdään ennakkoon. 

47 §.Tasoitusperuste ja sen muuttaminen. Tasoitusperusteeksi ehdotetaan 1 momentissa 0,45 prosenttia muutoslain tullessa voimaan. Tasoitusperuste ilmoitetaan jatkossakin kahden desimaalin tarkkuudella. Tasoitusperustetta muutettaessa käytetään tavallisia pyöristyssääntöjä, ja kolmas desimaali määrää lopullisen luvun. Talousjärjestelmän täytyy turvata itsehallinnon tarpeet. 

Pykälän 2 momentti sääntelee tilanteet, joissa valtion tilinpäätöksen perusteet muuttuvat tasoitusmäärän suuruuteen vaikuttavalla tavalla. Jokainen tällainen valtion talousarvion muutos arvioidaan sen perusteella, miten se vaikuttaa Ahvenanmaan talouteen. Jotta muutos olisi 2 momentin mukainen, jonkin tilinpäätöksen rakennetta koskevan perusteen on muututtava. Tarkoituksena on, etteivät valtion tilinpäätöksen tekniset muutokset vaikuta tasoitusmäärään. 

Koska valtion tilinpäätökseen otetut tulot riippuvat voimassa olevista budjetti- ja kirjanpitosäännöistä, 2 momentissa ehdotetaan säädettäväksi, että tasoitusperustetta on muutettava, jos valtion tilinpäätöksen perusteet muuttuvat tasoitusmäärän suuruuteen tasoitusperusteen toisen desimaalin yhtä yksikköä vastaavasti. Pienemmätkin pykälän mukaiset muutokset on otettava huomioon, jos nämä erikseen tai yhdessä johtavat pidemmän ajan kuluessa muutoksiin niihin olosuhteisiin nähden, jotka vallitsivat lain voimaan tullessa tai silloin, kun tasoitusperustetta viimeksi muutettiin. 

Sellaisia säännöksessä tarkoitettuja rakennemuutoksia voivat olla esimerkiksi alakohtaiset siirrot valtion talousarviosta ulkopuolisiin rahastoihin, valtion ja julkistalouden muiden osien välisen tehtävänjaon muutokset, joilla ei ole vastaavaa vaikutusta Ahvenanmaalla, valtion toiminnan yhtiöittäminen sekä muutokset tavassa, jolla tulot valtion tilinpäätöksessä tilitetään (brutto-nettoperiaate). Valtion tilinpäätöksen rakennemuutos voi olla myös järjestely, jonka seurauksena aiemmin budjettituloina olleita tuloja kanavoidaan budjettitalouden ohi ja sijoitetaan uudelleen tai käytetään velvoitteisiin, jotka aiemmin ovat kuormittaneet budjettitaloutta. Arvioitaessa sitä, onko muutos rakenteellinen, otetaan huomioon, että tasoitusperuste on tekninen suhdeluku.  

Pelkästään eri tuloryhmien keskinäisten suhteiden vaihtelu ei aiheuta 2 momentissa tarkoitettua muutosta. Kyseessä on valtion tulojen keskinäinen muutos esimerkiksi silloin, kun välittömien verojen kertymä alenee ja välillisten verojen vastaavasti kasvaa. Eri tuloerien suuruudessa tapahtuu aika ajoin luonnollista vaihtelua. Tasoitusperustetta ei ole syytä muuttaa tällaisen vaihtelun johdosta. Tasoitusperustetta ei ole syytä muuttaa myöskään silloin, kun eri verolajien tai valtion talousarvion tuloerien kesken tapahtuu siirtymiä. Tasoitusperusteen muutoksessa on kuitenkin otettava huomioon verotasoitukseen ja tasoitusperusteeseen sisältyvien verojen keskinäiset siirtymät, joiden taloudelliset vaikutukset ovat olennaisia.  

Pykälän 3 momentti sääntelee tilanteet, joissa tasoitusperustetta on korotettava Ahvenanmaan maakunnan tosiasiallisten menojen lisääntymisen vuoksi. Perustetta korotetaan 2 momentin 1 kohdan mukaan, jos menojen taso on noussut sen vuoksi, että maakuntapäiville on 29 §:n 1 momentin mukaisesti siirretty uutta lainsäädäntövaltaa. Ehdotettu kohta on uusi ja se seuraa siitä, että maakunnan lainsäädäntövaltaan voidaan nykytilassa eduskunnan ja Ahvenanmaan maakuntapäivien yhtäpitävin päätöksin kokonaan tai osittain siirtää eräitä toimivallan aloja, joista säädetään itsehallintolain nykyisessä 29 §:n 1 momentissa. Tilanteessa, jossa pykälässä säädetty toimivallan alan siirto ajankohtaistuu, tulee siirron kaikkia vaikutuksia, mukaan lukien esimerkiksi siirrosta valtionhallinnolle Ahvenanmaalla ja maakunnalle johtuvia hallinnollisia vaikutuksia, samoin kuin muita taloudellisia vaikutuksia valtakunnalle ja maakunnalle, selvittää siinä järjestyksessä, jota noudatetaan hallituksen esityksiä valmisteltaessa. Vaikutusten arvioinnista huolehditaan siten valmisteltaessa itsehallintolain 29 §:n 2 momentissa säädettyä valtakunnan lakia toimivallan alan siirtämiseksi. Arvioitaessa lakiehdotuksen vaikutuksia Ahvenanmaalla on syytä huomioida Ahvenanmaan vallitseva hintataso, maakunnan syrjäinen sijainti ja erityisolosuhteet sekä väestön erityiset elinolosuhteet. Eduskunnan ja maakuntapäivien yhtäpitävästä päätöksestä toimivallan alan tai tämän osan siirrosta johtuvat mahdolliset menolisäykset maakunnalle, ovat sitten lakiehdotuksen 48 §:ssä ehdotetun menettelyn kohteena sen arvioimiseksi, onko syytä muuttaa tasoitusperustetta. 

