Senast publicerat 13-05-2022 10:09

Riksdagens svar RSv 52/2022 rd RP 30/2022 rd  Regeringens proposition till riksdagen med förslag till lag om ändring av lagen om pension för arbetstagare och till lagar som har samband med den

Ärende

Regeringens proposition till riksdagen med förslag till lag om ändring av lagen om pension för arbetstagare och till lagar som har samband med den (RP 30/2022 rd). 

Beredning i utskott

Utskottets betänkande: Social- och hälsovårdsutskottet (ShUB 6/2022 rd). 

Beslut

Riksdagen har antagit följande lagar: 

Lag om ändring av lagen om pension för arbetstagare 

I enlighet med riksdagens beslut 
ändras i lagen om pension för arbetstagare (395/2006) 153 § 1 mom., rubriken för 166 § samt 166 § 2 mom., 167 och 169 §, rubriken för 171 § samt 171 § 1—3 mom., 174 § 2 punkten samt 194 och 201 §, 
av dem 153 § 1 mom. sådant det lyder i lag 945/2016, 169 § sådan den lyder delvis ändrad i lag 1112/2007, rubriken för 171 § samt 171 § 3 mom. sådana de lyder i lag 1121/2006, 171 § 1 mom. sådant det lyder i lag 220/2011, 171 § 2 mom. sådant det lyder i lag 950/2021, 174 § 2 punkten sådan den lyder i lag 69/2016, 194 § sådan den lyder i lag 794/2012 samt 201 § sådan den lyder i lag 317/2015, som följer: 
153 § 
Beloppet av arbetstagarens arbetspensionsförsäkringsavgift 
Arbetstagarens arbetspensionsförsäkringsavgift är 4,2 procent ökat med hälften av det procenttal med vilket den genomsnittliga arbetspensionsförsäkringsavgiften för en försäkring enligt denna lag i procent av lönen överskrider talet 18,2. Den genomsnittliga arbetspensionsförsäkringsavgiften beräknas med beaktande av de nedsättningar av avgiften som avses i 169 § 5 mom. 
 En icke ändrad del av lagtexten har utelämnats 
166 § 
Grunderna för beräkning av försäkringsavgifter och ansvarsskuld 
 En icke ändrad del av lagtexten har utelämnats 
Beräkningsgrunderna för pensionsstiftelsernas ansvarsskuld utfärdas genom förordning av social- och hälsovårdsministeriet. 
167 § 
Enhetlighet i fråga om villkor och beräkningsgrunder 
Social- och hälsovårdsministeriet får endast av särskilda skäl i pensionsförsäkringens villkor eller beräkningsgrunder fastställa skiljaktigheter som försvårar verkställigheten av denna lag eller skötseln av pensionsanstalternas gemensamma angelägenheter. 
169 § 
Beräkningsgrunderna för försäkringsavgifter som betalas till arbetspensionsförsäkringsbolag 
Av beräkningsgrunderna för de försäkringsavgifter som betalas till ett arbetspensionsförsäkringsbolag ska framgå hur försäkringsavgiften beräknas och hur avgiften är preciserad i delar som tas ut för olika kostnadsslag. 
Arbetspensionsförsäkringsbolaget ska göra upp grunderna för beräkning av försäkringsavgifterna så att arbetsgivarna behandlas lika. Beräkningsgrunderna kan uppgöras så att arbetsgivarens faktiska utgift för invalidpensions- och rehabiliteringspenningsersättningar beaktas vid fastställandet av försäkringsavgiften. 
Vid fastställandet av storleken av arbetspensionsförsäkringsbolagens försäkringsavgifter beaktas årligen respektive arbetspensionsförsäkringsbolags andel av de i 178—181 § i denna lag och i 5 § i lagen om Pensionsskyddscentralen nämnda kostnaderna som ska bekostas gemensamt. 
Beräkningsgrunderna för de försäkringsavgifter som ska betalas till ett arbetspensionsförsäkringsbolag ska inbegripa grunder för arbetspensionsförsäkringsavgiftens omkostnadsdel. Med omkostnadsdelen avses den del av arbetspensionsförsäkringsavgiften som täcker driftskostnaderna för arbetspensionsförsäkringsbolagets verksamhet enligt denna lag med undantag för de driftskostnader som uppstår av placeringsverksamhet och driftskostnader som av särskilda skäl täcks med andra avgiftsdelar. Beräkningsgrunderna för omkostnadsdelen ska uppgöras med beaktande av kravet på det tryggande som anges i 168 § 1 mom. så att intäkterna av omkostnadsdelen motsvarar driftskostnaderna för arbetspensionsförsäkringsbolagets verksamhet enligt denna lag och så att arbetsgivarens omkostnadsdel står i skälig proportion till de driftskostnader som uppstår av arbetsgivarens försäkringar. 
