Senast publicerat 03-11-2021 12:44

Regeringens proposition RP 77/2016 rd Regeringens proposition till riksdagen med förslag till lag om ändring av konsumentskyddslagen, lag om förmedlare av konsumentkrediter som har samband med bostadsegendom och lag om registrering av vissa kreditgivare och kreditförmedlare samt till vissa lagar som har samband med dem

PROPOSITIONENS HUVUDSAKLIGA INNEHÅLL

I denna proposition föreslås det att konsumentskyddslagen ändras och att det stiftas en ny lag om förmedlare av konsumentkrediter som har samband med bostadsegendom och en lag om vissa kreditgivare och kreditförmedlare. Dessutom föreslås det vissa ändringar i kreditinstitutslagen, lagen om Finansinspektionen, lagen om Finansinspektionens tillsynsavgift, lagen om förhindrande och utredning av penningtvätt och av finansiering av terrorism samt lagen om Enheten för utredning av grå ekonomi. De föreslagna ändringarna syftar i huvudsak till att genomföra Europaparlamentets och rådets direktiv om konsumentkreditavtal som avser bostadsfastighet. 

Det föreslås att det till konsumentskyddslagen fogas ett nytt kapitel om konsumentkrediter som har samband med bostadsegendom. Därför gäller samma bestämmelser inte längre alla konsumentkrediter, så som nu är fallet. För att underlätta jämförelser ska kreditgivaren innan ett avtal om bostadskredit ingås ge konsumenten väsentlig information om krediten på ett standardformulär. Konsumenten ska också ha rätt att frånträda bostadskreditavtal som ingåtts i kreditgivarens lokaler, medan den nuvarande ångerrätten endast gäller bostadskrediter som erbjudits genom distansförsäljning och hemförsäljning. Kapitlet innehåller dessutom nya bestämmelser om kreditanbud, värdering av egendom som ställs som säkerhet för kredit, krediter i utländsk valuta och rådgivningstjänster som gäller både bostadskrediter och konsumentkrediter med en bostad som säkerhet. 

Det föreslås också vissa ändringar i bestämmelserna om andra konsumentkrediter i konsumentskyddslagen. Enligt förslaget får ett villkor för kreditanbud inte vara att konsumenten också ingår avtal om någon annan finansiell tjänst eller tjänst av annat slag eller ett finansiellt instrument med kreditgivaren eller en näringsidkare som samarbetar med kreditgivaren. För att eliminera tolkningsoklarheter ses dessutom bestämmelsen om ändringar av ränta över så att räntan på en kredit endast kan ändras i enlighet med ändringarna av den referensränta som specificerats i avtalet och förutsatt att detta har överenskommits i konsumentkreditavtalet. Vid bostadskrediter ska kreditgivaren dock trots en negativ referensränta av konsumenten få ta ut kreditmarginalen, om det har avtalats om detta i kreditavtalet.  

Enligt förslaget ska förmedling av konsumentkrediter som har samband med bostadsegendom förutsätta registrering. Register- och tillsynsmyndighet är Finansinspektionen. En förutsättning för registrering är bl.a. att anmälaren är tillförlitlig, att anmälaren och dennes personal har tillräcklig kunskap och kompetens och att anmälaren har en ansvarsförsäkring för ersättande av skador som verksamheten kan orsaka. Motsvarande krav på kunskap och kompetens gäller också personalen hos kreditgivare som tillhandahåller konsumentkrediter som har samband med bostadsegendom.  

Nytt är dessutom att förmedling av person-till-person-lån förutsätter registrering i ett register över kreditgivare och förmedlare av person-till-person-lån som förs av Regionförvaltningsverket i Södra Finland. Med person-till-person-lån avses krediter som förmedlas av näringsidkare till konsumenter och som lämnas av andra än yrkesmässiga kreditgivare. Förmedlare av person-till-person-lån ska se till att konsumentskyddslagens bestämmelser om konsumentkrediter iakttas i kreditförhållandet. Bestämmelserna om person-till-person-lån är nationella och grundar sig inte på direktivet.  

Lagarna avses träda i kraft så snart som möjligt efter det att de har antagits och blivit stadfästa. Ändringarna i de avtalsrättsliga bestämmelserna kommer enbart att påverka avtal som ingås efter att lagarna trätt i kraft. Vissa övergångsbestämmelser gäller registrering och krav på yrkesskicklighet. 

ALLMÄN MOTIVERING

Inledning

Kredittagningen har ökat avsevärt under de senaste decennierna, även om hushållens kreditbestånd har minskat under de allra senaste åren. Enligt Statistikcentralens statistik över kreditbeståndet var hushållens kreditbestånd i slutet av 2005 cirka 69 miljarder euro, varav andelen bostadskrediter och krediter som beviljats för fritidsbostäder var cirka 50 miljarder euro och andelen konsumentkrediter och studielån aningen över 11 miljarder euro. I slutet av 2010 uppgick hushållens kreditbestånd redan till 104 miljarder euro, varav andelen bostadskrediter och krediter som beviljats för fritidsbostäder var cirka 79 miljarder euro och andelen konsumentkrediter och studielån knappt 15 miljarder euro. Enligt Finlands Banks statistik hade hushållen i slutet av januari 2016 krediter hos kreditinstitut verksamma i Finland till ett sammanlagt belopp av 122 miljarder euro. Av dem var 92 miljarder euro bostadskrediter, 14 miljarder euro konsumentkrediter och 16 miljarder euro andra lån. Enligt Statistikcentralen uppgick hushållens krediter från andra finansiella institut till 2 miljarder euro i slutet av december 2015. Av dessa var 95 procent konsumentkrediter.  

Enligt en proposition som gällde en totalreform av lagstiftningen om konsumentkrediter (RP 24/2010 rd, s. 5) har utbudet av krediter också blivit mångsidigare under de senaste åren. Utöver kreditinstitut, finansbolag, kreditkortsbolag och snabblåneföretag som beviljar konsumentkrediter har även näringsidkare som förmedlar person-till-person-lån kommit in på den finländska marknaden.  

I och med den ökade kredittagningen och det bredare utbudet har också skuldproblemen bland privatpersoner ökat. Enligt Suomen Asiakastieto Oy:s statistik ökade domarna om indrivning mot privatpersoner i gruppen konto- och engångskrediter och finansbolagsfordringar från knappt 180 000 domar till drygt 245 000 domar under åren 2011—2013. År 2014 var motsvarande siffra drygt 194 000. Enligt statistiken för januari-juni 2015 meddelades över 82 000 domar om indrivning mot privatpersoner i gruppen konto- och engångskrediter och finansbolagsfordringar medan motsvarande siffra året innan var drygt 107 000. Den huvudsakliga förklaringen till det minskade antalet indrivningsdomar torde vara de bestämmelser om räntetak som trädde i kraft i juni 2013. Trots det minskade antalet indrivningsdomar bör det dock noteras att de skuldbelopp som ligger bakom domarna har ökat under 2014 och 2015. 

Enligt Suomen Asiakastieto Oy:s kreditupplysningsregister uppgick det totala antalet privatpersoner med betalningsstörningar i slutet av mars 2015 till nästan 369 000, vilket är fler än någonsin tidigare. På ett år har antalet personer med betalningsstörningar ökat med 1,9 procent. År 2010 var det totala antalet 309 000 personer. Det bör dock noteras att statistiken över betalningsstörningar t.ex. från depressionsåren på 1990-talet inte är helt jämförbar med dagens statistik eftersom kreditupplysningslagstiftningen, som reglerar hur betalningsanmärkningar uppstår, har ändrats. 

Bostadskrediter vållar konsumenterna färre skuldproblem än andra krediter. Andelen s.k. oreglerade fordringar var enligt Finansinspektionens statistik över kreditinstitutens utlåning 1,2 procent av alla bostadskrediter i slutet av juni 2015, medan motsvarande andel i fråga om konsumentkrediter var 3,3 procent.  

Direktivet om konsumentkreditavtal som avser bostadsfastighet

2.1  Allmänt

Europaparlamentets och rådets direktiv 2014/17/ЕU om konsumentkreditavtal som avser bostadsfastighet och om ändring av direktiven 2008/48/EG och 2013/36/EU och förordning (EU) nr 1093/2010 (nedan direktivet om bostadskrediter eller direktivet) antogs den 4 februari 2014.  

Direktivet syftar till att utveckla en öppnare och effektivare kreditmarknad och främja skapandet av en inre marknad för kreditavtal som avser bostadsfastighet. Direktivet är en uppföljning till Europaparlamentets och rådets direktiv 2008/48/EG om kreditavtal för konsumenter och om upphävande av rådets direktiv 87/102/EEG (nedan konsumentkreditdirektivet) från 2008.  

Det har konstaterats att det råder avsevärda skillnader i lagstiftningen mellan de olika medlemsstaterna när det gäller affärsmetoderna för beviljande av kreditavtal som avser bostadsfastighet samt regleringen och övervakningen av kreditförmedlare och andra tillhandahållare av kreditavtal som avser bostadsfastighet än kreditinstitut. Dessa skillnader har ansetts skapa hinder som hämmar den gränsöverskridande efterfrågan på och utbudet av kreditavtal. Det har ansetts nödvändigt att harmonisera lagstiftningen om bostads- och hypotekslån för att lösa problemen med oansvarig utlåning och oansvarigt låntagande samt för att säkerställa en hög konsumentskyddsnivå. 

Direktivet är i huvudsak ett s.k. minimidirektiv, dvs. det ska inte hindra medlemsstaterna från att behålla eller införa striktare bestämmelser för att skydda konsumenterna, förutsatt att sådana bestämmelser står i överensstämmelse med deras förpliktelser enligt unionsrätten. Undantag utgörs av tillhandahållande av information genom ett standardiserat EU-faktablad innan avtal ingås samt beräkning av den effektiva räntan, om vilka medlemsstaterna inte får utfärda eller hålla i kraft bestämmelser som avviker från direktivet. 

Medlemsstaterna ska genomföra direktivet senast den 21 mars 2016 och i regel tillämpa bestämmelserna från och med samma tidpunkt. 

2.2  Direktivets innehåll

Tillämpningsområde och definitioner 

Direktivet om bostadskrediter gäller kreditavtal som garanteras av en inteckning eller annan i en medlemsstat allmänt förekommande jämförbar säkerhet i bostadsfastighet eller för vilka det som säkerhet finns en rättighet med anknytning till bostadsfastighet. Direktivet tillämpas också på kreditavtal som är avsedda för att förvärva eller behålla äganderätt till mark eller till en befintlig eller planerad byggnad. (Artikel 3.1) 

Direktivet innehåller flera undantag från tillämpningsområdet, av vilka det viktigaste är kapitalfrigörningskreditavtal, dvs. avtal om omvänt bolån. I tillämpningsområdet ingår inte heller kreditavtal där krediten beviljas räntefritt och utan några andra avgifter än sådana som täcker kostnader som direkt avser ställandet av säkerhet för krediten eller kreditavtal i form av kontokredit enligt vilka krediten ska betalas tillbaka inom en månad. (Artikel 3.2) 

Medlemsstaterna har möjlighet att inte tillämpa artikel 11 om standardinformation i reklam och artikel 14 om information innan avtal ingås samt bilaga II om blanketten ”Standardiserat EU-faktablad” på kreditavtal som hör till direktivets tillämpningsområde och vars syfte inte är förvärv eller behållande av rättighet till bostadsfastighet, under förutsättning att medlemsstaterna tillämpar motsvarande bestämmelser i konsumentkreditdirektivet på sådana kreditavtal. Medlemsstaterna får också besluta att inte tillämpa direktivet på kreditavtal där det fastställs att egendomen inte får användas som konsumentens eller dennes familjemedlems bostad, på kreditavtal som beviljas en begränsad målgrupp enligt en lagbestämmelse med ett allmännyttigt syfte på villkor som är mer fördelaktiga för konsumenten än de som råder på marknaden, på överbryggningskredit och på krediter som tillhandahålls av kreditandelslag. (Artikel 3.3) 

Artikel 4 innehåller definitioner av begrepp som används i direktivet, bl.a. konsument, kreditgivare, kreditavtal och kreditförmedlare. 