Momentin 2 kohdan mukaan tasoitusperustetta korotetaan, jos Ahvenanmaan maakunnan hallitus tai tämän alainen viranomainen ottaa valtakunnan viranomaisilta hallintotehtäviä. Kun tietty hallintotehtävä siirretään, korotuksen vahvistamisen perusteeksi on otettava kyseisten tehtävien kustannukset valtiolle siirron ajankohtana. Yleisenä edellytyksenä kohdassa mainitulle korotukselle on, että Ahvenanmaan maakunnan hallitus voi viitata sellaisiin lisääntyneisiin menoihin, joiden ei ole edellytetty sisältyvän normaaliin tasoitusmäärään. Kokonaan uudet yhteiskunnalliset sitoumukset eivät yleensä voi aiheuttaa tasoitusperusteen muuttamista, koska sellaiset uudet tehtävät on rahoitettava lisätuloilla sikäli kuin niistä aiheutuu valtiolle kustannuksia, ja ne korottavat siten tasoitusmäärää. Jos uusia hallintotehtäviä siirretään sopimusasetuksella valtionhallinnolta maakunnan viranomaiselle tai päinvastoin, tapana on ottaa sopimusasetukseen säännös hallintotehtävistään luopuvan viranomaisen kustannusvastuusta siirron kohteena olevista tehtävistä johtuvista kustannuksista. Tämän menettelyn kautta sopimusasetusasioissa on vältytty tarpeelta tarkistaa tasoitusperusteen muuttamisedellytyksiä.  

Tasoitusperustetta on 2 momentin 3 kohdan mukaan korotettava, jos itsehallinnon tehtävien hoitaminen ja siten itsehallinnon tarkoitusten toteuttaminen aiheuttaa olennaisia lisäkustannuksia. Säännöksen lähtökohtana ovat ne perusvelvoitteet, joihin Suomi on sitoutunut Ahvenanmaan sopimuksella, nimittäin väestön ruotsin kielen, kulttuurin ja paikallisten perinteiden säilyttäminen. Tästä seuraa valtiovallan velvollisuus kustantaa tai ottaa suorittaakseen tarvittavat toimenpiteet itsehallinnon keskeisten tavoitteiden vaarantuessa. 

Tasoitusperustetta on 2 momentin 4 kohdan mukaan korotettava, jos maakuntaa rasitetaan sellaisilla uusilla menoilla tai menojen kasvulla, joita ei ole voitu ennakoida vuoden 1991 itsehallintolakia säädettäessä. Tehtävät, joilla on laajemmassa mielessä merkitystä myös Ahvenanmaan ulkopuolella ja jotka siis kytkeytyvät tiettyihin valtakunnallisiin tavoitteisiin, voivat sen sijaan tulla kysymykseen tapauksissa, joihin 2 momentin 2 kohta ei sovellu. Esimerkkinä voidaan mainita menot, jotka perustuvat valtakunnalliseen velvoitteeseen, joka on seurausta siitä, että Ahvenanmaan maakunnan viranomaiset hoitavat itsehallintolain nojalla eräitä valtakunnan toimivaltaan kuuluvia hallintotehtäviä. Kyse voi olla myös menoista, joihin maakuntaa velvoittaa kansainvälinen tai EU-oikeudellinen velvoite ja joita ei säännellä muuten. Tarkoituksena on, että tässä kohdassa tarkoitetaan myös sellaisia velvoitteita ja kuluja, joita ei rahoiteta muulla tavalla. Kohta koskee niin ikään valtakunnan sellaisia rakenteellisia uudistuksia, joiden kautta valtakunnan lainsäädäntövaltaan myös Ahvenanmaalla kuuluvat tietyn toimivalta-alan hallintotehtävät muuttavat muotoaan merkittävästi siten, että nämä on uudistuksen jälkeen katsottava itsehallintolaissa säädetyn maakunnan ja valtakunnan lainsäädäntövallan jaon nojalla maakuntapäivien toimivaltaan ja siten myös tämän kustannusvastuuseen kuuluviksi. Tämä voi koskea esimerkiksi tilannetta, jossa sosiaalivakuutukseen kuuluvia yksilöille tulevia maksuja siirrettäisiin sosiaalitoiminnan alaisuuteen hallinnoitaviksi. Säännöksen nojalla ei sen sijaan voida kattaa muita kuluja, jotka syntyvät sellaisista yhteiskunnallisista tehtävistä, joita Ahvenanmaan maakunta on päättänyt hoitaa ja jotka eivät valtakunnassa saa valtion rahoitusta. Pelkkä hallinnon lisääntyminen ei myöskään anna aihetta tasoitusperusteen korottamiselle, vaikka se aiheuttaisi huomattavia kuluja maakunnalle.  

Tasoitusperustetta on 3 momentin mukaan alennettava, jos valtakunnalle on siirtynyt Ahvenanmaan maakunnan viranomaisille kuuluvia hallintotehtäviä ja maakunnan menot ovat tämän johdosta pienentyneet. Näin voi käydä esimerkiksi silloin, kun valtakunnan viranomainen hoitaa sopimusasetuksen nojalla lain mukaan jollekin Ahvenanmaan viranomaiselle kuuluvia hallintotehtäviä eikä Ahvenanmaan maakunnan kustannusvastuusta ole säädetty erikseen sopimusasetuksella. Alennus lasketaan samoin perustein kuin 2 momentin 1 kohdassa tarkoitetuissa tapauksissa. 

48 §.Menettely tasoitusperusteen muuttamisessa. Pykälän 1 momentissa ehdotetaan nykyisen 47 §:n 5 momentin perusajatuksen mukaisesti säädettäväksi, että tasoitusperusteen muuttamisesta säädetään valtakunnan lailla, johon maakuntapäivät on antanut suostumuksensa. Ehdotettu säätämisjärjestys on poikkeus itsehallintolain muutoksiin sovellettavasta 69 §:n mukaisesta perustuslainsäätämisjärjestyksestä. 

Ahvenanmaan valtuuskunnan asemaa ehdotetaan pykälässä laajennettavan sellaisen prosessin tehtävillä, joka toistuu pääsääntöisesti kolmen vuoden välein ja jossa arvioidaan, tuleeko toisaalta Ahvenanmaan maakunnan ja valtion välisen vastuunjaon ja toisaalta valtion tilinpäätöksen perusteiden muutokset ottaa huomioon tasoitusperusteessa. Tasoitusperustetta on muutettava esimerkiksi, jos edellisten kolmen vuoden tapahtumien vaikutus tasoitusmäärään on riittävän suuri. Jos kustannukset on tarpeen tarkistaa esimerkiksi 29 §:n 1 momentissa säädetyn lainsäädäntövallan muutoksen johdosta, Ahvenanmaan maakunnan hallitus tai valtiovarainministeriö voi pyytää valtuuskuntaa arvioimaan kustannukset jo aiemmin. 