Om arbetspensionsförsäkringen har ordnats i ett arbetspensionsförsäkringsbolag, har arbetsgivaren rätt till en andel av det överskott som försäkringsrörelsen eventuellt inbringar. Beräkningsgrunderna för de nedsättningar av försäkringsavgiften och sådana andra motsvarande förmåner som överskottet föranleder ska uppgöras så att det sammanlagda beloppet av överskottet och sättet hur detta uppkommit beaktas i skälig utsträckning. Nedsättningen av försäkringsavgifterna och de andra motsvarande förmånerna får inte äventyra uppfyllandet av solvenskraven i enlighet med 7 kap. i lagen om arbetspensionsförsäkringsbolag. 
Bestämmelserna i 5 mom. gäller inte sådana tillfälliga arbetsgivare som har ordnat sina anställdas pensionsskydd på det sätt som avses i 147 §. 
171 § 
Justering av ålderspensionsansvaret 
De fonderade delarna av ålderspensionerna justeras årligen med ett belopp som beräknas med hjälp av den grund för avsättningskoefficienten för pensionsansvaret som ingår i de i 166 § avsedda beräkningsgrunderna. Avsättningskoefficienten bestäms med hänsyn till de krav som tryggandet av pensionerna och pensionsanstalternas solvens medför, granskat minst kvartalsvis. Avsättningskoefficienten ska bestämmas så att dess värde stöder finansieringen av ålderspensionerna och pensionsanstalternas långsiktiga placeringsverksamhet. Avsättningskoefficienten kan minska de fonderade delarna av ålderspensionerna endast när pensionsanstalternas genomsnittliga solvens har sjunkit avsevärt. Avsättningskoefficientens värde beräknas av Pensionsskyddscentralen utifrån de uppgifter som pensionsanstalterna lämnat. 
Om det sammanlagda beloppet av pensionsanstalternas till aktieavkastningen bundna tilläggsförsäkringsansvar är större än en (1) procent av pensionsanstalternas sammanlagda belopp av de i 168 § 2 mom. avsedda ansvarsskulder som utgör grunden för beräkningen av till aktieavkastningen bundna tilläggsförsäkringsansvar, ska den överskjutande andelen användas för justeringar av de fonderade delar som avses i 1 mom. i denna paragraf. 
De justeringar som avses i denna paragraf kan riktas i olika form till de fonderade delarna av framtida och inledda ålderspensioner för olika åldersklasser så att försäkringsavgiftsnivån på lång sikt utvecklas i jämn takt. 
 En icke ändrad del av lagtexten har utelämnats 
174 § 
Pensionsanstalternas ansvar för ålderspensionen 
Varje pensionsanstalt svarar för 
 En icke ändrad del av lagtexten har utelämnats 
2) det belopp med vilket den del som pensionsanstalten svarar för har justerats i enlighet med 171 § och de av social- och hälsovårdsministeriet fastställda eller givna beräkningsgrunderna, och 
 En icke ändrad del av lagtexten har utelämnats 
194 § 
Arbetsgivarnas rätt att få uppgifter 
Trots sekretessbestämmelserna och andra begränsningar som gäller erhållande av uppgifter har en arbetsgivare rätt att för sin ekonomiförvaltning och personaladministration och för att kunna kontrollera företagets arbetspensionsförsäkringsavgifter av pensionsanstalterna få nödvändiga uppgifter om pensioner som beviljats enligt denna lag och om pensionsformen, om begynnelse- och slutdatum för beviljade pensioner samt om faktorer som påverkar arbetsgivarens försäkringsavgift. 
201 § 
Uppgifter för justering av ålderspensionsåtagandena 
Trots sekretessbestämmelserna och andra begränsningar som gäller erhållande av uppgifter har Pensionsskyddscentralen rätt att inom den tid och i den form som den bestämmer av pensionsanstalterna få de uppgifter om respektive pensionsanstalts ansvarsskuld och solvenskapital som behövs för beräkningen av den i 171 § 1 mom. avsedda avsättningskoefficienten för pensionsansvaret samt de uppgifter om belopp och avkastning av aktieplaceringar som är föremål för handel på en i 11 § i lagen om beräkning av solvensgränsen för pensionsanstalter och om diversifiering av placeringar avsedd reglerad marknad i utvecklade stater som behövs för beräkning av den genomsnittliga årsavkastningsprocent som avses i 168 § 3 mom. 
 Paragraf eller bestämmelse om ikraftträdande börjar 
Denna lag träder i kraft den 20 . 
 Slut på lagförslaget 