Behöriga myndigheter 

Medlemsstaterna ska utse nationella behöriga myndigheter med befogenhet att se till att direktivet tillämpas och genomförs. Dessa myndigheter ska ges alla nödvändiga utrednings- och genomförandebefogenheter och tillräckliga resurser för att de ska kunna fullgöra sitt uppdrag på ett effektivt och ändamålsenligt sätt. Om en medlemsstat har mer än en behörig myndighet på sitt territorium ska medlemsstaten se till att deras respektive uppdrag är tydligt definierade och att det råder ett nära samarbete dem emellan så att de kan fullgöra sina respektive uppdrag på ett effektivt sätt. (Artikel 5.1 och 5.6) 

De behöriga myndigheterna och alla personer, revisorer och experter som arbetar för eller är verksamma för myndigheternas räkning ska vara bundna av tystnadsplikt. (Artikel 5.3)  

Finansiell utbildning av konsumenter 

Medlemsstaterna ska främja åtgärder för att stödja utbildning av konsumenter när det gäller ansvarsfullt låntagande och skuldhantering, särskilt avseende hypotekslåneavtal. Det är nödvändigt med tydlig och allmän information om kreditgivningsprocessen för att ge vägledning åt konsumenter, särskilt åt dem som tar ett hypotekslån för första gången. Utifrån den finansiella utbildning som finns att tillgå för konsumenter i medlemsstaterna ska kommissionen redovisa exempel på bästa praxis som kunde utvecklas vidare för att öka konsumenternas finansiella medvetenhet. (Artikel 6) 

Uppföranderegler vid tillhandahållandet av konsumentkrediter  

Artikel 7 innehåller uppföranderegler vid tillhandahållandet av konsumentkrediter. När kreditgivare, kreditförmedlare eller utsedda representanter sätter samman kreditprodukter, beviljar, förmedlar eller tillhandahåller rådgivningstjänster beträffande krediter ska de agera hederligt, rättvist, transparent och professionellt, med beaktande av konsumentens rättigheter och intressen. När det gäller beviljande, förmedling eller tillhandahållande av rådgivningstjänster avseende krediter och kompletterande tjänster ska verksamheten grunda sig på information om konsumentens förhållanden samt rimliga antaganden om riskerna för konsumentens situation under kreditavtalets löptid. (Artikel 7.1) 

Kreditgivarnas och kreditförmedlarnas arvodering av personalen och de utsedda representanterna får inte inkräkta på den ovannämnda skyldigheten. Kreditgivarna ska följa de principer som anges i artikeln när de fastställer och tillämpar arvoderingssystem för personal som ansvarar för bedömning av kreditvärdigheten. Arvoderingssystemet ska bl.a. främja en sund och effektiv riskhantering och överensstämma med kreditgivarens affärsstrategi, mål och värderingar. Arvoderingssystemet ska omfatta åtgärder för att undvika intressekonflikter, särskilt genom att föreskriva att arvodena inte får vara bundna till antalet eller andelen godkända ansökningar. (Artikel 7.2 och 7.3) 

Den personal hos kreditgivare, kreditförmedlare eller utsedda representanter som deltar i tillhandahållandet av rådgivningstjänster får inte ha en ersättningsstruktur som påverkar deras förmåga att agera i konsumentens bästa intresse. Ersättningsstrukturen får inte heller vara beroende av försäljningsmål. För att trygga konsumentens intressen får medlemsstaterna också förbjuda provision som betalas av kreditgivaren till kreditförmedlaren. Medlemsstaterna får dessutom förbjuda eller införa begränsningar för betalningar från en konsument till en kreditgivare eller kreditförmedlare innan kreditavtal ingås. (Artikel 7.4 och 7.5) 

Kunskaps- och kompetenskrav för personal 

Medlemsstaterna ska se till att kreditgivare, kreditförmedlare och utsedda representanter kräver att deras personal har och uppdaterar lämpliga kunskaper och kompetens för att sätta samman, erbjuda eller bevilja kreditavtal, för att utföra kreditförmedlingsverksamhet eller för att tillhandahålla rådgivningstjänster. (Artikel 9.1)  

De behöriga myndigheterna ska övervaka att dessa krav efterlevs. Vidare ska de behöriga myndigheterna ha befogenhet att kräva att kreditgivare, kreditförmedlare och utsedda representanter lämnar de styrkande handlingar som den behöriga myndigheten anser vara nödvändiga för att kunna utföra sådan övervakning. (Artikel 9.4) 

Allmänna bestämmelser om marknadsföring och obligatorisk standardinformation i reklam 

Reklam- och marknadsföringsuppgifter om kreditavtal ska vara sakliga och klara och får inte vara vilseledande. Förbjudna är särskilt formuleringar som hos en konsument kan skapa falska förväntningar på en kredits tillgänglighet eller kostnader. (Artikel 10) 

Om det i en reklam för kreditavtal anges räntesats för eller andra sifferuppgifter om kreditkostnaden, ska standardinformationen på ett klart, koncist och väl synligt sätt upplysa om följande: kreditgivarens identitet eller kreditförmedlarens eller den utsedda representantens identitet, att kreditavtalet kommer att garanteras av en inteckning eller annan jämförbar säkerhet i bostadsfastighet eller av en till bostadsfastighet knuten rättighet, krediträntan och det sammanlagda kreditbeloppet, den effektiva räntan, kreditavtalets löptid, avbetalningsbeloppet och antalet avbetalningar samt en varning om att eventuella valutakursfluktuationer kan komma att påverka det belopp som ska betalas av konsumenten. (Artikel 11.1 och 11.2) 

Om det är obligatoriskt att ingå avtal om en kompletterande tjänst till kreditavtalet, särskilt en försäkring, för att få krediten eller för att få den på de villkor som angavs i marknadsföringen, och kostnaden för den tjänsten inte kan fastställas i förväg, ska skyldigheten att ingå detta avtal anges på ett klart, koncist och väl synligt sätt tillsammans med den effektiva räntan. Standardinformationen och den obligatoriska informationen om kompletterande tjänster ska vara lättläst eller höras tydligt, beroende på vilket medium som används för reklam. (Artikel 11.4 och 11.5) 

Kopplingsförbehåll och paketförsäljning  

Enligt artikel 12 ska medlemsstaterna tillåta paketförsäljning men förbjuda kopplingsförbehåll. Med kopplingsförbehåll (bindningsförfarande) avses i direktivet erbjudande eller försäljning av ett kreditavtal i ett paket med andra separata finansiella produkter eller tjänster där kreditavtalet inte görs tillgängligt för konsumenten separat (Artikel 4.26). Med paketförsäljning (paketeringsförfarande) avses erbjudande eller försäljning av ett kreditavtal i ett paket med andra separata finansiella produkter eller tjänster där kreditavtalet också görs tillgängligt för konsumenten separat men inte nödvändigtvis på samma villkor som när det paketeras med de kompletterande tjänsterna (Artikel 4.27). 

Med avvikelse från förbudet mot kopplingsförbehåll får medlemsstaterna föreskriva att kreditgivare kan begära att konsumenten eller en familjemedlem eller nära släkting till konsumenten öppnar eller upprätthåller ett betal- eller sparkonto, köper eller behåller en investeringsprodukt eller ingår ett separat kreditavtal i anslutning till ett värderelaterat kreditavtal för att erhålla krediten. Medlemsstaterna kan även tillåta kopplingsförbehåll om kreditgivaren kan visa för sin behöriga myndighet att de kopplade produkter eller produktkategorier som erbjuds resulterar i en klar fördel för konsumenterna, med vederbörligt beaktande av tillgången på och priserna för de relevanta erbjudna produkterna på marknaden. (Artikel 12.2 och 12.3) 

Medlemsstaterna kan tillåta kreditgivare att kräva att konsumenten har en relevant försäkring med anknytning till kreditavtalet. I sådana fall ska kreditgivaren godta en försäkring från en annan leverantör än kreditgivarens primära samarbetspartner, om en sådan försäkring har en garantinivå som motsvarar garantinivån hos den försäkring som kreditgivaren har föreslagit. (Artikel 12.4) 

Allmän information 

Enligt artikel 13 ska medlemsstaterna se till att kreditgivare eller anknutna kreditförmedlare eller deras utsedda representanter alltid tillhandahåller tydlig och övergripande allmän information om kreditavtal på papper eller annat varaktigt medium eller i elektronisk form. Sådan allmän information ska bl.a. inkludera uppgiftslämnarens identitet och geografiska adress, de ändamål för vilka krediten får användas, typ av säkerheter, kreditavtalets möjliga löptid, typer av tillgänglig kreditränta, en beskrivning av de villkor som direkt rör återbetalning i förtid samt ett representativt exempel på det sammanlagda kreditbeloppet, konsumentens sammanlagda kostnad för krediten, det sammanlagda belopp som ska betalas av konsumenten och den effektiva räntan. (Artikel 13.1) 

Medlemsstaterna kan dessutom förutsätta att kreditgivare ska ta med andra typer av varningar som är relevanta i en medlemsstat. (Artikel 13.2) 

Information som ska lämnas innan avtal ingås 

I artikel 14 föreskrivs om den anpassade information som kreditgivaren, kreditförmedlaren eller den utsedda representanten ska ge konsumenten för att han eller hon ska kunna jämföra de krediter som tillhandahålls på marknaden. Informationen ska ges utan onödiga dröjsmål efter det att konsumenten har lämnat de nödvändiga uppgifterna om sina behov, sin ekonomiska situation och sina preferenser samt i god tid innan konsumenten blir bunden av ett kreditavtal eller ett erbjudande om kreditavtal. Den anpassade informationen ska tillhandahållas genom blanketten ”Standardiserat EU-faktablad” i bilaga II. (Artikel 14.1 och 14.2) 

Ett erbjudande som är bindande för kreditgivaren ska tillhandahållas konsumenten på papper eller annat varaktigt medium och åtföljas av blanketten ”Standardiserat EU-faktablad”, om inte konsumenten har fått den redan tidigare eller om villkoren för erbjudandet avviker från uppgifter som tidigare lämnats på blanketten. Medlemsstaterna kan föreskriva att det är obligatoriskt att tillhandahålla det standardiserade EU-faktabladet innan ett erbjudande som är bindande för kreditgivaren lämnas. (Artikel 14.3 och 14.4) 

Medlemsstaterna ska ange en tidsperiod på minst sju dagar då konsumenten får tillräcklig tid att jämföra erbjudandena, bedöma deras konsekvenser och fatta ett välgrundat beslut. Tidsperioden ska antingen innebära en betänketid innan kreditavtalet ingås eller en period för utövande av ångerrätt efter det att kreditavtalet ingåtts eller en kombination av de båda alternativen. (Artikel 14.6) 

Kreditgivaren, kreditförmedlaren eller den utsedda representanten ska ge konsumenten en kopia av utkastet till kreditavtal i samband med att ett erbjudande som är bindande för kreditgivaren lämnas, åtminstone om konsumenten inte har ångerrätt. Om konsumenten har ångerrätt ska kreditgivaren, kreditförmedlaren eller den utsedda representanten erbjuda sig att lämna konsumenten en kopia av utkastet till kreditavtal i samband med att ett erbjudande som är bindande för kreditgivaren lämnas. (Artikel 14.11) 

Informationskrav på kreditförmedlare och utsedda representanter 

I artikel 15 föreskrivs om den information som kreditförmedlaren eller den utsedda representanten ska ge konsumenten i god tid innan några kreditförmedlingsaktiviteter utförs. Informationen ska ges konsumenten på papper eller i någon annan varaktig form. (Artikel 15.1) 

Kreditförmedlare som inte är anknutna men som får provision från en eller flera kreditgivare ska på konsumentens begäran uppge om provisionerna varierar som olika kreditgivare ska betala för kreditavtal som erbjuds konsumenten. Konsumenten ska underrättas om att denne har rätt att begära sådan information. Om kreditförmedlaren tar ut en avgift av konsumenten och dessutom får provision från kreditgivaren eller en tredje part, ska kreditförmedlaren informera konsumenten om huruvida provisionen kommer att räknas av mot avgiften. (Artikel 15.2 och 15.3) 

Tillräckliga förklaringar  

Kreditgivare och kreditförmedlare eller utsedda representanter ska ge konsumenterna tillräckliga förklaringar om erbjudna kreditavtal och eventuella kompletterande tjänster, så att konsumenterna kan bedöma om de föreslagna kreditavtalen och de kompletterande tjänsterna lämpar sig för deras behov och ekonomiska situation. I förklaringarna ska särskilt anges  

den förhandsinformation som ska lämnas enligt artiklarna 14 och 15, de föreslagna produkternas huvudsakliga egenskaper, de specifika effekter de föreslagna produkterna kan leda till för konsumenten samt huruvida varje komponent i paketet kan avslutas separat, om de kompletterande tjänsterna paketerats ihop med ett kreditavtal. (Artikel 16.1) 

Skyldighet att kostnadsfritt tillhandahålla konsumenterna information 

Enligt artikel 8 ska medlemsstaterna, när information ges till konsumenterna i överensstämmelse med kraven i direktivet, säkerställa att den informationen tillhandahålls utan kostnad för konsumenten. 

Beräkning av den effektiva räntan 

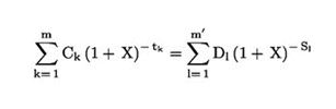
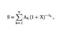
I artikel 17 föreskrivs om beräkning av den effektiva räntan, omständigheter som ska beaktas då den sammanlagda kreditkostnaden bestäms och de antaganden som ska användas vid beräkningen av den effektiva räntan. Den effektiva räntan ska beräknas i enlighet med den matematiska formel som anges i direktivets bilaga I. Konsumentens sammanlagda kreditkostnad, som ska bestämmas för beräkningen av den effektiva räntan innefattar även kostnader för kompletterande tjänster till kreditavtalet, såsom försäkringspremier, om även tecknande av ett tjänsteavtal är obligatoriskt för att erhålla krediten eller för att erhålla den på de villkor som angavs i marknadsföringen (artikel 4.13).  

I artikeln föreskrivs också om den information som ska ges konsumenten genom det standardiserade EU-faktabladet när det enligt kreditavtalet tillåts variationer i krediträntan samt i fråga om kreditavtal där en fast kreditränta fastställs för minst de fem första åren av låneperioden. 

Skyldighet att bedöma konsumentens kreditvärdighet 

Medlemsstaterna ska säkerställa att kreditgivaren innan kreditavtal ingås gör en grundlig bedömning av konsumentens kreditvärdighet. De förfaranden och den information som bedömningen grundar sig på ska fastställas, dokumenteras och bevaras. (Artikel 18.1 och 18.2) 

Bedömningen av kreditvärdighet ska grundas på information om konsumentens inkomster och utgifter och andra finansiella och ekonomiska förhållanden som är nödvändig, tillräcklig och proportionell. Informationen ska erhållas av kreditgivaren från relevanta interna och externa källor, inbegripet konsumenten. Informationen ska kontrolleras på lämpligt sätt. (Artikel 20.1) 

Kreditgivaren får endast tillhandahålla konsumenten kredit om bedömningen av konsumentens kreditvärdighet tyder på att de skuldförbindelser som följer av kreditavtalet kommer att kunna återbetalas på det sätt som krävs enligt det avtalet. Om kreditansökan avslås ska kreditgivaren utan dröjsmål underrätta konsumenten om avslaget. Om beslutet grundar sig på automatisk behandling av uppgifter ska konsumenten underrättas även om detta. Om avslaget grundar sig på resultatet från en databassökning ska kreditgivaren underrätta konsumenten om resultatet av sökningen och om den databas där sökningen skett. (Artikel 18.5) 

Bestämmelser om bedömning av kreditvärdighet finns förutom i direktivet även i Europeiska bankmyndighetens riktlinjer (EBA/GL/2015/11). 