Pykälän 2 momentissa ehdotetaan uutena asiana säädettäväksi, että valtiovarainministeriö ja Ahvenanmaan maakunnan hallitus arvioivat vähintään joka kolmantena vuotena, onko 47 §:n 2—4 momentin mukaan perusteita muuttaa tasoitusperustetta ja antavat ehdotuksensa tästä Ahvenanmaan valtuuskunnalle. Jos toinen osapuolista pyytää arvioinnin tekemistä aiemmin kuin kolmen vuoden kuluttua, toisen osapuolen on osaltaan myötävaikutettava siihen, että ehdotus luovutetaan Ahvenanmaan valtuuskunnalle ”kohtuullisessa ajassa”. Käsite ”kohtuullisessa ajassa tähtää menettelyyn, joka on sopusoinnussa perustuslain 21 §:ssä säädetyn hyvän hallinnon periaatteen kanssa. Muussa tapauksessa valtuuskunta käsittelee asian toisen osapuolen ehdotuksen perusteella kuultuaan toista osapuolta. Tämä tarkoittaa sitä, että ehdotus on esitettävä valtuuskunnalle myös siinä tapauksessa, etteivät osapuolet katso tasoitusperusteen muuttamista tarpeelliseksi, ja siinäkin tapauksessa, että osapuolet ovat eri mieltä muuttamisen tarpeellisuudesta.  

Pykälän 3 momentin mukaan valtuuskunta antaa ehdotuksensa valtioneuvostolle, joka antaa lakiehdotuksen eduskunnalle. Kuten 1 momentista käy ilmi eduskunta päättää jatkossakin tasoitusperusteen muuttamisesta maakuntapäivien suostumuksella. Valtioneuvoston yleisistunto tekee valtiovarainministeriön esityksestä viipymättä päätöksen valtuuskunnan ehdotukseen pohjautuvan lakiehdotuksensa luovuttamisesta eduskunnalle. Koska päätöksen voimaantulo edellyttää maakuntapäivien suostumusta, valtioneuvoston on pyrittävä siihen, että hallituksen esitys tasoitusperusteen muuttamiseksi valmistellaan yhteistyössä Ahvenanmaan maakunnan hallituksen kanssa. 

49 §.Verotasoitus. Pykälän 1 momentissa ehdotetaan säädettäväksi, että Ahvenanmaan maakunnalle palautetaan vuosittain valtion varoista Ahvenanmaalla maksuun pannut valtion ansiotulo- ja pääomatuloverot, rajoitetusti verovelvollisten maksamat lähdeverot, yhteisöverot ja tonnistoveron, sekä Ahvenanmaalla maksetun arpajaisveron rahamäärät. Momentin 3—5 virkkeessä ehdotetaan säädettäväksi, että verotasoitus suoritetaan vuosittain jälkikäteen jokaiselle verovuodelle. Verotasoitusmäärästä ehdotetaan vastaavasti maksettavaksi kuukausittain ennakkoa. Ennakkomäärä lasketaan käyttämällä perustana aikaisemman verotuksen toteumaa ja asianmukaisia ennusteita. Valtuuskunnan tehtävänä on ehdotetun 56 §:n 3 ja 4 momentin mukaan vastaavasti kuten tasoitusmäärän osalta toimittaa verotasoitus sekä päättää verotasoituksen ennakkojen suuruudesta. 

Ehdotettu verotasoitus korvaisi nykyisen verohyvityksen. Verohyvitys sisällytettiin nykyiseen itsehallintolakiin, jotta se kannustaisi ahvenanmaalaisia viranomaisia harjoittamaan sellaista elinkeinopolitiikkaa, joka mahdollistaa verotulojen kasvun. Verohyvitys korvaisi hallituksen esityksen mukaan tietyllä tavalla ahvenanmaalaisten toivetta omasta verolainsäädännöstä ja -hallinnosta (HE 73/1990 vp., s. 58). Sama peruste pätee nyt ehdotettavaan verotasoitukseen. 

Verohyvityksen perusteena on nykyisen 49 §:n mukaan maksuun pannut verot. Vastaavaa järjestelmää ehdotetaan käytettäväksi verotasoituksessa huomioitavien veromäärien laskemiseen niin, että ne lasketaan erikseen. Mahdollisten oikaisujen, valitusten tai myöhempien maksuunpanojen vaikutuksia ei siten oteta huomioon. Verojen todellista kertymää ei myöskään tarkastella. Perusteena on se, että järjestelmän tulee olla helposti hallinnoitavissa. Verohallinnosta saatujen tietojen mukaan maksuun pannuista tuloveroista kertyy noin 99,7 prosenttia. Tietoja ei ole saatavissa alueittain valtionveron osalta, mutta Ahvenanmaan kuntien osalta kertymäprosentti on hieman parempi kuin edellä mainittu. Lisäksi on hallinnollisista syistä perusteltua käyttää verotasoitusennakon laskentaperusteena maksuun pantujen verojen määrää ja asianmukaisia ennusteita. Arpajaisvero maksetaan omasta aloitteesta. Verotasoitusta varten arpajaisvero lasketaan Ahvenanmaalla maksetun veron pohjalta. 

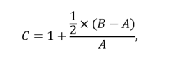
Pykälän 2 momentissa ehdotetaan säädettäväksi, että jos 1 momentissa tarkoitettu yhteisöveron ja pääomatuloveron yhteenlaskettu toteuma alittaa yli 10 prosentilla vastaavan summan, joka olisi kohdistettu Ahvenanmaan maakunnalle tasoituksen kautta, jos kyseiset verot olisivat sisältyneet tasoituspohjaan, kuuluu erotus maakunnalle. Ehdotetaan säädettäväksi, että arviointi perustuisi sekä 46 §:n 1 momentissa säädettyyn tasoituspohjaan, että saman pykälän 2 momentissa säädettyyn väestönmääräkertoimeen, jotka pätevät tasoitusmäärän laskentaan. Ehdotettu säännös viittaa tilanteeseen, jossa yhteisöverotulojen ja pääomatuloverojen taso vaihtelee voimakkaasti, eikä voida katsoa olevan perusteltua, että maakunta kantaisi siihen liittyvän taloudellisen riskin kokonaisuudessaan yksin. Säännöksen 10 prosentin laukaisumekanismin on tarkoitus toimia järjestelmässä eräänlaisena omavastuuna.  

2 momentti lasketaan seuraavasti:  

jossa A on 1 momentissa tarkoitettu yhteisöveron ja pääomatuloveron yhteenlaskettu määrä ja B on ((tasoitusperuste * (yhteisövero + pääomatulovero))* väestömäärämuutoksen kerroin) *0,9. 

Jos oletetaan, että tasoitusperuste on 0,44 % ja että yhteisöveron ja pääomatuloveron yhteenlaskettu määrä on 9 000 miljoonaa euroa, josta Ahvenanmaan osuus on 1 momentin mukaan 30 miljoonaa euroa ja josta väestönmuutosten kerroin on 1,00383, 3 momentti lasketaan seuraavasti:  

Edellä olevassa esimerkissä Ahvenanmaan tuloutetun yhteisöveron ja pääomatuloveron yhteenlaskettua määrää eli 30 miljoonaa euroa korotettaisiin 5,8 miljoonalla eurolla 35,8 miljoonaan euroon. 