Lag om ändring av 14 och 18 § i lagen om arbetspensionsförsäkringsbolag 

I enlighet med riksdagens beslut 
ändras i lagen om arbetspensionsförsäkringsbolag (354/1997) 14 § 2 mom. och 18 § 2 mom., sådana de lyder i lag 442/2012, som följer: 
14 § 
Ansvarsskuld 
 En icke ändrad del av lagtexten har utelämnats 
Premieansvaret motsvarar kapitalvärdet av de utbetalningar som föranleds av framtida försäkringsfall till den del som bolaget blivit ansvarigt enligt lagen om pension för arbetstagare eller lagen om pension för företagare. Som premieansvar betraktas även sådant ansvar som reserverats för sådana nedsättningar av försäkringsavgiften och andra motsvarande förmåner som avses i 169 § 5 mom. i lagen om pension för arbetstagare och för täckande av nedannämnda förluster, och som indelas i en del som fördelas på försäkringstagarna (fördelat tilläggsförsäkringsansvar) och en ofördelad del (ofördelat tilläggsförsäkringsansvar). Fördelat tilläggsförsäkringsansvar får endast användas till sådana nedsättningar av försäkringsavgiften och andra motsvarande förmåner som avses i 169 § 5 mom. i lagen om pension för arbetstagare. Ofördelat tilläggsförsäkringsansvar som utökar eller minskar premieansvaret kan användas för att täcka förlust som har uppkommit till följd av en ändring av grunden för beräkning av ansvarsskulden och även för att täcka andra förluster. 
 En icke ändrad del av lagtexten har utelämnats 
18 § 
Överföringar till det fördelade och det ofördelade tilläggsförsäkringsansvaret 
 En icke ändrad del av lagtexten har utelämnats 
Om ett arbetspensionsförsäkringsbolags solvenskapital överskrider solvensgränsen, kan bolaget till det fördelade tilläggsförsäkringsansvaret överföra högst det belopp som beräknats på det sätt som avses i 169 § 5 mom. i lagen om pension för arbetstagare. 
 En icke ändrad del av lagtexten har utelämnats 
 Paragraf eller bestämmelse om ikraftträdande börjar 
Denna lag träder i kraft den 20 . 
 Slut på lagförslaget 

Lag om ändring av 17 § i lagen om beräkning av solvensgränsen för pensionsanstalter och om diversifiering av placeringar 