Fastighetsvärdering 

Medlemsstaterna ska säkerställa att tillförlitliga standarder för värdering av fast egendom för bostadskrediter utarbetas på deras territorium. Kreditgivarna ska se till att dessa standarder används när de gör en fastighetsvärdering eller att de vidtar rimliga åtgärder för att se till att dessa standarder tillämpas när en värdering görs av en tredje part. Interna och externa värderare som utför fastighetsvärderingar ska ha yrkeskompetens och vara tillräckligt oberoende av kreditriskbedömningsprocessen. (Artikel 19) 

Åtkomst till databaser 

Kreditgivare från alla medlemsstater ska ha åtkomst till de databaser som används i respektive medlemsstat för att bedöma konsumenters kreditvärdighet och med enda syftet att övervaka konsumenters fullgörande av kreditvillkoren under kreditavtalets löptid. Villkoren för åtkomst ska vara icke-diskriminerande. (Artikel 21) 

Standarder för rådgivningstjänster 

Medlemsstaterna ska säkerställa att kreditgivaren, kreditförmedlaren eller den utsedda representanten i samband med en viss transaktion uttryckligen underrättar konsumenten om huruvida rådgivningstjänster tillhandahålls eller kan tillhandahållas konsumenten. Innan rådgivningstjänster tillhandahålls eller innan avtal om rådgivningstjänster ingås ska kreditgivaren, kreditförmedlaren eller den utsedda representanten underrätta konsumenten om huruvida rekommendationen grundas på enbart deras eget produktsortiment eller på ett brett produktutbud från hela marknaden. Konsumenten ska också underrättas om den avgift som ska betalas av konsumenten för rådgivningstjänsten eller om den metod med vilken avgiften beräknas. (Artikel 22.1 och 22.2) 

Medlemsstaterna får förbjuda användningen av termerna ”rådgivning” eller ”rådgivare” eller liknande, när rådgivningstjänster tillhandahålls konsumenten av kreditgivare, kreditförmedlare som är ombud för en eller flera kreditgivare eller av utsedda representanter för de sistnämnda. Om medlemsstaterna inte utnyttjar denna möjlighet ska de införa villkor i enlighet med direktivet för användningen av termen ”oberoende rådgivning” eller ”oberoende rådgivare” när kreditgivare, kreditförmedlare eller utsedda representanter tillhandahåller rådgivningstjänster. För att kreditgivare, kreditförmedlare eller utsedda representanter ska få uppge att de tillhandahåller oberoende rådgivning ska de bedöma ett tillräckligt stort antal kreditavtal på marknaden. De får inte heller ta emot ersättning från någon eller några kreditgivare för dessa rådgivningstjänster. Medlemsstaterna får dessutom införa striktare krav vad gäller användningen av dessa termer. (Artikel 22.4) 

Medlemsstaterna får fastställa en skyldighet för kreditgivare, kreditförmedlare och utsedda representanter att varna en konsument när ett kreditavtal kan medföra en särskild risk för konsumenten med tanke på konsumentens ekonomiska situation. (Artikel 22.5) 

Lån i utländsk valuta och krediter med rörlig ränta 

I artikel 23 föreskrivs om lån i utländsk valuta. I fråga om kreditavtal som gäller lån i utländsk valuta ska medlemsstaterna säkerställa att ett lämpligt regelverk införts när kreditavtalet ingås så att det minst garanteras att konsumenten har rätt att konvertera kreditavtalet till en alternativ valuta enligt särskilt angivna villkor eller att det finns andra arrangemang för att begränsa den valutakursrisk som konsumenten utsätts för i och med kreditavtalet. Om en konsument har ett lån i utländsk valuta ska kreditgivaren varna konsumenten med jämna mellanrum och på papper eller annat varaktigt medium åtminstone när det sammanlagda, fortfarande utestående belopp som ska betalas av konsumenten eller beloppet för de regelbundna amorteringarna skiljer sig med mer än 20 procent från vad det skulle ha varit om man hade tillämpat valutakursen mellan valutan för kreditavtalet och valutan i den medlemsstat som var tillämplig när kreditavtalet ingicks. 

Enligt artikel 24 om krediter med rörlig ränta ska index eller referensräntor som används för att beräkna krediträntan vara tydliga, tillgängliga, objektiva och kontrollerbara av kreditavtalets parter och de behöriga myndigheterna. Index för att beräkna krediträntorna ska dessutom registerföras av antingen tillhandahållarna av dessa index eller kreditgivarna. 

Förtidsåterbetalning 

Enligt artikel 25 har konsumenten rätt att helt eller delvis fullgöra sina förpliktelser enligt ett kreditavtal innan detta löper ut. Om konsumenten betalar tillbaka krediten i förtid har han eller hon rätt till en nedsättning av den sammanlagda kreditkostnaden. Denna nedsättning utgörs av räntan och kostnaderna under avtalets återstående löptid. Medlemsstaterna får ställa vissa villkor för utnyttjande av rätten till förtidsåterbetalning. (Artikel 25.1 och 25.2) 

Det får föreskrivas nationellt att kreditgivaren ska ha rätt till skälig och objektivt motiverad ersättning för eventuella kostnader med direkt koppling till förtidsbetalningen av krediten. Ersättningen får inte överstiga kreditgivarens finansiella förlust. Det får också föreskrivas nationellt att ersättningen inte ska överstiga en viss nivå eller endast ska tillåtas för en viss tidsperiod. (Artikel 25.3) 

Om en konsument vill återbetala sina skulder enligt ett kreditavtal innan detta löper ut, ska kreditgivaren utan dröjsmål efter det att begäran mottagits på papper eller annat varaktigt medium till konsumenten lämna den information som behövs för att bedöma detta alternativ. Om förtidsbetalningen infaller under en period där krediträntan är bunden får det föreskrivas nationellt att ett villkor för utövandet av rätten till förtidsbetalning ska vara att konsumenten har ett legitimt intresse av förtidsbetalningen. (Artikel 6.4 och 6.5) 

Flexibla och pålitliga marknader 

Medlemsstaterna ska ha lämpliga mekanismer på plats för att säkerställa att fordran på säkerheten kan drivas in av kreditgivare eller på deras vägnar. Kreditgivare ska föra lämpliga register över de fastighetstyper som godtas som säkerhet samt, kopplat till detta, vilken policy för tecknande av hypotekslån man tillämpar. Medlemsstaterna ska dessutom vidta de åtgärder som är nödvändiga för att säkerställa lämplig statistisk övervakning av bostadsmarknaden. (Artikel 26) 

Information om ändringar i krediträntan 

Kreditgivaren ska informera konsumenten om ändringar av krediträntan innan ändringen träder i kraft. I fråga om referensräntan kan det dock föreskrivas nationellt att parterna i kreditavtalet får komma överens om att informationen ska lämnas till konsumenten periodiskt. (Artikel 27) 

Försenad betalning och utmätning 

Medlemsstaterna ska införa åtgärder för att uppmuntra kreditgivare att medge skäliga anstånd innan utmätningsförfaranden inleds. Det kan också föreskrivas nationellt att avgifter p.g.a. betalningsförsummelse som kreditgivaren påför konsumenten inte får vara högre än vad som är nödvändigt för att ersätta kreditgivaren för de kostnader som denne ådragit sig till följd av betalningsförsummelsen. (Artikel 28.1 och 28.2) 

Medlemsstaterna får tillåta kreditgivare att påföra konsumenten ytterligare avgifter i händelse av betalningsförsummelse. Då ska en nationell övre gräns fastställas för avgiften. (Artikel 28.3) 

Medlemsstaterna får inte förhindra parterna i ett kreditavtal från att uttryckligen komma överens om att återlämnande eller överföring till kreditgivaren av säkerheten eller intäkter från försäljningen av säkerheten är tillräckligt för att återbetala krediten. (Artikel 28.4) 

Bestämmelser om försenad betalning och utmätning finns förutom i direktivet även i Europeiska bankmyndighetens riktlinjer (EBA/GL/2015/12).  

Godkännande av kreditförmedlare och indragning av godkännande 

I artikel 29 i föreskrivs om godkännande av kreditförmedlare. En behörig myndighet i kreditförmedlarens hemmedlemsstat måste godkänna kreditförmedlaren för att den ska kunna utöva kreditförmedlingsverksamhet enligt artikel 4.5 eller tillhandahålla rådgivningstjänster. En förutsättning för godkännande av kreditförmedlare är att de uppfyller vissa yrkesmässiga krav utöver de kunskaps- och kompetenskrav för personal som anges i artikel 9. Dessa yrkesmässiga krav gäller bl.a. ansvarsförsäkring eller jämförbar garanti samt att kreditförmedlarens ledning ska ha ett gott anseende och lämpliga kunskaper och kompetens om kreditavtal. (Artikel 29.1 och 29.2) 

Den behöriga myndigheten ska registrera alla godkända kreditförmedlare i deras hemmedlemsstat, oavsett om dessa är fysiska eller juridiska personer. Registret över kreditförmedlare ska uppdateras och finnas offentligt tillgängligt på nätet. (Artikel 29.4) Om en kreditförmedlare har fått godkännande av den behöriga myndigheten i sin hemmedlemsstat ska godkännandet gälla inom hela unionen. (Artikel 32) 

Den behöriga myndigheten i hemmedlemsstaten får dra in det godkännande som beviljats en kreditförmedlare bl.a. om kreditförmedlaren har blivit godkänd på grundval av oriktiga eller vilseledande uppgifter, inte längre uppfyller villkoren för godkännande eller allvarligt eller systematiskt har brutit mot de bestämmelser om villkor för kreditförmedlares verksamhet som antagits i enlighet med direktivet. (Artikel 33) 

Bestämmelser om den information som hemmedlemsstatens behöriga myndigheter ska förse värdmedlemsstatens behöriga myndigheter med finns förutom i direktivet även i Europeiska bankmyndighetens riktlinjer (EBA/GL/2015/19). 

Kreditförmedlare som är ombud för en enda kreditgivare 

I artikel 30 föreskrivs om medlemsstaternas möjlighet att låta de behöriga myndigheterna godkänna en kreditförmedlare som är ombud för endast en kreditgivare genom den kreditgivare för vars räkning kreditförmedlaren agerar. I sådana fall ska kreditgivaren förbli fullt och villkorslöst ansvarig för varje handling eller underlåtenhet från den anknutna kreditförmedlarens sida, när denna agerar för kreditgivarens räkning. Dessutom ska kreditgivaren se till att sådana kreditförmedlare åtminstone uppfyller de yrkesmässiga kraven i artikel 29.2. Vidare ska kreditgivaren övervaka kreditförmedlarens verksamhet för att säkerställa att direktivet följs också i övrigt.  

Utsedda representanter 

I artikel 31 föreskrivs att medlemsstaterna får besluta att tillåta att en kreditförmedlare utser utsedda representanter. Om kreditförmedlaren tillåts utse utsedda representanter ska medlemsstaten upprätta ett offentligt register i vilket de utsedda representanter som är etablerade i medlemsstaten ska införas. 

Kreditförmedlaren ska säkerställa att de utsedda representanterna uppfyller åtminstone de yrkesmässiga kraven i artikel 29.2 i direktivet. Kreditförmedlaren ska dessutom övervaka sina utsedda representanters verksamhet för att säkerställa att direktivet följs också i övrigt.  

Övervakning av kreditförmedlare och utsedda representanter 

Huvudregeln är att de behöriga myndigheterna i hemmedlemsstaten ska övervaka kreditförmedlarnas verksamhet. (Artikel 34.1) 

De behöriga myndigheterna i medlemsstaterna där en kreditförmedlare har en filial ska dock ansvara för att de tjänster som kreditförmedlaren tillhandahåller på dess territorium uppfyller kraven i vissa artiklar i direktivet och i nationella bestämmelser som antagits i enlighet med dessa artiklar. Om de behöriga myndigheterna i en värdmedlemsstat visar att en kreditförmedlare som har en filial inom landets territorium bryter mot dessa bestämmelser ska myndigheterna kräva att kreditförmedlaren upphör att bryta mot bestämmelserna och vidta lämpliga åtgärder för att säkerställa detta. Myndigheten i värdmedlemsstaten har rätt att granska verksamhetsformerna vid filialen och begära att de ändringar görs som är nödvändiga för fullgörandet av de ovannämnda skyldigheterna enligt direktivet. (Artikel 34.2 och 34.3) 

Om den behöriga myndigheten i värdmedlemsstaten på goda och påvisbara grunder finner att en kreditförmedlare som verkar på dess territorium enligt friheten att tillhandahålla tjänster bryter mot skyldigheterna enligt direktivet eller att en kreditförmedlare som har en filial bryter mot bestämmelserna i direktivet, förutom de som anges i punkt 2 i artikeln, ska den meddela den behöriga myndigheten i hemmedlemsstaten dessa undersökningsresultat. Om hemmedlemsstaten underlåter att vidta åtgärder inom en månad från det att undersökningsresultaten mottagits eller om en kreditförmedlare trots åtgärder vidtagna av hemmedlemsstaten fortsätter att agera på ett sätt som klart strider mot värdmedlemsstatens konsumenters intresse eller en väl fungerande marknad får myndigheten i hemmedlemsstaten vidta de åtgärder som behövs. (Artikel 34.4) 

Om en kreditförmedlare som är godkänd i en medlemsstat har etablerat en filial inom en annan medlemsstats territorium får de behöriga myndigheterna i hemmedlemsstaten genomföra inspektioner på plats vid filialen i fråga, efter att ha underrättat de behöriga myndigheterna i värdmedlemsstaten. (Artikel 34.5) 

Godkännande och övervakning av andra tillhandahållare än kreditinstitut 

Enligt artikel 35 ska andra tillhandahållare än kreditinstitut omfattas av ett lämpligt godkännandeförfarande, som innefattar att en behörig myndighet registrerar och övervakar andra tillhandahållare än kreditinstitut. 