Valtion talousarvioon on vuodesta 1992 alkaen sisältynyt määräraha arpajaisveron palauttamiseksi Ahvenanmaan maakunnalle. Valtion velvollisuus palauttaa maksettu vero itsehallinnolle perustuu poliittiseen sopimukseen ja eduskunnan vastaukseen hallituksen esitykseen ehdotuksesta arpajaisverolaiksi (HE 15/1992 vp—EV 54/1992 vp). Eduskunta edellytti, että hallitus sisällyttää tämän määrärahan vuosittain talousarvioon. Vuosina 2006—2017 palautettiin keskimäärin 9,3 miljoonaa euroa.  

Pykälän 1 momentissa mainitulla Ahvenanmaalla maksetulla arpajaisverolla tarkoitetaan nykytilanteessa varoja, jotka Ålands penningautomatförening-niminen raha-automaattiyhdistys (PAF) maksaa arpajaisverona. Pykälän on tarkoitus kodifioida nykyinen käytäntö ja se vastaa siten nykyistä järjestelyä. Lainsäädäntövallan jakoa Ahvenanmaalla arpajaisveron suhteen ei koskaan ole ratkaistu lopullisesti esimerkiksi maakuntalakien lainsäädäntövalvonnan yhteydessä. 

50 §.Ylimääräinen määräraha. Pykälä vastaa nykyistä 48 §:ää. Tämä sisältyi jo vuoden 1951 itsehallintolakiin, mutta ruotsinkielinen nimike oli tuolloin ”extraordinarieanslag” (ylimääräinen määräraha).  

Pykälässä ehdotetaan lakiteknisistä syistä huomioitavaksi, että esitys tehdään Ahvenanmaan valtuuskunnalle. Ehdotetaan, että valtuuskunnalla säilyisi tämän nykyinen tehtävä, sellaisena kuin siitä säädetään itsehallintolain 56 §:n 3 momentin 3 kohdassa, myöntää ylimääräinen määräraha ja päättää siihen mahdollisesti liittyvistä ehdoista.  

Mahdollisuus myöntää ylimääräinen määräraha poikkeuksellisille menoille ja kertainvestoinnille ehdotetaan siten säilytettäväksi asiallisesti muuttamattomana. Ylimääräinen määräraha voidaan myös jatkossa myöntää sellaisiin Ahvenanmaan itsehallinnon puitteisiin kuuluviin tehtäviin, joita ei niiden aiheuttamien poikkeuksellisen suurten kustannusten perusteella voida kohtuudella katsoa kuuluvan rahoitettavaksi Ahvenanmaan talousarviosta. Tällä tavalla rahoitettavat hankkeet voivat olla sekä monivuotisia että yksivuotisia. Kyseessä on oltava maakunnan lainsäädäntövaltaan kuuluvat tehtävät. 

51 §.Lisäavustus poikkeuksellisissa olosuhteissa. Pykälän sisältö vastaa nykyistä 51 §:ää, jossa säädetään erityisistä avustuksista. Pykälässä on kyse Ahvenanmaan maakunnalle tietyissä tapauksissa myönnettävistä valtion avustuksista. Lisäavustus on yleensä kertaluonteinen. Sen vuoksi ehdotetaan nimikkeen muutosta. Niistä tapauksista, joissa lisäavustus on myönnettävä, säädetään 1 momentissa. Perusteet ovat samat kuin nykyisessä pykälässä. Säännöksessä ehdotetaan lakiteknisistä syistä Ahvenanmaan valtuuskunnan nykyisen asianyhteyteen kuuluvan tehtävän huomioimista. Itsehallintolain 56 §:n 3 momentin 3 kohdan mukaan Ahvenanmaan valtuuskunnan kuuluu jatkossakin myöntää lisäavustus poikkeuksellisissa olosuhteissa sekä päättää näihin mahdollisesti liittyvistä ehdoista. 

Pykälän 1 momentin 1 kohdan mukaan Ahvenanmaan maakunnalle myönnetään valtion varoista lisäavustus erityisesti maakuntaan kohdistuvien olennaisten kansantaloudellisten häiriöiden ehkäisemiseksi tai poistamiseksi. Tässä on kysymys Ahvenanmaan maakunnan elintärkeitä etuja uhkaavasta taloudellisesta taantumasta. Tällainen tilanne saattaa syntyä esimerkiksi Ahvenanmaan taloudelle erittäin tärkeiden suhdanneherkkien alojen kuten merenkulun tai matkailusta riippuvaisten palveluelinkeinojen taantuessa voimakkaasti. Säännös edellyttää häiriöiden aiheutuneen Ahvenanmaan ulkopuolisista toimenpiteistä. Näin ollen on perusteltua, että Ahvenanmaan maakunta saa tästä korvausta valtionavustuksen muodossa.  

Pykälän 1 momentin 2 kohdassa ehdotetaan, että Ahvenanmaan maakunnalla on oikeus saada lisäraha luonnonkatastrofista, ydinvoimaonnettomuudesta, öljypäästöstä tai niihin rinnastettavasta tapahtumasta aiheutuvien kustannusten kattamiseksi. Edellytyksenä on, ettei kustannusten jääminen yksin maakunnan kannettavaksi ole kohtuullista. Ei ole esimerkiksi kohtuullista, että Ahvenanmaan maakunta yksin vastaisi suurehkon öljyonnettomuuden kustannuksista. Lisäavustus olisi myönnettävä etenkin sellaisissa tilanteissa, jolloin maakunnan viranomaisten toimin on estetty vahingon seuraamusten ulottuminen maan muihin osiin. Säännös edellyttää valtiovallan valvovan maakunnan etuja kansainvälisissä yhteyksissä, esimerkiksi öljysuojarahastossa. 

Ahvenanmaan maakunnan hallitus tekee esityksen lisäavustuksen hakemisesta Ahvenanmaan valtuuskunnalle. Esitys on 2 momentin mukaan tehtävä viimeistään kustannusten syntymistä seuraavana vuonna. Pykälässä ehdotetaan lakiteknisistä syistä lisäksi huomioitavaksi Ahvenanmaan valtuuskunnan nykyinen tehtävä, sellaisena kuin siitä säädetään itsehallintolain 56 §:n 3 momentin 3 kohdassa, myöntää lisäavustusta ja päättää siihen mahdollisesti liittyvistä ehdoista. Momentissa ehdotetaan huomioitavaksi, että esitys tehdään Ahvenanmaan valtuuskunnalle.  