I enlighet med riksdagens beslut 
ändras i lagen om beräkning av solvensgränsen för pensionsanstalter och om diversifiering av placeringar (315/2015) 17 § 1 mom., sådant det lyder i lag 956/2021, som följer: 
17 § 
Risk avseende avkastningskrav och försäkringsrisk 
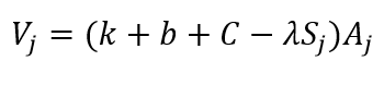
Trots bestämmelserna i 12 § beräknas riskvärdet för klassen för risk avseende avkastningskrav enligt formeln 
där k är den diskonteringsränta som används vid beräkningen av ansvarsskulden, b är den avsättningskoefficient för pensionsansvaret som avses i 171 § 1 mom. i lagen om pension för arbetstagare (395/2006) som gäller dagen efter beräkningstidpunkten, Sj är den förväntade förlust som fastställts för risk avseende avkastningskrav och Aj är ansvarsskulden, med avdrag för ofördelat och fördelat tilläggsförsäkringsansvar som avses i 14 § 2 mom. i lagen om arbetspensionsförsäkringsbolag, tilläggsförsäkringsansvar som avses i 7 kap. 2 § 2 mom. i lagen om pensionsstiftelser och pensionskassor samt de poster som enligt 139 § 2 mom. i lagen om pension för företagare (1272/2006) inte beaktas i premieansvaret. 
 En icke ändrad del av lagtexten har utelämnats 
 Paragraf eller bestämmelse om ikraftträdande börjar 
Denna lag träder i kraft den 20 . 
 Slut på lagförslaget 

Lag om ändring av 154 och 155 § i lagen om sjömanspensioner 

I enlighet med riksdagens beslut 
ändras i lagen om sjömanspensioner (1290/2006) 154 § 2 punkten och 155 §, av dem 154 § 2 punkten sådan den lyder i lag 78/2016, som följer: 
154 § 
Pensionskassans ansvar för ålderspensionen 
Pensionskassan svarar för 
 En icke ändrad del av lagtexten har utelämnats 
2) det belopp med vilket den del som pensionskassan svarar för har justerats i enlighet med 155 § och de av social- och hälsovårdsministeriet givna beräkningsgrunderna, och 
 En icke ändrad del av lagtexten har utelämnats 
155 § 
Justering av ålderspensionsansvaren med en avsättningskoefficient för pensionsansvaret 
De fonderade delarna av ålderspensionerna justeras årligen med ett belopp som beräknas med hjälp av den i 171 § i lagen om pension för arbetstagare avsedda grund för avsättningskoefficienten för pensionsansvaret som ingår i de beräkningsgrunder som utfärdas med stöd av 202 § i denna lag. 
 Paragraf eller bestämmelse om ikraftträdande börjar 
Denna lag träder i kraft den 20 . 
 Slut på lagförslaget 

Lag om ändring av 6 kap. 3 § i lagen om pensionsstiftelser och pensionskassor 

I enlighet med riksdagens beslut 
ändras i lagen om pensionsstiftelser och pensionskassor (946/2021) 6 kap. 3 § 3 mom. som följer: 
6 kap. 
Bokslut och verksamhetsberättelse 
3 § 
Pensionsstiftelsers utjämnande och delägarspecifika bokföring 
 En icke ändrad del av lagtexten har utelämnats 
Inom det utjämnande systemet ska den försäkringsavgift som ska betalas till pensionsstiftelsen delas till godo för varje delägare så som bestäms i pensionsstiftelsens stadgar. Täckning av delägarens ansvarsskuld är den proportionella andel av pensionsstiftelsens tillgångar som motsvarar ansvarsskulden. 
 Paragraf eller bestämmelse om ikraftträdande börjar 
Denna lag träder i kraft den 20 . 
 Slut på lagförslaget 
Helsingfors 11.5.2022 

På riksdagens vägnar

talman   
generalsekreterare