Kommissionens delegerade förordning om komplettering av direktiv 2014/17/EU 

Kommissionens delegerade förordning (EU) nr 1125/2014 om komplettering av Europaparlamentets och rådets direktiv 2014/17/EU vad avser tekniska standarder för tillsyn i fråga om minimibelopp för kreditförmedlares yrkesmässiga ansvarsförsäkring eller jämförbara garanti antogs den 19 september 2014. Förordningen gäller de yrkesmässiga ansvarsförsäkringar eller andra jämförbara garantier mot skadeståndsansvar på grund av fel eller försumlighet i verksamheten som kreditförmedlare ska ha enligt direktivet om bostadskrediter.  

Enligt artikel 1 i förordningen ska minimibeloppet avseende den för kreditförmedlare obligatoriska yrkesmässiga ansvarsförsäkring eller jämförbara garanti som avses i artikel 29.2 a första stycket i direktivet om bostadskrediter vara 460 000 euro för varje enskild skada och totalt 750 000 euro per kalenderår för alla skador. 

Nuläge

3.1  Lagstiftning och rättspraxis

3.1.1  3.1.1 Konsumentkrediter som har samband med bostadsegendom

Allmänt 

Näringsrättsliga bestämmelser om tillhandahållande av konsumentkrediter finns i lagen om registrering av vissa kreditgivare (747/2010). Med undantag av kreditinstitut, vissa andra instanser som nämns i lagen och pantlåneinrättningar får konsumentkrediter tillhandahållas endast av näringsidkare som är införda i det kreditgivarregister som administreras av Regionförvaltningsverket i Södra Finland. I praktiken tillhandahålls bostadskrediter enbart av kreditinstitut. Även andra konsumentkrediter som har samband med bostadsegendom tillhandahålls i praktiken nästan uteslutande av kreditinstitut.  

De viktigaste avtalsrättsliga bestämmelserna om konsumentkrediter finns i 7 kap. i konsumentskyddslagen (38/1978). Bestämmelserna i kapitlet är tvingande gentemot konsumenten (5 §). Med konsumentkredit avses en sådan kredit som en näringsidkare enligt avtal lämnar eller lovar att lämna en konsument som lån, betalningsanstånd eller som något annat motsvarande ekonomiskt arrangemang (1 §). Kapitlets bestämmelser gäller alla krediter som en näringsidkare lämnar en konsument oavsett för vilket ändamål krediten lämnas, om krediten är säkrad eller inte och om säkerheten består av realsäkerhet eller personlig borgen. Bestämmelserna tillämpas således också på sådana konsumentkrediter som har samband med bostadsegendom som hör till direktivets tillämpningsområde. Ett undantag utgör krediter som lämnas av pantlåneinrättningar, vilka omfattas av de särskilda bestämmelser som finns i lagen om pantlåneinrättningar (1353/1992) och inte av bestämmelserna i konsumentskyddslagen.  

Förmedling av konsumentkrediter som har samband med bostadsegendom förutsätter inte tillstånd, registrering eller annat förhandsmeddelande till myndigheterna innan verksamheten inleds. Vissa av bestämmelserna i 7 kap. i konsumentskyddslagen gäller även kreditförmedlare.  

Kompetenskrav som gäller kreditgivare och kreditförmedlare  

För att säkerställa kreditgivarnas tillförlitlighet och yrkeskompetens ställs vissa villkor för registreringen av dem. Anmälaren eller, om anmälaren är en juridisk person, den högsta ledningen ska ha sådan kännedom om kreditverksamhet som är nödvändig med beaktande av kreditverksamhetens art och omfattning. I lagen om registrering av vissa kreditgivare föreskrivs dessutom att kreditgivaren eller, om kreditgivaren är en juridisk person, den högsta ledningen ska se till att de personer som deltar i verksamheten har tillräcklig yrkeskompetens för uppgiften. (6 och 9 §)  

Kraven på ledningens tillförlitlighet och kompetens anges i kreditinstitutslagen (610/2014). Kreditinstitutets styrelsemedlemmar och de som hör till den verkställande ledningen ska ha sådana kunskaper om och erfarenheter av kreditinstituts affärsverksamhet och de risker som är förenade med den samt kunskaper om och erfarenheter av ledning som behövs med hänsyn till uppdraget samt med beaktande av verksamhetens art, omfattning och komplexitet (7 kap. 4 §). 

Enligt lagen om pantlåneinrättningar kan koncession beviljas en pantlåneinrättning under förutsättning att de uppgifter som erhållits om ägarnas och förvaltningspersonalens tillförlitlighet och lämplighet samt andra uppgifter bekräftar att pantlåneinrättningen kommer att ledas professionellt och tillförlitligt samt enligt sunda och försiktiga affärsprinciper och att pantlåneinrättningen i övrigt kommer att iaktta bestämmelserna i lagen om pantlåneinrättningar (5 §). 

I lagen anges inga kompetenskrav för kreditförmedlares ledning eller personal.  

Skyldigheter att lämna förhandsinformation  

I reklam för konsumentkrediter ska enligt 7 kap. 8 § i konsumentskyddslagen anges den effektiva räntan, krediträntan och övriga kreditkostnader, kreditbeloppet eller kreditgränsen, kreditavtalets löptid, kontantpriset på nyttigheten och eventuell handpenning, kreditbeloppet och kreditkostnaderna sammanlagt och antalet avbetalningar, om räntan för krediten, någon annan sifferuppgift som beskriver kostnaderna för krediten eller någon annan information om villkoren i kreditavtalet framgår av reklamen. Om en förutsättning för att krediten beviljas på marknadsförda villkor är att köparen ingår ett avtal om en försäkring eller en kompletterande tjänst ska även detta anges i reklamen. Kreditkostnader och effektiv ränta definieras i 7 kap. 6 §. Närmare bestämmelser om hur den effektiva räntan ska beräknas och om de antaganden som ska användas för detta finns i justitieministeriets förordning om den effektiva räntan på konsumentkrediter (824/2010). 

Enligt 7 kap. 9 § i konsumentskyddslagen ska konsumenten i god tid innan ett kreditavtal ingås, på blanketten "Standardiserad europeisk konsumentkreditinformation” ges information om bl.a. kreditgivaren, krediten och konsumentens rättigheter. I fråga om bostadskrediter kan förhandsinformation också ges i någon annan varaktig form än på blanketten.  

Bestämmelser om informationsskyldighet finns också i konsumentskyddslagens 6 a kap. 5—11 § som gäller distansförsäljning av finansiella tjänster och finansiella instrument. Enligt kapitlets 5 § ska konsumenten i god tid innan ett avtal om finansiell tjänst ingås ges viss information om näringsidkaren, den finansiella tjänst som bjuds ut, distansavtalet och rättsmedlen. Informationen ska ges på ett sätt som lämpar sig för det medel för distanskommunikation som används, den skall vara klar och begriplig och sådan att dess kommersiella syfte tydligt framgår. Enligt 11 § ska förhandsinformationen och avtalsvillkoren i god tid innan ett avtal ingås ges till konsumenten personligen, skriftligen eller elektroniskt på ett sådant sätt att konsumenten kan spara och återge dem i oförändrad form. Om avtalet på begäran av konsumenten ingås med hjälp av ett sådant medel för distanskommunikation att informationen och avtalsvillkoren inte kan ges till konsumenten i varaktig form innan avtalet ingås, ska informationen och avtalsvillkoren tillställas konsumenten i varaktig form utan dröjsmål efter det att avtalet har ingåtts. 

Närmare bestämmelser om informationsskyldighet finns i statsrådets förordning om den information som ska lämnas till en konsument om ett kreditavtal (789/2010). 

God kreditgivningssed 

Enligt konsumentskyddslagens 7 kap. 13 § som gäller god kreditgivningssed ska kreditgivaren handla ansvarsfullt vid kreditgivningen. En kredit får inte marknadsföras så att marknadsföringen tydligt bidrar till att försämra konsumentens förmåga att noggrant överväga krediten. Kreditgivningen får inte heller användas som huvudsakligt argument vid marknadsföring av andra konsumtionsnyttigheter. Vidare ska konsumenten ges en sådan tillräcklig och klar utredning innan kreditavtalet tecknas som gör det möjligt för konsumenten att bedöma om krediten är lämplig för hans eller hennes behov och ekonomiska situation. Vid betalningsdröjsmål ska konsumenten ges information och råd för att förhindra att betalningssvårigheter uppstår och informeras om hur situationer med betalningsoförmåga kan skötas. Bestämmelser om vilken typ av information som får användas som kreditupplysningar och ur vilka källor informationen får inhämtas finns i 6 § i kreditupplysningslagen (527/2007). 

Bestämmelser om bedömningen av konsumentens kreditvärdighet finns i 7 kap. 14 § i konsumentskyddslagen. Innan ett kreditavtal ingås ska kreditgivaren bedöma om konsumenten har förutsättningar att fullgöra sina skyldigheter enligt kreditavtalet. Bedömningen ska grundas på tillräckliga uppgifter om konsumentens inkomster och övriga ekonomiska omständigheter. Vid överenskommelse om att höja kreditbeloppet eller kreditgränsen ska kreditgivaren försäkra sig om att informationen är aktuell. Kreditgivaren ska bedöma konsumentens kreditvärdighet på nytt om kreditbeloppet eller kreditgränsen höjs avsevärt.  

Enligt 7 kap. 15 § ska kreditgivaren noggrant kontrollera den sökandes identitet innan ett avtal om konsumentkredit ingås. Enligt 7 kap. 16 § ska de uppgifter som utgjort grund för kontrollen av den kreditsökande konsumentens identitet bevaras i fem år från det att krediten i dess helhet förfallit till betalning. 

Ingående av kreditavtal och överlämnande av medel 

Enligt 7 kap. 17 § i konsumentskyddslagen ska ett kreditavtal ingås skriftligen och konsumenten ska få ett exemplar av avtalet. I avtalet ska bl.a. anges parterna i kreditavtalet, avtalsvillkoren, villkoren för utövandet av ångerrätten och hur kreditavtalet kan sägas upp eller avslutas på annat sätt. Närmare bestämmelser om den information som ska anges i avtalet finns i statsrådets förordning om den information som ska lämnas till en konsument om ett kreditavtal. Ränta och avgifter som grundar sig på kreditförhållandet får inte tas ut av konsumenten, om det inte har överenskommits i kreditavtalet.  

Enligt 7 kap. 17 a § som gäller räntetak får kreditens effektiva ränta enligt kreditavtalet vara högst den referensränta som avses i 12 § i räntelagen (633/1982) utökad med 50 procentenheter, om kreditbeloppet eller kreditgränsen är under 2 000 euro. Paragrafen tillämpas dock på nyttighetsbundna krediter endast om konsumenten med stöd av kreditavtalet också har rätt att ta ut penningmedel. 

Om en konsumentkredit söks och beviljas mellan klockan 23 och 7, får de med stöd av kreditavtalet beviljade medlen enligt 7 kap. 19 § betalas ut till konsumenten först efter klockan 7. Bestämmelsen tillämpas dock inte på en höjning av kreditgränsen för en fortlöpande kredit. 

Utövande av ångerrätt 

Enligt 7 kap. 20 § i konsumentskyddslagen har konsumenten rätt att frånträda ett konsumentkreditavtal genom att meddela detta till kreditgivaren i varaktig form inom 14 dagar räknat från det att avtalet ingicks eller från den senare tidpunkt då konsumenten fick ett skriftligt eller elektroniskt exemplar av kreditavtalet. Om konsumenten frånträder avtalet får räntan på krediten krävas i ersättning av konsumenten för den tid som han eller hon kunnat förfoga över krediten. Kreditgivaren har rätt till ersättning av konsumenten även för avgifter som kreditgivaren har betalat till myndigheterna för att kreditavtalet ingåtts, om de inte återbetalas vid utövandet av ångerrätt. Ränta och avgifter får dock inte utkrävas om kreditgivaren inte på förhand har informerat konsumenten om betalningsskyldigheten eller ränte- och avgiftsbeloppet eller om grunderna för fastställandet av räntan.  

Om en kreditgivare tillhandahåller möjligheter till accessoriska tjänster i ett avtal som anknyter till ett konsumentkreditavtal, är ett sådant avtal enligt 21 § inte bindande för konsumenten när han eller hon utövar sin ångerrätt i fråga om kreditavtalet. Konsumenten är inte heller bunden av ett accessoriskt avtal i sådana fall där en tredje part tillhandahåller en accessorisk tjänst på grundval av en överenskommelse eller andra arrangemang mellan kreditgivaren och den tredje parten. Om konsumenten önskar att det accessoriska avtalet ska fortsätta att gälla trots att kreditavtalet frånträtts, ska konsumenten underrätta kreditgivaren om detta inom 30 dagar från det att meddelandet om utövandet av ångerrätten avsändes. 

De ovan beskrivna bestämmelserna om ångerrätt i 20 och 21 § tillämpas inte på bostadskrediter, utom i sådana fall där krediterna bjuds ut genom distansförsäljning eller hemförsäljning (3 § 2 mom.). I stället för ovannämnda ersättningsbelopp har kreditgivaren rätt att som ersättning kräva den effektiva räntan för krediten för den tid som konsumenten har kunnat förfoga över krediten, om konsumenten vid distansförsäljning frånträder ett bostadskreditavtal. 

Ändringar av ränta och avgifter medan kreditavtalet gäller 

Enligt 7 kap. 24 § i konsumentskyddslagen får det i avtalsvillkoren för en konsumentkredit anges att räntan på krediten förändras i enlighet med ändringarna av den referensränta som specificerats i avtalet. Den referensränta som tillämpas ska vara offentligt tillgänglig och den ska bygga på faktorer som är oberoende av kreditgivarens ensidiga bestämmanderätt. Ränteändringar ska göras jämlikt och utan att diskriminera konsumenter. Kravet på jämlikhet förutsätter att kreditgivaren inte gör ränteändringar så att kreditgivaren får ogrundad nytta på konsumentens bekostnad. Ränteändringarna ska t.ex. göras på samma sätt både nedåt och uppåt. (RP 24/2010 rd, s. 39.) 