Saman momentin mukaan asia on ratkaistava, jos mahdollista, kuuden kuukauden kuluessa sen vireille saattamisesta. Säännös vastaa nykyistä 51 §:n 2 momenttia. Säännökseen ei ole asetettu ehdotonta aikarajaa, koska esimerkiksi suurissa öljypäästöissä saattaa olla vaikea esittää tarpeellinen selvitys mainitussa ajassa. Ennen kuin Ahvenanmaan valtuuskunta tekee päätöksensä, sen on kuultava valtion toimivaltaisia viranomaisia. 

56 §.Ahvenanmaan valtuuskunnan tehtävät. Ehdotetaan, että Ahvenanmaan valtuuskunnan uudet tehtävät lisätään 3 momenttiin, siten kuin ne tasoitusperusteen muuttamisesta käyvät ilmi 48 §:n 2 ja 3 momentista, sekä siten, että 49 §:n 1 momentissa säädetty tehtävä verotasoituksen sekä sen ennakon suuruuden vahvistamisesta lisätään pykälän 3 momentin 1 kohtaan ja 4 momenttiin. Valtuuskunnan 48 §:n momentissa tarkoitetusta tehtävästä ehdotetaan selkeyden vuoksi mainintaa 3 momentin 3 kohdassa. Ahvenanmaan valtuuskunnan tasoitusjärjestelmään kuuluvista tehtävistä huolehtiminen edellyttää jatkossakin, että oikeansisältöistä perustietopohjaa pidetään valtuuskunnan saatavilla. Välttämättömät tiedot, sisältäen luotettavia lukuja ja näihin verrattavissa oleva perustietoja, on jatkuvasti toimitettava Ahvenanmaan valtuuskunnalle. On etenkin kyse tiedoista, jotka ovat valtionvarainministeriön ja Verohallinnon hallussa. Esimerkiksi vuotuisen tasoitusmäärän vahvistamiseksi valtuuskunta tarvitsee valtion tilinpäätöksen alustavien ja lopullisten tietojen lisäksi tietoja Ahvenanmaan väestönmäärässä suhteessa koko Suomen väestömäärään tapahtuneista muutoksista. Tasoitusmäärä lasketaan sitten 46 §:n 2 momentin yksityiskohtaisissa perusteluissa olevan laskukaavan mukaisesti. 

Voimaantulo ja Ahvenanmaan maakunnan taloutta koskevat siirtymäsäännökset

Laki ehdotetaan tulevaksi voimaan 1. päivänä tammikuuta 2021. 

Lakiehdotuksen voimaantulokohtaan ehdotetaan sisällytettäväksi 1 momentin voimaantulosäännös sekä säännökset, jotka mahdollistavat valtion tilinpäätöksen perusteiden muutosten huomioon ottamisen ennen kuin laki tulee voimaan. Viimeksi mainittujen säännösten tarkoitus on säännellä selvästi siirtymistä itsehallintolain voimassa olevasta uuteen Ahvenanmaan maakunnan taloutta koskevaan 7 lukuun.  

Pykälän 2 momentissa ehdotetaan, että tämän lain voimaan tullessa voimassa olleessa 45 §:ssä tarkoitettu tasoitus toimitetaan viimeisen kerran tämän lain voimaantuloa edeltävältä vuodelta, ja tällöin vuoden 2020 tilinpäätökseen perustuva tasoitus toimitetaan vuoden 2021 lopussa.  

Pykälän 3 momentissa ehdotetaan säädettäväksi 47 §:n 1 momentin mukaisen tasoitusperusteen muuttamisesta, jos valtion tilinpäätöksen perusteet muuttuvat tämän lain voimaan tullessa voimassa olleen 47 §:n 2—4 momentin mukaisesti tai jos on syntynyt muita painavia syitä muutokseen ennen lain voimaantuloa. Säännös painavista syistä on tarkoitettu tulevaksi sovellettavaksi tilanteessa, jolloin maakunta- ja sote-uudistuksen johdosta valtion talousarviossa arvioitu arvonlisäverotuoton lisäys ei n. 1,6 miljardilla eurolla toteutuisikaan taikka, jos on syntynyt merkittäviä poikkeamia, jotka vaikuttavat tasoitusmäärään olematta suhdannetilanteesta johtuvia. Säännöksen tarkoituksena on myös ja laajemmalti varmistaa, että hallituksen ja maakunnan hallituksen välinen yhteisymmärrys itsehallinnon menojen perusrahoituksen tasosta toteutuu ”2 Esityksen vaikutukset” kohdan kolmannessa kappaleessa kuvatun mukaisesti. Koska momentin ensisijaisena tarkoituksena on, että tasoitusperustetta muutetaan ennen lain voimaantuloa, muutos on tehtävä tämän lain voimaan tullessa voimassa olleessa 47 §:n 5 momentissa säädetyssä menettelyssä, eli tavallisella valtakunnan lailla ja maakuntapäivien suostumuksella. Jos edellä tarkoitettu tilanne on syntynyt ennen muutoslain voimaantuloa, mutta tasoitusperustetta ei ajallisista syistä ole ollut mahdollista muuttaa ennen lain voimaantuloa, sovelletaan lakiehdotuksen 48 §:ä edellä mainittujen olosuhteiden arvioimiseksi siten, että esimerkiksi maakunta- ja soteuudistuksesta johtunut ja pois jäänyt korotus katsotaan viimeksi mainitussa säännöksessä tarkoitetuksi valtion tilinpäätöksen perusteiden muutokseksi. Tarkoituksena on varmistaa, että tasoitusperusteeseen tehtävää muutosta ei aikasyistä tulisi mahdottomaksi tehdä. Sellaisiin tilipäätöksen perusteisiin tuleviin muutoksiin, jotka tapahtuvat ehdotetun lain voimaantulopäivänä tai tämän jälkeen, sovelletaan ehdotettua 47 §:n 2 momenttia ja 48 §:ä. 

Pykälän 4 momentissa ehdotetaan säädettäväksi siitä, että ennen muutoslain voimaan tuloa 48 §:n mukaan hyväksytyt ylimääräiset määrärahat toimitetaan voimassa olevan lain mukaisesti. 

Pykälän 5 momentista seuraa, että verohyvitys vuodelta 2019 ja 2020 toimitetaan muutoslain tultua voimaan tämän lain voimaan tullessa voimassa olleen 49 §:n perusteella. 