Konsumenten ska i varaktig form underrättas om ändringar i räntan och få vissa uppgifter innan ändringarna träder i kraft. I samband med meddelandet ska delbetalningens belopp efter ränteändringen och aktuella uppgifter om betalningarnas antal och frekvens anges. I fråga om bostadskrediter ska konsumenten få aktuell information om sista betalningsdag i stället för om antalet betalningar. (paragrafens 2 mom.) 

De avgifter som tas ut på basis av kreditavtalet kan ändras endast på de grunder som anges i avtalet. Konsumenten ska också informeras om ändrade avgifter i varaktig form innan ändringen träder i kraft. (paragrafens 3 mom.) 

Förtidsåterbetalning 

Enligt 7 kap. 27 § i konsumentskyddslagen har konsumenten rätt att betala sin konsumentkredit eller en del av den före förfallodagen. Om konsumenten betalar krediten eller en del av den i förtid, ska från den återstående delen av kreditgivarens fordran avdras den del av kreditkostnaderna som gäller den outnyttjade kredittiden. Kreditgivaren får emellertid i sin helhet ta ut de faktiska kostnader för uppläggningen av krediten som anges i kreditavtalet. 

Enligt 28 § har kreditgivaren rätt till kompensation från konsumenten när konsumenten betalar en kredit eller en del av en kredit i förtid, om räntan för krediten inte har bundits till referensränta. Kreditgivaren har inte rätt till kompensation om det av krediten har betalats högst 10 000 euro i förtid under det senaste året, återbetalningen sker med stöd av en låneskyddsförsäkring, eller den kredit som återbetalas gäller ett kreditavtal som är knutet till ett brukskonto. Paragrafen tillämpas dock inte på bostadskrediter, utom i sådana fall där krediterna bjuds ut genom distansförsäljning eller hemförsäljning (3 § 2 mom.). 

Enligt 29 § får kreditgivaren kräva ut kompensation vid förtida betalning av bostadskredit om krediten är större än 20 000 euro och räntan är fast eller den period för vilken referensräntan bestäms är minst tre år. Som kompensation får kreditgivaren kräva ut högst ett belopp som motsvarar den förlust som uppkommer till följd av en sänkt räntenivå under den återstående kreditperioden med fast ränta eller under den period för vilken referensränta har fastställts. Finansinspektionen har utfärdat föreskrifter om hur maximibeloppet av ersättningen ska beräknas (Finansinspektionens föreskrifter och anvisningar 4/2011; Metoder för beräkning av maximibeloppet av den ersättning som kan krävas ut för förtida återbetalning av ett bolån). 

Bindningsförfarande och paketförsäljning  

Enligt konsumentskyddslagens 2 kap. 12 § om samerbjudanden och tilläggsförmåner ska erbjudandets innehåll och värde klart uppges vid marknadsföringen, om det bjuds ut konsumtionsnyttigheter till ett gemensamt pris eller utlovas att den som köper en konsumtionsnyttighet får en annan konsumtionsnyttighet till ett nedsatt pris eller får någon annan särskild förmån. I fråga om nyttigheter som bjuds ut till gemensamt pris ska dessutom uppges deras priser var för sig, om inte priset på en nyttighet är lägre än tio euro när den skaffas separat. I marknadsföringen ska dessutom uppges villkoren för utnyttjande av erbjudandet, i synnerhet hur länge erbjudandet gäller och begränsningarna i fråga om mängd samt andra begränsningar. 

Kreditinstitut som tillhandahåller krediter ska också följa bestämmelserna i kreditinstitutslagen. Enligt 15 kap. 3 § i den lagen får ett kreditinstitut i sin verksamhet inte använda avtalsvillkor som inte har samband med kreditinstitutets verksamhet eller som med hänsyn till innehållet, parternas ställning eller förhållandena ska anses vara oskäliga från kundens synpunkt. Ett avtalsvillkor ska alltid anses vara oskäligt, om förvärv eller bruk av produkter som faller utanför kreditinstitutets verksamhetsområde, enligt en helhetsbedömning ur kundens synvinkel på ett osakligt sätt påverkar kundens kreditmöjligheter, ett avtals giltighetstid eller övriga avtalsvillkor eller om kundens rätt att ingå avtal med någon annan näringsidkare begränsas. Marknadsföringen av samerbjudanden ska dessutom ske i enlighet med bestämmelserna om marknadsföring i kreditinstitutslagens 15 kap. 2 §. 

Skydd för konsumenter med betalningssvårigheter 

Bestämmelser om skydd för konsumenter med betalningssvårigheter finns i flera lagar. De viktigaste av dessa är bestämmelserna om god kreditgivningssed och om förutsättningarna för tidigareläggande av förfallodagen för en kredit i 7 kap. i konsumentskyddslagen, om pantsättning av lös egendom i handelsbalken (3/1734), om dröjsmålsräntans belopp i räntelagen, om indrivning av konsumentfordringar i lagen om indrivning av fordringar (513/1999) samt bestämmelserna om skydd för gäldenären i utsökningsbalken (705/2007). 

Enligt konsumentskyddslagens 7 kap. 13 § som gäller god kreditgivningssed ska kreditgivaren bl.a. förhålla sig ansvarsfullt till betalningsarrangemang. I konsumentskyddslagens 7 kap. 33 § som gäller påföljder vid konsumentens avtalsbrott anges villkor för när kreditgivaren får tidigarelägga förfallodagen för en kredit eller införa någon annan särskild påföljd till följd av konsumentens dröjsmål med betalningen eller på grund av något annat avtalsbrott. I regel kan kreditgivaren emellertid inte vidta dessa åtgärder om det är fråga om dröjsmål med betalningen och dröjsmålet orsakas av konsumentens sjukdom eller arbetslöshet eller av någon annan därmed jämförbar omständighet (34 §).  

Bestämmelserna om pantsättning av lös egendom i 10 kap. i handelsbalken tillämpas t.ex. på aktier i ett bostadsaktiebolag som lämnats som säkerhet för en bostadskredit. Kapitlet innehåller bestämmelser bl. a. om villkor för försäljning av pant, hur panten bevaras, vidare pantsättning och pantinnehavarens skadeersättningsansvar vid försummelse av iakttagandet av de bestämmelser som gäller försäljning av pant.  

Enligt handelsbalken är ett villkor för försäljning av pant att fordran förfallit och pantägaren därefter har underrättats om att panten säljs såvida inte fordran betalas inom en viss tid, minst en månad efter underrättelsen. Ett ytterligare villkor är att den tid som har angivits i underrättelsen har löpt ut utan att fordran har betalts. Om panten består av aktier som berättigar till besittning av en lägenhet som används som bostad för pantägaren, ska denne beredas en tid om minst två månader för betalning av fordran, räknat från underrättelsen. När pant säljs ska också pantägarens intresse beaktas. (10 kap. 2 §) 

I lagen om indrivning av fordringar finns bestämmelser om indrivning av fordringar som förfallit till betalning samt om övriga omständigheter som har samband med indrivningen och som påverkar parternas ställning i ett skuldförhållande. I 10 a § som gäller maximibelopp för indrivningskostnader i samband med konsumentfordringar föreskrivs om de belopp som högst får krävas av gäldenären för vissa indrivningsåtgärder. Vid indrivning av konsumentfordringar tillämpas också bl.a. lagens 10 b § om tidsgränser för indrivningsåtgärder. 

Av utsökningsbalkens bestämmelser som gäller bostadsegendom och skydd för gäldenären kan nämnas bestämmelserna om utmätningsordningen (4 kap. 24 §) och avvikelse från utmätningsordningen (4 kap. 25 §) samt om samägarens ställning vid försäljning av egendom som denne använder som sin stadigvarande bostad (5 kap. 83 §). Vid försäljning av egendom ska ett bra resultat eftersträvas, och vid valet av försäljningssätt ska beaktas det pris som kan erhållas, försäljningskostnaderna och den tid som går åt till försäljningen (5 kap. 2 §). Det högsta budet vid auktion på en fastighet eller värdefull lös egendom får inte godkännas, om budet klart understiger gängse pris för egendomen (5 kap. 23 §). 

Bestämmelser om kreditförmedling  

De skyldigheter att lämna förhandsinformation som föreskrivs i 7 kap. i konsumentskyddslagen tillämpas förutom på kreditgivare även på kreditförmedlare. Även 13 § som gäller god kreditgivningssed tillämpas på kreditförmedlare, bortsett från de undantag som anges i 3 mom. På kreditförmedlare tillämpas dessutom 48 § om information om behörighet och 49 § om avgifter som tas ut av konsumenten.  

Tillsynsmyndigheter 

Register- och tillsynsmyndighet enligt lagen om registrering av vissa kreditgivare är regionförvaltningsverket i Södra Finland. I 10 a, 10 b, 11 och 12 § i lagen om registrering av vissa kreditgivare föreskrivs om regionförvaltningsverkets befogenheter när en kreditgivare bryter mot sina skyldigheter enligt lagen. I sista hand kan en kreditgivares brott mot de lagstadgade skyldigheterna leda till att denne avförs ur kreditgivarregistret, vilket innebär att näringsidkaren inte längre får tillhandahålla konsumentkrediter. 

Tillsynen över att bestämmelserna i 7 kap. i konsumentskyddslagen följs utövas enligt 51 § i den lagen av konsumentombudsmannen och Konkurrens- och konsumentverket och av regionförvaltningsverken såsom distriktsförvaltningsmyndigheter underställda Konkurrens- och konsumentverket, samt av Finansinspektionen när kreditgivaren är ett av Finansinspektionens tillsynsobjekt. Kreditgivare och kreditförmedlare som bryter mot bestämmelserna i 7 kap. får enligt 50 § förbjudas att fortsätta eller upprepa sådant förfarande eller därmed jämförbart förfarande, om det med hänsyn till konsumentskyddet är nödvändigt. 

3.1.2  3.1.2 Person-till-person-lån

Det finns ingen officiell definition av begreppet person-till-person-lån. Vanligen används det dock för att beskriva lån mellan jämbördiga personer eller företag. Relevanta ur ett konsumentskyddsperspektiv är i synnerhet sådana krediter där en näringsidkare (förmedlare av person-till-person-lån) fungerar som förmedlare och möjliggör ett låneförhållande mellan två privatpersoner. Om näringsidkaren endast fungerar som förmedlare i ett kreditförhållande mellan två privatpersoner och inte som kreditgivare enligt bestämmelserna i 7 kap. i konsumentskyddslagen, ska dessa inte tillämpas på kreditförhållandet. Då tillämpas inte heller bestämmelserna om kreditförmedling i 7 kap. På förmedling av person-till-person-lån genom distansförsäljning tillämpas bestämmelserna i konsumentskyddslagens 6 a kap. om distansförsäljning av finansiella tjänster och finansiella instrument.  

I praktiken har det i fråga om vissa aktörer varit oklart om företaget fungerar som kreditförmedlare, som det uppgett, eller de facto som en kreditgivare som avses i konsumentskyddslagen. I vissa fall har konsumentmyndigheterna och domstolarna ansett att det i själva verket har varit fråga om beviljande av konsumentkredit, vilket omfattas av bestämmelserna om konsumentkrediter i konsumentskyddslagens 7 kap. (t.ex. konsumentombudsmannens beslut KKV/2928/14.08.01.05/2014 och Rovaniemi hovrätts beslut RHO:2014:7).  

3.2  Internationell utveckling och utländsk lagstiftning

3.2.1  3.2.1 Bestämmelser om ändring av ränta och avgifter i de övriga nordiska länderna

Sverige 

Enligt 17 § i den gällande svenska konsumentkreditlagen (2010:1846) får räntesatsen ändras endast om det har avtalats. Räntesatsen får ändras till konsumentens nackdel endast i den utsträckning som det motiveras av kreditpolitiska beslut, ökade upplåningskostnader för kreditgivaren eller andra kostnadsökningar som kreditgivaren inte skäligen kunde förutse när avtalet ingicks. Vid kredit som är förenad med panträtt i  

fast egendom, tomträtt eller bostadsrätt eller liknande rätt har dock kreditgivaren, under vissa förutsättningar och om det finns förbehåll om det i avtalet, rätt att ändra räntan så att den motsvarar den ränta som kreditgivaren vid den tidpunkten allmänt tillämpar för nya krediter av motsvarande slag. Dessutom får räntesatsen ändras på visst sätt i anslutning till ändringar i referensräntan. Kreditgivaren är skyldig att tillämpa ett avtalsvillkor om ränteändringar på samma sätt till konsumentens förmån som till hans eller hennes nackdel.  

Enligt förarbetena till lagen (Regeringens proposition 1991/92:83, s. 116) avses med kreditpolitiska beslut alla offentligrättsliga beslut som direkt avser kreditmarknaden och därigenom påverkar kreditgivarnas kostnader. Sådana är t.ex. beslut om ändringar i kassakrav eller kapitalkrav. Med ökade upplåningskostnader för kreditgivaren avses främst uppgångar i det allmänna ränteläget, men även andra räntehöjningar som påverkar kreditgivarens upplåning ger rätt att höja räntan. Av villkoret om att räntan får höjas endast vid kostnadsökningar som inte kan förutses följer att kreditgivaren inte får kompensera sig genom räntehöjningar för vad som kan anses vara normal inflation.  

Kreditgivaren är enligt förarbetena till lagen skyldig att tillämpa samma principer vid räntesänkning som vid höjning av räntan. Detta krav gäller i fråga om storleken på ränteändringarna men innebär också att kreditgivaren är skyldig att agera lika snabbt för att sänka räntan som för att höja den. 

Enligt svenska Finansinspektionens allmänna råd om krediter i konsumentförhållanden (FFFS 2014:11) bör kreditgivaren när den ändrar räntan för en kredit med rörlig ränta ange skälen till ändringen om konsumenten begär det. Om krediträntan har höjts på grund av ökade upplåningskostnader, bör kreditgivaren ange skälen till kostnadsökningen om konsumenten begär det. 

Bestämmelser om avgifter som tas ut för krediten och ändring av dem finns i 18 § i konsumentkreditlagen, enligt vilken kredittagaren är skyldig att, utöver eller i stället för ränta, betala särskild ersättning för krediten endast om det har avtalats och om sådan ersättning avser kostnader som kreditgivaren har för krediten. Avgifter för krediten får ändras till konsumentens nackdel endast om det har avtalats och i den utsträckning som det motiveras av ökningar av de kostnader som ska täckas av avgifterna.  

Norge 

Enligt den gällande norska lagen om finansavtal (Lov om finansavtaler og finansoppdrag; nedan Finansavtaleloven, 1999—06—25 nr 46) får kreditgivaren inte förbehålla sig rätt att ensidigt ändra kreditvillkoren till nackdel för konsumenten, med undantag av höjning av räntesats, avgifter och andra kreditkostnader. Förutsättningarna för att ändringar kan göras ska anges i kreditavtalet. Villkoren i ett kreditavtal får endast ändras när det finns en saklig grund för det. (49 §) I motiveringen till lagen (NOU 1994:19, s. 101) konstateras att saklig grund för ändringar anses vara betydande ändringar i räntor, obligationsräntor eller den generella nivån på institutionens finansieringskostnader. 

Konsumenten ska underrättas om ensidiga ändringar av villkoren i ett kreditavtal innan ändringen träder i kraft. Av informationen ska framgå vad ändringen går ut på och beror på samt konsumentens rätt till förtidsbetalning och vilka kostnader utnyttjandet av denna rätt innebär för konsumenten. Ändringarna kan genomföras tidigast sex veckor efter att konsumenten har underrättats skriftligen. Kortare frist kan dock tillämpas när ändringen i räntesatsen sker som en följd av en väsentlig ändring i penningmarknadsräntan, obligationsräntan eller den generella nivån på institutionens finansieringskostnader. (Finansavtaleloven 50 §) 

Danmark 

Den gällande danska lagen om kreditavtal (Lov om kreditaftaler, LBK nr 347 af 02/04/2014) gör det möjligt att ändra räntan under ett kreditavtals löptid. I kreditavtalet ska anges förutsättningarna för ändring av låneräntan och de förfaranden som tillämpas vid ändringar (8 §). Kreditgivaren ska informera konsumenten om en ändring av krediträntan skriftligt eller på något annat varaktigt medium innan ändringen träder i kraft (9 §). 

Enligt en föreskrift om god sed för finansinstitut som trädde i kraft i november 2015 (Bekendtgørelse om god skik for finansielle virksomheder, BEK nr 729 af 12/05/2015) ska villkor för ändringar av räntan, provisioner eller andra avgifter i fortlöpande kundförhållanden anges tydligt i avtalet, och i dem ska anges de förhållanden i vilka en ändring kan göras. Ett finansiellt institut får i avtalsvillkoren inte ges rätt att göra godtyckliga ändringar. I fortlöpande kundförhållanden får räntor, provisioner eller andra avgifter inte ändras till kundens nackdel utan varsel, om inte ändringen beror på externa omständigheter som det finansiella institutet inte kan påverka. I fråga om bostadskrediter ska varseltiden för ändringar vara minst tre månader. Enligt föreskriften ska dessutom orsakerna till ändringarna anges i meddelandet. Varseltiderna gäller dock inte fall där ändringen beror på externa omständigheter som det finansiella institutet inte kan påverka. (6 §) 

3.2.2  3.2.2 Person-till-person-lån

Sverige 

Enligt den gällande svenska konsumentkreditlagen gäller lagen också kredit som lämnas eller erbjuds en konsument av någon annan än en näringsidkare, om krediten förmedlas av en näringsidkare som ombud för kreditgivaren (1 §). På sådana kreditförmedlare tillämpas bestämmelserna om god kreditgivningssed, informationsskyldighet, bedömning av kreditvärdighet och ingående av kreditavtal. I konsumentkreditlagen ingår dessutom särskilda bestämmelser om informationsskyldighet för alla kreditförmedlare bl.a. i fråga om kreditgivarens oberoende och avgifter som konsumenten ska betala till kreditförmedlaren för dennes tjänster (48 §). 

Även vissa näringsrättsliga författningar kan bli tillämpliga på förmedlare av person-till-person-lån. Beroende på verksamhetens natur kan förmedlare av person-till-person-lån omfattas av tillstånds- eller registreringskrav enligt lagen om bank- och finansieringsrörelse (2004:297), lagen om betaltjänster (2010:75), lagen om viss verksamhet med konsumentkrediter (2014:275) eller lagen om anmälningsplikt avseende viss finansiell verksamhet (1996:1006). 

Norge 

Den norska lagen om finansavtal tillämpas i regel endast på avtal och uppdrag om finansiella tjänster med finansiella institut eller liknande institutioner (1 §). Bestämmelserna i lagen om finansavtal gäller inte kreditförhållanden mellan två privatpersoner ens i de fall där krediten förmedlas av en näringsidkare.  

Danmark 

Den gällande danska lagen om kreditavtal tillämpas på kreditavtal där kreditgivaren lämnar eller lovar att lämna kredit till en konsument (1 §). Bestämmelserna i lagen om kreditavtal gäller inte kreditavtal mellan två privatpersoner ens i de fall där krediten förmedlas av en näringsidkare. 

3.3  Myndighetsanvisningar och självreglering

Finansinspektionen har utfärdat föreskrifter eller rekommendationer om konsumentkrediter eller särskilt bostadskrediter i flera olika standarder, av vilka de viktigaste är följande:  

- Hantering av kreditrisker (standard 4.4a), 

- Metoder för beräkning av maximibeloppet av den ersättning som kan krävas ut för förtida återbetalning av ett bolån (föreskrifter och anvisningar 4/2011),  

- Marknadsföring av finansiella tjänster och produkter (föreskrifter och anvisningar 15/2013), 

- Uppföranderegler för tillhandahållande av finansiella tjänster (föreskrifter och anvisningar 16/2013), 

- Hantering av operativa risker i företag under tillsyn inom finanssektorn (föreskrifter och anvisningar 8/2014), 

Även konsumentombudsmannen har utfärdat följande riktlinjer som gäller tillhandahållande av konsumentkrediter: 

- Betalning och fakturering (år 2008, uppdaterad 2010), 

- Konsumentkrediter vid marknadsföring av varor och tjänster (2013), 

- Prisinformation om varor och tjänster (2014), 

- God sed vid indrivning av konsumentfordringar (2014).  

De regler för god banksed som utfärdats av Finansbranschens Centralförbund rf (nedan FC) har central betydelse för självregleringen i samband med kreditgivning. Anvisningar har också utfärdats bl.a. om banksekretess och behandling av personuppgifter.  

Bedömning av nuläget

4.1  Allmänt

Bestämmelserna om konsumentkrediter behöver revideras för att bestämmelserna i direktivet om bostadskrediter ska kunna genomföras. I samband med genomförandet av direktivet är det också nödvändigt att se till att det inte uppstår skillnader mellan bestämmelserna om krediter på vilka direktivet om bostadskrediter ska tillämpas och bestämmelserna om andra konsumentkrediter, såvida det inte finns grundad anledning till detta. Vissa bestämmelser om konsumentkrediter behöver ses över också med anledning av utvecklingen på kreditmarknaden och för att eliminera tolkningsoklarheter i anslutning till de gällande bestämmelserna.  

4.2  Ändringsbehov som följer av direktivet

Det viktigaste ändringsbehovet i anslutning till de avtalsrättsliga bestämmelserna om konsumentkrediter gäller ibruktagandet av det standardiserade EU-faktabladet, som är avsett att göra det lättare för konsumenten att jämföra bostadskrediter som tillhandahålls av olika kreditgivare. Det finns också behov att se över bland annat kreditgivarens skyldighet att bedöma konsumentens kreditvärdighet innan kreditavtal ingås, värderingen av egendom som ställs som säkerhet för en kredit, fastställandet av principerna för beviljande av kredit och beviljandet av kredit till konsumenter, tillhandahållandet av rådgivningstjänster samt krediter i utländsk valuta.  

I fråga om de näringsrättsliga bestämmelserna hänför sig det största revideringsbehovet till kreditgivare som förmedlar konsumentkrediter som har samband med bostadsegendom. De enda som får verka som sådan kreditförmedlare enligt direktivet är aktörer som godkänts av myndigheterna i förmedlarens hemstat och som uppfyller de yrkesmässiga krav som anges i direktivet. Bestämmelserna behöver också revideras för att säkerställa att kreditgivarens personal uppfyller de kompetenskrav som fastställs i direktivet.  

4.3  Nationella ändringsbehov

Kreditmarknaden har blivit allt mångsidigare och omfattar nuförtiden även företag som kallar sig person-till-person-låneföretag. Företagens verksamhetsmodeller har varierat, och i praktiken har det förekommit tolkningsproblem när det gäller vilka bestämmelser som ska tillämpas på dessa företags verksamhet, vilket klargörs ovan i avsnitt 3.1.2. I många fall har tillsynsmyndigheterna ansett att företagets verksamhet de facto kan jämställas med kreditgivning. I dessa fall har det ansetts att det är fråga om beviljande av konsumentkrediter, varvid också bestämmelserna i 7 kapitlet i konsumentskyddslagen ska tillämpas. Det är dock nödvändigt att skapa ett regelverk om denna typ av företag också i sådana fall där ett företag verkligen fungerar endast som kreditförmedlare mellan två privatpersoner och därmed möjliggör förmedling av s.k. person-till-person-lån.  

Regleringen om ändring av räntan och avgifterna medan kreditförhållandet gäller ändrades i samband med totalreformen av lagstiftningen om konsumentkrediter (746/2010; RP 24/2010 rd). De gällande bestämmelserna har gett upphov till tolkningsoklarheter särskilt när det gäller kreditgivarens rätt att ändra den ränta som tas ut på krediten på någon annan grund än en ändring i referensräntan. Eftersom i synnerhet bostadskreditavtal ofta är långsiktiga och betydande ur både konsumenternas och kreditgivarnas synvinkel är det motiverat att bestämmelserna klargörs.  

Målsättning och de viktigaste förslagen

5.1  Allmänt

Det huvudsakliga syftet med propositionen är att genomföra direktivet om bostadskrediter på nationell nivå. Bestämmelserna i direktivet motsvarar till sitt innehåll i huvuddrag bestämmelserna i 7 kap. i konsumentskyddslagen. Eftersom bestämmelserna i direktivet på detaljnivå ändå i många avseenden avviker från de gällande bestämmelserna, som rör alla konsumentkrediter, anses det vara tydligare att de konsumentkrediter som hör till direktivets tillämpningsområde regleras i ett separat nytt 7 a kap. i konsumentskyddslagen. Målet är dock att bestämmelserna om olika konsumentkrediter ska vara likadana så långt som det är möjligt med tanke på den relevanta EU-lagstiftningen, om det inte är motiverat att ha olika bestämmelser.  

Den mest betydande revideringen i anslutning till genomförandet av direktivet, utöver de ändringar som ska göras i konsumentskyddslagen, gäller kreditförmedlare som förmedlar konsumentkrediter som har samband med bostadsegendom. Det föreslås att förmedling av denna typ av krediter ska vara en näring som förutsätter registrering. Registreringen regleras i en separat lag. 

Avsikten är att bilaga I (beräkning av den effektiva räntan), bilaga II (standardiserat EU-faktablad) och bilaga III (minimikrav på kunskaper och kompetens) till direktivet, samt de detaljerade bestämmelserna om uppgifter som ska ingå i kreditavtalet, ska genomföras genom författningar på lägre nivå. Utkasten till dessa finns som bilaga till propositionen. 

I propositionen föreslås dessutom vissa ändringar som inte anknyter till genomförandet av direktivet. Den mest betydande av dessa ändringar är att förmedlingen av person-till-person-lån i lagstiftningen betraktas som en näring som förutsätter registrering på samma sätt som tillhandahållande av konsumentkrediter. Eftersom denna ändring förutsätter ändringar i de flesta bestämmelserna i lagen om registrering av vissa kreditgivare anses det vara ändamålsenligt att en ny lag stiftas. I konsumentskyddslagens 7 kap., som gäller konsumentkrediter, föreslås dessutom ändringar i fråga om person-till-person-lån.  

Vidare föreslås det att bestämmelserna ska förtydligas i fråga om kreditgivarens rätt att medan kreditförhållandet gäller ändra räntan på eller de avgifter som tas ut för en konsumentkredit.  

5.2  Förslag som gäller genomförandet av direktivet

Utövande av nationell beslutanderätt 

I enlighet med vad som konstaterats i avsnitt 2.1 har medlemsstaterna också i framtiden beslutanderätt vid regleringen av konsumentkrediter som har samband med bostadsegendom, eftersom direktivet i regel är ett minimidirektiv. Ett undantag utgör lämnande av uppgifter med hjälp av det standardiserade EU-faktabladet innan avtal ingås och beräkning av den effektiva räntan. I dessa fall får medlemsstaterna varken utfärda eller hålla i kraft sådana bestämmelser som avviker från direktivet. Vid beslut om tillämpning av nationell beslutanderätt har en väsentlig aspekt varit att det inte ska uppstå skillnader mellan bestämmelserna om krediter på vilka direktivet om bostadskrediter ska tillämpas och bestämmelserna om andra konsumentkrediter, såvida det inte finns grundad anledning till detta. Det är till fördel för både konsumenterna och kreditgivarna att bestämmelserna är så enhetliga som möjligt. Utnyttjandet av nationellt handlingsutrymme utreds noggrannare nedan i samband med varje sakfråga. 