Ehdotetaan 6 momentissa säädettäväksi, että erityiset avustukset, jotka liittyvät muutoslain voimaantuloa edeltäviin vuosiin, toimitetaan voimassa olevan lain 51 §:n mukaisesti.  

Pykälän 7 momentissa ehdotetaan säädettäväksi, että tasoitusmäärän ennakosta ja verotasoituksesta lain voimaantulovuonna voidaan päättää ennen lain voimaantuloa. 

Selkeyden vuoksi ehdotetaan, että Ahvenanmaan valtuuskunnan toimivaltuudet vuosien 2019 ja 2020 verohyvityksen toimittamiseksi tämän lain voimaan tullessa voimassa olleen 49 §:n nojalla kävisivät ilmi 8 momentista. Verohyvitys toimitetaan vuosina 2021 ja 2022. Sama koskee vuoden 2020 lopullista tämän lain voimaan tullessa voimassa olleen 45 §:n 2 momentin mukaista tasoitusta. 

Lakiehdotuksen suhde perustuslakiin ja säätämisjärjestys

Perustuslain 120 §:n mukaan Ahvenanmaan maakunnalla on itsehallinto sen mukaan kuin Ahvenanmaan itsehallintolaissa erikseen säädetään. Ahvenanmaan maakunnalla on erityisasema Suomen valtiojärjestyksessä. Maakunnan itsehallinnolla on myös kansainväliset takeet (ks. HE 1/1998 vp, s. 177/II). Maakunnan erityisasema ilmenee varsinkin maakunnalle kuuluvana laajana itsehallintona, jolla on kansainväliset takeet ennen muuta vuoden 1921 ns. Ahvenanmaan sopimuksen johdosta (PeVM 10/1998 vp, s. 34—35). 

Perustuslain 75 §:n 1 momentissa on säännös, jonka mukaan Ahvenanmaan itsehallintolain säätämisjärjestyksestä on voimassa, mitä siitä itsehallintolaissa erikseen säädetään. Säännös täydentää perustuslain 120 §:n itsehallintoa koskevaa yleistä säännöstä. Itsehallintolaki ei muodollisesti ole perustuslaki, mutta se rinnastuu perustuslakiin vaikeutetun säätämisjärjestyksensä vuoksi (ks. HE 1/1998 vp, s. 127/I).  

Ahvenanmaan itsehallintolain 69 §:n 1 momentin mukaan itsehallintolakia voidaan muuttaa vain eduskunnan ja maakuntapäivien yhtäpitävin päätöksin. Eduskunnassa päätös on tehtävä siinä järjestyksessä kuin perustuslain muuttamisesta on säädetty. Maakuntapäivillä päätös on tehtävä siten, että sitä on kannattanut vähintään kaksi kolmasosaa annetuista äänistä.  

Itsehallintolain 29 §:n 2 momentissa ja 47 §:n 5 momentissa säädetään poikkeuksista tästä lainsäätämisjärjestyksestä, joista tässä ei kuitenkaan ole kyse. Lain 29 §:n 2 momentin ja 47 §:n 5 momentin mukaiset poikkeusjärjestykset on hyväksytty ja saatettu voimaan noudattaen sitä vaikeutettua lainsäätämisjärjestystä, jota itsehallintolain 69 §:n 1 momentin mukaisesti sovelletaan itsehallintolakia muutettaessa tai kumottaessa. Poikkeusjärjestystä ei voimassa olevaa itsehallintolakia säädettäessä pidetty ongelmallisena suhteessa itsehallintolakiin tai silloiseen hallitusmuotoon. 

Itsehallintolain 48 §:n 1 momentissa ehdotettava menettely tasoitusperusteen muuttamisesta noudattaisi edelleen tavallista lainsäätämisjärjestystä. Ottaen huomioon asian merkityksen Ahvenanmaan maakunnalle ehdotetaan, että tällainen laki voidaan säätää vain maakuntapäivien suostumuksella. Koska lakiehdotus on hyväksyttävä perustuslainsäätämisjärjestyksessä, minkä lisäksi lain voimaantulo edellyttää maakuntapäivien suostumusta, ehdotetun mukainen 47 §:n 1 momentti ei ole itsehallintolain säätämisjärjestyksen kannalta ongelmallinen. 

Perustuslain 73 §:ssä säädetään perustuslain säätämisjärjestyksestä.  

Perustuslain voimassaolon aikana eduskunta on viidesti käsitellyt itsehallintolain muuttamista koskevia hallituksen esityksiä. Eduskunta on kolmesti (PeVM 7/2002 vp, PeVM 4/2010 vp ja PeVM 5/2014 vp) jättänyt lakiesityksen lepäämään seuraavien eduskuntavaalien jälkeisiin valtiopäiviin perustuslain 73 §:n 1 momentin mukaisesti. Eduskunta on kahdesti (PeVM 6/2009 vp ja PeVM 7/2009 vp) vuonna 2009, eli kesken vaalikauden, käsitellyt ja hyväksynyt itsehallintolain muuttamista koskevat lakiehdotukset perustuslain 73 §:n 2 momentin mukaisessa kiireellisessä perustuslainsäätämisjärjestyksessä. Itsehallintolain muutosehdotukset ovat pääasiassa koskeneet tavalliseen aineelliseen lainsäädäntöön kuuluvien itsehallintolain säännösten muutoksia ennemmin kuin valtiosääntötasoisten säännösten muutoksia. Kahdessa yllämainitussa tapauksessa perustuslain kiiremenettelyä sovellettiin itsehallintolakiin tehtävästä rajatusta muutoksesta. Ensimmäisessä tapauksessa kyse oli yhden pykälän sisällöllisestä muutoksesta (59 c § laissa 847/2009), kun taas toisessa kyse oli kahden pykälän lakiteknisestä muutoksesta (30 §:n 11 kohta sekä 39 § laissa 1176/2009).  

Tässä yhteydessä on syytä huomioida perustuslain muuttamisen yhteydessä käydyt keskustelut kiireellisestä perustuslainsäätämisjärjestyksestä. Perustuslakivaliokunta on hiljattain uudestaan arvioinut kiiremenettelyn soveltamista koskevat perusteet ja asettanut sen käytölle ehtoja (ks. PeVM 4/2018 vp—HE 198/2017 vp). Perustuslakivaliokunta on niin ikään mietinnössään esityksestä itsehallintolain 30 §:n muuttamisesta (PeVM 6/2018 vp—HE 135/2018 vp) viitannut niihin ehtoihin, jotka valiokunta on asettanut perustuslain muuttamista koskevalle kiireelliselle perustuslainsäätämisjärjestykselle. Itsehallintolakia muutettaessa on siten, vastaavalla tavalla kuin perustuslakia muutettaessa, sovellettava perustuslain 73 §:n 1 momentin mukaista, ns. normaalia perustuslainsäätämisjärjestystä, jossa muutokset käsitellään eduskunnassa ja jätetään lepäämään seuraavien vaalien yli, jolloin uusi eduskunta hyväksyy ne. Sen vuoksi kiiremenettelyä ei tule käyttää muutoin kuin pakottavissa tilanteissa.  

Perustuslakivaliokunnan asettamien ehtojen valossa tätä lakiesitystä ei laajuudeltaan eikä ottaen huomioon yhtäältä lain säätämisajankohta ja toisaalta Ahvenanmaan itsehallinnon ja itsehallintolain myös perustuslain mukainen erityisasema, voi rinnastaa sellaisiin aikaisempiin rajattuihin tai teknisluonteisiin itsehallintolain muutoksiin, jotka perustuslakivaliokunnan aiemman lausuntokäytännön mukaan on voitu käsitellä kiireellisessä perustuslainsäätämisjärjestyksessä.  

Edellä todettujen seikkojen perusteella ehdotetaan, että lakiehdotus käsitellään perustuslain 73 §:n 1 momentissa säädetyllä tavalla. 

Ponsiosa 

Edellä esitetyn perusteella annetaan eduskunnan hyväksyttäväksi seuraava lakiehdotus: 

Lakiehdotus

Laki Ahvenanmaan itsehallintolain muuttamisesta 

Eduskunnan ja Ahvenanmaan maakuntapäivien päätösten mukaisesti, jotka on tehty Ahvenanmaan itsehallintolain (1144/1991) 69 §:n 1 momentissa säädetyllä tavalla, 
muutetaan Ahvenanmaan itsehallintolain 7 luvun otsikko, 44—51 § sekä 56 §:n 3 ja 4 momentti, sellaisina kuin niistä ovat 44 § laissa 520/1996 ja 51 § osaksi laissa 68/2004, seuraavasti: 
7 luku 
Ahvenanmaan maakunnan talous 
44 § Taloudellinen itsehallinto 
Ahvenanmaan maakunnalla on taloudellinen itsehallinto siten kuin siitä säädetään tässä laissa.  
Maakuntapäivät päättää Ahvenanmaan maakunnan talousarviosta. Tarkemmat säännökset maakunnan talousarviosta annetaan maakuntalaissa. 
Ahvenanmaan maakunta voi itsehallinnon tarpeisiin ottaa lainaa sekä laskea liikkeelle obligaatiolainoja. 
45 § Vuotuiset siirrot Ahvenanmaan maakunnalle 
Ahvenanmaan maakunnalle suoritetaan itsehallinnosta aiheutuvien menojen kattamiseksi vuosittain valtion varoista 46 §:n mukainen määrä, joka vahvistetaan erityisessä tasoituksessa (tasoitusmäärä) sekä määrä, joka perustuu 49 §:ssä säädettyyn verotasoitukseen.  
46 § Tasoitus 
Tasoitusmäärä lasketaan siten, että valtion tilinpäätöksen mukaiset kyseisen vuoden tulot lukuun ottamatta ansio- ja pääomatuloveroja, yleisradioveroa, rajoitetusti verovelvollisten maksamaa lähdeveroa, yhteisöveroa, tonnistoveroa, arpajaisveroa sekä uusia valtion lainoja (tasoituspohja) kerrotaan tietyllä suhdeluvulla (tasoitusperuste).  
Tasoitusmäärän laskennassa tulee myös ottaa huomioon puolet Ahvenanmaan väestömäärässä tapahtuneesta muutoksesta suhteessa koko Suomen väestömäärään (Ahvenanmaanväestönosuus) 31 päivästä joulukuuta 2020 alkaen. Ahvenanmaan väestöosuuden määrittämiseksi käytetään kerrointa, joka annetaan viiden desimaalin tarkkuudella. Ahvenanmaan väestönosuuden kasvaessa tasoitusmäärää korotetaan ja väestönosuuden vähetessä tasoitusmäärää alennetaan. 
Tasoitus toimitetaan vuosittain jälkikäteen kultakin kalenterivuodelta. Tasoitusmäärästä maksetaan kuukausittain ennakkoa.  
47 §  Tasoitusperuste ja sen muuttaminen 
Tasoitusperuste on 0,45 prosenttia. 
Tasoitusperustetta on muutettava, jos valtion tilinpäätöksen perusteet muuttuvat tasoitusmäärän suuruuteen vaikuttavalla tavalla. Valtion tilinpäätöksen perusteiden muutoksella tarkoitetaan muutoksia valtion meno- ja kulurakenteessa, verotusta tai yhtiöittämistä koskevia rakenteellisia muutoksia, muutoksia nettobudjetoinnissa sekä niihin verrattavia muita muutoksia. 
Tasoitusperustetta on korotettava, jos Ahvenanmaan maakunnan menot kasvavat ja jos menokasvu johtuu siitä, että: 
1) maakunnalle on siirretty uutta lainsäädäntövaltaa 29 §:n 1 momentissa tarkoitetuissa asioissa; 
2) Ahvenanmaan maakunta on ottanut valtiolle kuuluvia hallintotehtäviä eikä kustannuksia säännellä muulla tavoin tai maakunta vastaa valtion kanssa tehdyn sopimuksen perusteella toiminnasta, joka kokonaan tai merkittävin osin palvelee valtakunnan etuja; 
3) itsehallinnon tarkoitusten toteuttaminen aiheuttaa olennaisia lisäkustannuksia; tai 
4) Ahvenanmaan maakunnan hallinnolle muutoin aiheutuu huomattavia menoja, joita ei ole otettu huomioon tätä lakia säädettäessä. 
Tasoitusperustetta on alennettava, jos valtion viranomainen on ottanut Ahvenanmaan maakunnan viranomaisille kuuluvia hallintotehtäviä, eikä näiden tehtävien kustannuksia säännellä muulla tavoin. 
48 §  Menettely tasoitusperusteen muuttamisessa 
Tasoitusperusteen muuttamisesta säädetään valtakunnan lailla ja maakuntapäivien suostumuksella.  
Valtiovarainministeriö ja Ahvenanmaan maakunnan hallitus arvioivat vähintään joka kolmas vuosi, onko 47 §:n 2—4 momentissa säädettyjä perusteita muuttaa tasoitusperustetta ja tekevät ehdotuksensa Ahvenanmaan valtuuskunnalle. Jos toinen osapuoli pyytää arvioinnin tekemistä aiemmin kuin kolmen vuoden kuluttua, toisen osapuolen on myötävaikutettava siihen, että ehdotus luovutetaan Ahvenanmaan valtuuskunnalle kohtuullisessa ajassa. Muussa tapauksessa valtuuskunta käsittelee asian toisen osapuolen ehdotuksen perusteella ja kuultuaan toista osapuolta. 