Tillämpningsområdet för de nya bestämmelserna om konsumentkrediter som har samband med bostadsegendom 

Tillämpningsområdet för det föreslagna nya 7 a kap. i konsumentskyddslagen omfattar i första hand bostadskrediter. Med bostadskrediter avses konsumentkrediter som beviljas för förvärv av aktier eller andelar i sammanslutningar som ger rätt att besitta bostadslägenhet, för förvärv av en bostadsfastighet eller för förvärv av ett sådant bostadshus som är beläget på ett område som besitts med stöd av nyttjanderätt, eller för bevarande av äganderätten till ovannämnda objekt. För det andra omfattar kapitlets tillämpningsområde sådana andra konsumentkrediter för vilka ovan avsedd bostadsegendom ställs som säkerhet.  

Ur tillämpningsområdet för direktivet om bostadskrediter har uteslutits vissa typer av omvända bolån. Dessa krediter, liksom alla andra krediter som en näringsidkare tillhandahåller konsumenter, hör numera till tillämpningsområdet för 7 kap. i konsumentskyddslagen. Det har inte framkommit några grunder för att ändra rättsläget i detta avseende. Det föreslås att dessa krediter utesluts ur tillämpningsområdet för det nya 7 a kap. och att bestämmelserna i konsumentskyddslagens 7 kap. tillämpas på dem även i framtiden.  

Direktivet om bostadskrediter innehåller på samma sätt som konsumentkreditdirektivet ett stort antal undantag från tillämpningsområdet medan konsumentskyddslagens 7 kap. i regel tillämpas på alla krediter som en näringsidkare enligt avtal lämnar eller lovar att lämna en konsument som lån, betalningsanstånd eller som något annat motsvarande ekonomiskt arrangemang. Det föreslås att också det nya 7 a kap. ska ha ett omfattande tillämpningsområde. På samma sätt som i fråga om 7 kap. utesluts dock vissa typer av krediter som beviljas av pantlåneinrättningar ur tillämpningsområdet för det föreslagna 7 a kap. Dessa krediter är inte förknippade med personligt skuldansvar och medför därmed inte heller en likadan risk för överskuldsättning som andra konsumentkrediter. Bestämmelser som grundar sig på direktivet och som gäller bl.a. bedömningen av konsumentens kreditvärdighet behöver därför inte tillämpas på dessa krediter.  

Informationsskyldighet 

En ändring i fråga om konsumentkrediter som har samband med bostadsegendom är att kreditgivaren ska tillhandahålla tydlig och övergripande allmän information om de krediter de erbjuder på papper eller i elektronisk form. Skyldigheten gäller på det sätt som förutsätts i direktivet förutom kreditgivare även ombud för kreditgivare.  

Utöver den ovannämnda allmänna informationsskyldigheten innehåller direktivet bestämmelser om information som ska anges i reklam (artikel 11) och information som ska ges innan ett avtal ingås (artikel 14 och bilaga II till direktivet). Enligt direktivet kan en medlemsstat emellertid besluta att inte tillämpa denna informationsskyldighet på sådana kreditavtal som omfattas av direktivets tillämpningsområde och som ingås med annan avsikt än att förvärva eller behålla rätt till fast bostadsegendom, förutsatt att medlemsstaten tillämpar motsvarande bestämmelser i konsumentkreditdirektivet på dessa. Det är fråga om konsumentkrediter, till exempel billån, för vilka en bostadsfastighet eller aktier som ger rätt att besitta en bostadslägenhet lämnas som säkerhet. På dessa krediter tillämpas nuförtiden bestämmelserna i 7 kap. i konsumentskyddslagen, som bygger på konsumentkreditdirektivet. Inga omständigheter har framkommit som skulle göra det motiverat att ändra informationsskyldigheten i fråga om denna typ av konsumentkrediter. Eftersom sådana ändringar inte är motiverade med avseende på konsumentskyddet och skulle medföra kostnader för kreditgivarna, föreslås det att Finland utnyttjar den option som direktivet ger och bibehåller den ovannämnda informationsskyldigheten i fråga om dessa krediter utan ändringar.  

Även i reklam om bostadskrediter ska samma standardinformation ges som i dagens läge, bortsett från vissa enskilda tilläggsuppgifter. Det föreslås att informationen ska ges med hjälp av ett representativt exempel och att Finansinspektionen ska utfärda närmare föreskrifter om grunderna för sådana. Enligt direktivet ska standardinformationen ingå i sådan reklam där räntan på krediten eller något annat tal som beskriver de kostnader som tas ut för krediten anges. Medlemsstaten kan efter eget övervägande förutsätta att de uppgifter som anges i direktivet ska ges också i andra fall. Enligt förslaget ska uppgifterna ges också då reklamen innehåller annan information om villkoren för kreditavtalet, såsom kredittiden. I det sistnämnda avseendet motsvarar bestämmelserna den gällande lagen, och det har inte framkommit något som skulle motivera att konsumentskyddet i detta hänseende bör försvagas i samband med genomförandet av direktivet. Konsumenten får på så sätt en helhetsuppfattning om den marknadsförda krediten och en möjlighet att jämföra olika erbjudanden oberoende av om den enskilda uppgift med vilken krediten marknadsförs är en siffra som beskriver kostnaderna för krediten eller till exempel information om återbetalningstiden. 

Det föreslås att 7 a kap. i konsumentskyddslagen och statsrådets förordning som utfärdats med stöd av detta ska innehålla mer detaljerade bestämmelser om den information som kreditgivaren ska ge konsumenten innan avtal om bostadskredit ingås. Informationstidpunkten ska regleras i närmare detalj. Informationen ska ges utan obefogat dröjsmål efter att konsumenten har lämnat information om sina förväntningar och behov i anslutning till krediten och sin ekonomiska situation, och i god tid innan kreditavtalet ingås.  

Det blir obligatoriskt att lämna de föreskrivna uppgifterna på det standardiserade EU-faktabladet också i fråga om bostadskrediter. Syftet med detta är att göra det lättare för konsumenterna att jämföra kreditavtal som erbjuds av olika kreditgivare. Regleringen grundar sig på direktivet och är fullständigt harmoniserande. 

Det föreslås dessutom att den i lagen angivna informationen ska lämnas avgiftsfritt. Förslaget grundar sig på direktivet.  

Bindningsförfarande och paketförsäljning 

Enligt direktivet ska medlemsstaterna tillåta paketförsäljning men förbjuda bindningsförfarande. I Finland är paketförsäljning, t.ex. låneofferter där konsumenten utlovas en lägre lånemarginal om han eller hon samtidigt köper en annan finansiell tjänst av kreditgivaren, i princip redan tillåten, och direktivet behöver således inte genomföras separat till denna del. Däremot behövs nya bestämmelser om sådant bindningsförfarande som avses i direktivet, dvs. då ett kreditavtal erbjuds i paket med en annan finansiell produkt eller tjänst så att konsumenten inte kan ingå kreditavtal utan att också skaffa den andra tjänsten eller produkten. Bindningsförfarande begränsas i nuläget endast av 15 kap. 3 § i kreditinstitutslagen, som nämns i avsnitt 3.1.1. Det föreslås att en bestämmelse som förbjuder bindningsförfarande tas in i konsumentskyddslagen.  

Medlemsstaterna kan enligt direktivet föreskriva att kreditgivarna kan förutsätta att konsumenten eller en familjemedlem eller nära släkting till konsumenten ska öppna eller upprätthålla ett betal- eller sparkonto, köpa eller behålla en investeringsprodukt eller en privat pensionsprodukt eller ingå ett separat kreditavtal i anslutning till ett värderelaterat kreditavtal. Vidare kan medlemsstaterna även tillåta bindningsförfarande om kreditgivaren kan visa för den behöriga myndigheten att de kopplade produkterna resulterar i en klar fördel för konsumenterna, med vederbörligt beaktande av tillgången på och priserna för de relevanta erbjudna produkterna på marknaden. Bindningsförfarande gör det svårare att jämföra olika kreditgivares kreditprodukter och försämrar således konsumentens möjligheter att konkurrensutsätta olika kreditgivare. Av denna anledning föreslås att ingen av optionerna i direktivet ska tillämpas på nationell nivå.  

Direktivet förutsätter ett förbud mot bindningsförfarande i fråga om kreditavtal som hör till direktivets tillämpningsområde. Av konsumentskyddsskäl anses det ändå vara motiverat att förbudet mot bindningsförfarande gäller alla avtal om konsumentkrediter och inte endast sådana konsumentkreditavtal som hör till direktivets tillämpningsområde och som har samband med bostadsegendom. Det föreslås också att förbudet mot bindningsförfarande ska vara mer omfattande än förbudet i direktivet och inte gälla enbart finansiella instrument eller tjänster. Ett kreditinstitut får inte heller i nuläget med stöd av ovannämnda bestämmelse i kreditinstitutslagen ställa som villkor för erhållande av en kredit att den sökande ska teckna till exempel ett uppdragsavtal med en fastighetsförmedlingsrörelse som hör till samma koncern. Det har inte framkommit några grunder för att sänka nivån på konsumentskyddet till denna del.  

Lämnande av kredit 

Bestämmelser om bedömningen av konsumenters kreditvärdighet togs in i lagen år 2010 i samband med totalreformen av lagstiftningen om konsumentkrediter (lag 746/2010; RP 24/2010 rd, s. 15), och kreditgivarnas skyldigheter skärptes ytterligare år 2013 (lag 207/2013; RP 78/2012 rd, s. 11). De föreslagna nya bestämmelserna om konsumentkrediter som har samband med bostadsegendom motsvarar i princip de gällande bestämmelserna, men de är mer specifika och innehåller allmänna uppföranderegler som kreditgivarna ska följa. De bestämmelser som nu föreslås grundar sig på direktivet och bidrar till att säkerställa att kreditgivarna bedömer konsumenternas kreditvärdighet på ett adekvat sätt och att även tillsynsmyndigheterna har bättre möjligheter att övervaka att bestämmelserna iakttas.  

En ändring som föreslås är att kreditgivaren enligt lag ska slå fast de uppgifter som används för bedömning av konsumenternas kreditvärdighet samt förfarandena vid bedömningen. I fråga om kreditinstitut ingår motsvarande skyldighet redan i nuläget i Finansinspektionens standard om kreditriskhantering (standard 4.4a, avsnitt 5.4.1, punkt 19). Det föreslås också bestämmelser om kreditgivarens skyldighet att i varje enskilt fall för en bestämd tid spara uppgifter om åtgärder som har vidtagits för bedömning av konsumentens kreditvärdighet. Vidare föreslås bestämmelser för att säkerställa att konsumenterna får veta vilka uppgifter de ska lämna till kreditgivaren för bedömningen av kreditvärdigheten och vilka påföljder det kan leda till om uppgifterna inte lämnas in.  

Förutom bedömningen av kreditvärdigheten föreslås nya bestämmelser om säkerheterna för konsumentkrediter som har samband med bostadsegendom och bedömningen av dessa. Bestämmelserna grundar sig på direktivet och syftar till att säkerställa att bedömningen görs på ett adekvat sätt. Samtidigt har man försökt undvika att de nya bestämmelserna orsakar betydande tilläggskostnader för kreditgivarna, eftersom inga problem har förekommit i bedömningen av säkerheter i Finland.  

Enligt propositionen ska kreditgivaren i första hand ange vilka former av säkerhet som denne godtar som säkerhet för ett kreditavtal. Kreditinstituten ska redan nu ange säkerhetsformerna i enlighet med Finansinspektionens ovannämnda standard (avsnitt 5.4.2, punkt 28). Om aktier eller andelar i sammanslutningar som ger rätt att besitta en bostadslägenhet, en bostadsfastighet eller nyttjanderätt till en fastighet ställs som säkerhet ska kreditgivaren dessutom enligt förslaget se till att bedömningen utförs av en tillräckligt yrkeskunnig person och bygger på tillförlitliga bedömningsstandarder. Om bedömningen utförs av en person som är anställd hos kreditgivaren ska denna person vara tillräckligt oberoende av kreditgivningsprocessen. Propositionen innefattar också bestämmelser om att kreditgivaren är skyldig att bevara utförda bedömningar en bestämd tid. 

Det föreslås också nya uttryckliga bestämmelser om beviljande av kredit. Enligt gällande lag kan kreditgivningens lämplighet bedömas endast med stöd av generalklausulen om god kreditgivningssed. I de nya bestämmelserna konstateras att kreditgivaren ska ange enligt vilka principer kreditgivaren beviljar krediter. Denna skyldighet har kreditinstituten redan nu med stöd av Finansinspektionens ovannämnda standard (avsnitt 5.4, punkt 17). Det föreslås också att kreditgivaren ska få bevilja en konsument kredit endast om bedömningen av konsumentens kreditvärdighet visar att de skyldigheter som följer av ett kreditavtal sannolikt kommer att fullgöras på det sätt som avtalet förutsätter. De nya bestämmelserna minskar risken för att kredit beviljas till konsumenter som inte har ekonomiska förutsättningar att klara av att fullfölja kreditavtalet.  

De föreslagna bestämmelserna om beviljande av kredit grundar sig på direktivet, men det föreslås att de ska tillämpas på alla konsumentkrediter, och inte endast på krediter som hör till direktivets tillämpningsområde. Detta anses vara motiverat med tanke på de omständigheter som beskrivs ovan i avsnitt 1, i synnerhet det höga antalet anteckningar om betalningsstörningar och hushållens relativt höga skuldsättningsgrad, samt de risker som denna medför. Det väsentliga är inte att endast förebygga beviljande av vissa typer av konsumentkrediter till konsumenter som löper risk för att bli överskuldsatta, utan regleringen ska gälla beviljande av alla konsumentkrediter.  

Konsumentens rätt att ångra kreditavtalet och betala krediten i förtid 

Enligt direktivet ska medlemsstaterna ange en tidsperiod på minst sju dagar då konsumenten får tillräcklig tid att jämföra erbjudanden, bedöma deras konsekvenser och fatta ett välgrundat beslut. Tidsperioden ska innebära antingen en betänketid innan kreditavtalet ingås eller en period för utövande av ångerrätt efter det att kreditavtalet ingåtts eller en kombination av de båda alternativen. I propositionen föreslås att ångerrätten väljs av de alternativ som ges i direktivet, eftersom konsumenten redan nu har en sådan rätt vid distans- och hemförsäljning av alla krediter. Betänketid tillämpas inte i samband med något som helst konsumentavtal i nuläget, och det har inte heller ansetts finnas någon orsak att införa betänketid i fråga om konsumentkrediter som hänför sig till bostadsegendom. Ångerperiodens längd ska vara 14 dagar liksom i andra konsumentavtal.  