Valtuuskunta antaa ehdotuksensa tasoitusperusteen muuttamisesta valtioneuvostolle. Valtioneuvosto antaa eduskunnalle lakiehdotuksensa, joka perustuu valtuuskunnan ehdotukseen.  
49 § Verotasoitus 
Verotasoituksena palautetaan Ahvenanmaan maakunnalle vuosittain valtion varoista Ahvenanmaalla kunakin verovuotena maksuun pannut valtiollisten ansiotulo- ja pääomatuloverojen, rajoitetusti verovelvollisten maksaman lähdeveron, yhteisöveron sekä tonnistoveron rahamäärät. Niin ikään palautetaan vuosittain Ahvenanmaalla maksettujen arpajaisverojen rahamäärät. Verotasoitus suoritetaan vuosittain jälkikäteen jokaiselta verovuodelta. Verotasoitusmäärästä maksetaan kuukausittain ennakkoa. Ennakkosumma lasketaan käyttämällä perustana aikaisemman verotuksen toteutumaa ja ennusteita.  
Jos 1 momentissa tarkoitettu yhteisöveron ja pääomatuloveron yhteenlaskettu toteuma alittaa yli 10 prosentilla sen yhteisen rahamäärän, jonka Ahvenanmaan maakunta olisi saanut vastaavien verojen osalta käyttäen perusteena 46 §:n 1 ja 2 momentin mukaan laskettua tasoitusmäärää, kuuluu erotus maakunnalle. 
50 § Ylimääräinen määräraha 
Ylimääräinen määräraha voidaan maakuntapäivien esityksestä myöntää sellaisiin poikkeuksellisen suuriin kertamenoihin, joita ei kohtuudella voida rahoittaa Ahvenanmaan maakunnan talousarviosta. Ylimääräinen määräraha voidaan myöntää vain maakunnan lainsäädäntövaltaan kuuluvien tehtävien suorittamiseen. Ylimääräistä määrärahaa koskeva esitys tehdään Ahvenanmaan valtuuskunnalle. 
51 § Lisäavustus poikkeuksellisissa olosuhteissa 
Ahvenanmaan maakunnalle tulee poikkeuksellisissa olosuhteissa myöntää valtion varoista lisäavustusta: 
1) erityisesti maakuntaa kohtaavien olennaisten kansantaloudellisten häiriöiden estämiseksi tai poistamiseksi;  
2) tuhoisasta luonnontapahtumasta, ydinonnettomuudesta, öljypäästöstä tai niihin rinnastettavasta tapahtumasta aiheutuneiden kustannusten kattamiseksi, jollei kustannusten kohtuudella tule jäädä maakunnan kannettaviksi. 
Ahvenanmaan maakunnan hallituksen on tehtävä lisäavustusta koskeva esitys Ahvenanmaan valtuuskunnalle viimeistään kustannusten syntymistä seuraavana kalenterivuonna. Asia on, jos mahdollista, ratkaistava kuuden kuukauden kuluessa sen vireilletulosta.  
56 § Ahvenanmaan valtuuskunnan tehtävät 
Ponsiosa 
Valtuuskunnan tehtävänä on lisäksi: 
1) toimittaa vuosittain jälkikäteen 46 ja 49 §:ssä tarkoitettu tasoitus ja verotasoitus; 
2) antaa 48 §:n 3 momentissa tarkoitettu ehdotus valtioneuvostolle tasoitusperusteen muuttamisesta;  
3) myöntää 50 §:ssä tarkoitettu ylimääräinen määräraha ja 51 §:ssä tarkoitettu lisäavustus poikkeuksellisissa olosuhteissa sekä päättää näihin mahdollisesti liittyvistä ehdoista. 
Valtuuskunta päättää 46 §:n 3 momentissa tarkoitetun tasoitusmäärän ja 49 §:n 1 momentissa tarkoitetun verotasoituksen ennakkojen suuruudesta.  
Ponsiosa 
 Voimaantulopykälä tai –säännös alkaa 
Tämä laki tulee voimaan päivänä kuuta 20 . 
Tämän lain voimaan tullessa voimassa olleessa 45 §:ssä tarkoitettu tasoitus toimitetaan viimeisen kerran tämän lain voimaantuloa edeltävältä kalenterivuodelta. 
Edellä 47 §:n 1 momentissa säädettyä tasoitusperustetta tulee muuttaa, jos valtion tilinpäätöksen perusteet muuttuvat tämän lain voimaan tullessa voimassa olleen 47 §:n 2—4 momentissa säädetyllä tavalla tai jos on muita painavia syitä muutokseen ennen lain voimaantuloa. Tasoitusperusteen muuttamiseen sovelletaan tällöin tämän lain voimaan tullessa voimassa ollutta 47 §:n 5 momenttia.  
Tämän lain voimaan tulleessa voimassa olleessa 48 §:ssa tarkoitettu ylimääräinen määräraha, jota koskeva esitys on tehty ennen tämän lain voimaantuloa, myönnetään mainitun säännöksen mukaan. 
Tämän lain voimaan tulleessa voimassa olleessa 49 §:ssä tarkoitettu verohyvitys maksetaan vielä tämän lain voimaantuloa edeltäviltä verovuosilta. 
Tämän lain voimaan tulleessa voimassa olleessa 51 §:ssä tarkoitettuja erityisiä avustuksia voidaan anoa sellaisten kustannusten kattamiseksi, jotka ovat syntyneet ennen tämän lain voimaantuloa edeltävänä vuonna.  
Tasoitusmäärän ennakosta ja lain voimaantulovuoteen kohdistuvasta verotasoituksesta voidaan päättää ennen lain voimaantuloa. 
Ahvenanmaan valtuuskunta huolehtii myös verovuosien 2019 ja 2020 verohyvityksen vahvistamisesta, jonka tehtävä tämän lain voimaan tullessa voimassa olleen 56 §:n 3 momentin 2 kohdan mukaan kuului valtuuskunnalle. Sama koskee vuoden 2020 lopullista tämän lain voimaan tullessa voimassa olleen 45 §:n 2 momentin mukaista tasoitusta. 
 Lakiehdotus päättyy 
Helsingissä 6 päivänä helmikuuta 2019 
Pääministeri Juha Sipilä 
Liikenne- ja viestintäministeri Anne Berner