Bestämmelserna om konsumentens rätt till förtidsåterbetalning motsvarar i sak gällande lag. Den enda ändringen gäller sådana fall där kreditgivaren har rätt att få kompensation av konsumenten om denna betalar tillbaka en konsumentkredit som har samband med bostadsegendom helt eller delvis i förtid. Kreditgivaren ska då efter att ha mottagit en begäran om återbetalning i varaktig form sända konsumenten en kalkyl med uppgift om beloppet av den kompensation som krävs och de grunder och antaganden som använts vid beräkningen. Den föreslagna bestämmelsen grundar sig på direktivet. Ett annat faktum som talar för att bestämmelsen ska tas in i lagen är att konsumenterna när det gäller bostadskrediter i praktiken har haft svårt att bedöma om den kompensation som kreditgivaren kräver har beräknats på ett adekvat sätt. Till övriga delar har det inte ansetts vara motiverat att ändra de gällande bestämmelserna t.ex. genom att i enlighet med artikel 25.2 eller 25.5 ställa villkor för utövandet av rätten till förtidsåterbetalning. 

Rådgivningstjänster 

I propositionen föreslås nya bestämmelser om rådgivningstjänster. Direktivet ger medlemsstaterna möjlighet att välja mellan två regleringsmodeller. I enlighet med vad som nämns i avsnitt 2.2 får medlemsstaterna förbjuda användningen av termerna ”rådgivning” eller ”rådgivare” eller liknande, när rådgivningstjänster tillhandahålls konsumenten av kreditgivare eller kreditförmedlare som fungerar som ombud för kreditgivare. Om en medlemsstat inte förbjuder användningen av dessa termer ska den åtminstone införa de villkor för användningen av termerna ”oberoende rådgivning” eller ”oberoende rådgivare” som anges i direktivet. Det föreslås att den förstnämnda regleringsmodellen väljs: rätt att tillhandahålla rådgivningstjänster har endast kreditförmedlare under förutsättning att de inte är ombud för kreditgivare. Rådgivningstjänster får inte tillhandahållas av kreditgivare eller sammanslutningar som hör till deras närmaste krets. Tillhandahållare av rådgivningstjänster har inte heller rätt att ta emot arvoden av någon annan än en konsument. På så sätt strävar man efter att säkerställa att rådgivningstjänsten verkligen är oberoende. 

En kreditgivare och en kreditförmedlare som fungerar som ombud för denna ska enligt lagen ge uttömmande information om de krediter som tillhandahålls efter att konsumenten har lämnat information om sina förväntningar och behov i anslutning till krediten och sin ekonomiska situation. Vidare ska dessa aktörer ge en sådan tillräcklig och klar utredning som gör det möjligt för konsumenten att bedöma om krediten och de kompletterande tjänster som eventuellt erbjuds lämpar sig för hans eller hennes behov och ekonomiska situation. Med beaktande av omfattningen av dessa lagstadgade skyldigheter förblir det eventuella mervärdet av en kreditgivares och dess ombuds rådgivningstjänster begränsat, i synnerhet eftersom det inte är sannolikt att kreditgivaren eller dennes ombud i sina rådgivningstjänster skulle beakta också sina konkurrenters kreditprodukter och rekommendera att konsumenten väljer en annan kreditgivares kredit. Överlag måste det anses vara tveksamt huruvida de rekommendationer som kreditgivaren och dennes ombud ger i sista hand påverkas av en vilja att få nya kunder och styra konsumenten att välja en kredit som är fördelaktig för kreditgivaren. En annan sak som talar för att det förstnämnda regleringsalternativet ska väljas är att de olika aktörernas roller då förblir klara: kreditgivaren och dennes ombud är alltid i sista hand en försäljare av vissa kreditprodukter och inte en objektiv rådgivare. Den flytande gränsen mellan försäljning av egna produkter och rådgivning har i praktiken orsakat problem i utbudet av placeringsprodukter.  

I propositionen föreslås också bestämmelser om skyldigheten för den som tillhandahåller en rådgivningstjänst att lämna information innan rådgivningstjänsten tillhandahålls, om rådgivningstjänstens genomförande och om de villkor som ska uppfyllas för att en avgift för rådgivningstjänst ska kunna tas ut hos konsumenten. De föreslagna bestämmelserna grundar sig på bestämmelserna i direktivet, och i fråga om uttag av avgifter har därtill de gällande bestämmelserna om uttag av avgift för kreditförmedling i 7 kap. i konsumentskyddslagen beaktats.  

Krediter i utländsk valuta 

I propositionen föreslås nya bestämmelser om krediter i utländsk valuta. Med kredit i utländsk valuta avses konsumentkredit som har samband med bostadsegendom som lämnas i någon annan valuta än valutan i den EU- eller EES-stat där konsumenten är bosatt eller i någon annan valuta än valutan i den stat där konsumenten får sin utkomst eller där han eller hon har de tillgångar från vilka krediten ska återbetalas. Direktivenliga krediter i utländsk valuta kan således innebära även sådana krediter som beviljas i euro.  

Syftet med de särskilda bestämmelserna om krediter i utländsk valuta är att skydda konsumenten från ofördelaktiga effekter av valutakursfluktuationer. En medlemsstat kan genomföra skyddet genom att ge konsumenten rätt att få en kredit konverterad till en alternativ valuta eller genom att se till att konsumenten har tillgång till något annat arrangemang för att begränsa valutakursrisken. Enligt skäl 30 i ingressen till direktivet kan ett sådant annat arrangemang bestå till exempel av en varning till konsumenten. Det är också möjligt att låta kreditgivaren välja vilket skyddsalternativ som erbjuds konsumenten. Det anses vara motiverat att konsumenten i fråga om krediter i utländsk valuta som beviljats i annan valuta än euro med stöd av lag har rätt att när som helst få krediten konverterad till euro. I fråga om krediter i utländsk valuta som beviljats i euro föreslås däremot inte att konsumenten får en sådan rättighet, eftersom det ur kreditgivarens synvinkel inte kan anses som skäligt att kreditgivaren utan ett eget beslut kunde bli tvungen att hålla ett kreditavtal i kraft i en annan valuta än euro. Kreditgivaren ska i fråga om alla krediter i utländsk valuta i god tid innan kreditavtalet ingås varna konsumenten om en valutakursrisk som hänför sig till den kredit som tillhandahålls och ge information också om andra möjligheter att begränsa valutakursrisken.  

Utöver de ovan nämnda skyddsbestämmelserna föreslås det att kreditgivaren åläggs en skyldighet att medan kreditavtalet gäller meddela konsumenten om det återstående kreditbeloppet eller avbetalningarnas storlek avviker med ett visst belopp från vad de skulle vara om man tillämpade den valutaväxlingskurs som varit i kraft då kreditavtalet ingicks. De sistnämnda bestämmelserna grundar sig på bestämmelserna i direktivet. Det föreslås att man inte tillämpar den möjlighet att reglera lån i utländsk valuta ytterligare som nämns i artikel 23.5 i direktivet, eftersom dessa krediter inte har varit förknippade med problem i Finland.  

Kreditförmedlare 

I propositionen föreslås det att det stiftas en lag om förmedlare av konsumentkrediter som har samband med bostadsegendom. I lagen föreslås en registreringsskyldighet för näringsidkare som förmedlar sådana konsumentkrediter som har samband med bostadsegendom som hör till tillämpningsområdet för det nya 7 a kap. Registreringsskyldigheten ska inte gälla kreditinstitut som fungerar som kreditförmedlare. Enligt direktivet kan medlemsstaterna välja mellan ett auktoriseringssystem och ett registreringssystem. Eftersom kreditgivarna förutsätts registrera sig i Finland kan det anses vara logiskt att också ovan nämnda förmedlare omfattas av ett registreringskrav.  

I Finland verkar i nuläget veterligen inga sådana förmedlare av konsumentkrediter som har samband med bostadsegendom som omfattas av registreringsskyldigheten enligt direktivet. Av denna anledning anses det inte vara nödvändigt att utnyttja den i artikel 30 i direktivet angivna möjligheten för medlemsstaterna att underlätta registreringen för sådana förmedlare som fungerar som ombud för bara en kreditgivare. Likaså anses det inte heller vara nödvändigt att utnyttja den i artikel 31 angivna möjligheten att tillåta att kreditförmedlare utser utsedda representanter.  

Det föreslås att bestämda, direktivenliga villkor ställs för registreringen. Villkoren ska gälla förmedlarens eller, om förmedlaren är en juridisk person, dess lednings tillförlitlighet och kompetens. Ett villkor för registrering ska också vara att de personer som deltar i förmedlingsverksamheten och deras chefer har tillräcklig och för uppgiften ändamålsenlig kompetens och att förmedlaren har en ansvarsförsäkring eller annan säkerhet för ersättning av skador som orsakas av verksamheten. Denna försäkring eller säkerhet ska uppfylla de krav som avses i förordning nr 1125/2014, vilken nämns i avsnitt 2.2. Vad gäller det sistnämnda är kraven för registrering strängare än de registreringskrav som gäller kreditgivare. Det bör också nämnas att registreringsförfarandet enligt propositionen inte är förknippat med någon bedömning av ändamålsenlighet, utan registermyndigheten ska införa varje näringsidkare som uppfyller villkoren för registrering i ett register som är förenligt med den nya lagen.  

Enligt förslaget får förmedlare av konsumentkrediter som har samband med bostadsegendom inte ta emot kundmedel. Direktivet innehåller inga bestämmelser om kundmedel, men förbudet anses vara nödvändigt på nationell nivå för att konsumenternas ekonomiska trygghet ska säkerställas. Det är också osannolikt att kreditförmedlarna med tanke på sin verksamhet har ett nödvändigt behov att inneha t.ex. sådana lånemedel som tillhör kunden och som beviljats med stöd av ett avtal om bostadskredit. 

Det anses vara ändamålsenligt att de direktivenliga avtalsrättsliga bestämmelserna om kreditförmedlarens informationsskyldigheter, dennas rätt att ta ut en avgift för kreditförmedlingen av konsumenten samt genomförandet av kreditförmedlingstjänsten tas in i det nya 7 a kap. i konsumentskyddslagen.  

Krav på kreditgivarnas yrkeskompetens 

I propositionen föreslås nya bestämmelser om krav på yrkeskompetens för personer som deltar i kreditgivning som har samband med bostadsegendom och för deras närmaste chefer. Kraven på yrkeskompetens ska gälla både kreditgivarens personal och andra som arbetar för kreditgivaren med uppgifter som hänför sig till kreditgivning. I nuläget finns det inga lagenliga krav på yrkeskompetens hos personalen vid sådana kreditinstitut som fungerar som kreditgivare. I Finansinspektionens föreskrifter och anvisningar förutsätts dock att kreditinstitutet ska se till att de anställda och personer som rekryteras till företaget har tillräcklig kompetens i förhållande till arbetsuppgifterna, kreditinstitutets storlek samt verksamhetens omfattning och art. Kreditinstitutet ska också lägga upp rutiner för att säkerställa att personalen kontinuerligt uppfyller kompetenskraven (föreskrifter och anvisningar 8/2014, Hantering av operativa risker i företag under tillsyn inom finanssektorn, avsnitt 5.3, punkterna 17 och 18). 

Den yrkeskompetens som krävs ska motsvara åtminstone de krav som fastställs i bilaga III till direktivet om bostadskrediter. Meningen är att kraven på yrkeskompetens ska regleras närmare genom statsrådets förordning.  

Utöver de ovan avsedda allmänna kraven på yrkeskompetens innehåller förslaget särskilda bestämmelser om den yrkeskompetens som krävs av dem som värderar bostadsegendom.  

Behöriga myndigheter 

Det föreslås att iakttagandet av 7 a kap. i konsumentskyddslagen, vilket gäller konsumentkrediter som har samband med bostadsegendom, ska övervakas av samma myndigheter som övervakar bestämmelserna om andra konsumentkrediter. Till den del bestämmelserna gäller kreditförmedlare preciseras i förslaget på det sätt som förutsätts i direktivet dessa myndigheters befogenheter i utbudet av gränsöverskridande tjänster.  

Finansinspektionen föreslås fungera som register- och tillsynsmyndighet i enlighet med den föreslagna nya lagen om förmedlare av konsumentkrediter som har samband med bostadsegendom. Sådana krediter som hör till tillämpningsområdet för lagen i fråga beviljas främst av kreditinstitut, vilka står under Finansinspektionens tillsyn. Av denna anledning är det ändamålsenligt att också de näringsidkare som förmedlar denna typ av krediter omfattas av Finansinspektionens tillsyn.  

5.3  Övriga förslag

Förmedling av person-till-person-lån 

I propositionen föreslås två olika reformer i anslutning till förmedling av person-till-person-lån. Förmedling av person-till-person-lån förutsätter för det första i fortsättningen att den näringsidkare som är förmedlare har antecknats i det register över kreditgivare och förmedlare av person-till-person-lån som förs av Regionförvaltningsverket i Södra Finland. Med person-till-person-lån avses här sådana krediter som någon annan än en i 7 kap. i konsumentskyddslagen avsedd kreditgivare beviljar en konsument. De som beviljar denna typ av krediter omfattas inte av registreringsskyldigheten enligt lagen om registrering av vissa kreditgivare, och förmedling av denna typ av krediter hör inte heller till den föreslagna lagen om gräsrotsfinansiering (RP 46/2016 rd) tillämpningsområde.  

Förmedling av person-till-person-lån kan bedrivas på olika sätt, och eftersom marknaden för sådana lån knappt har kommit igång, är det inte möjligt att i detalj beskriva det typiska sättet att bedriva verksamheten. Såsom för närvarande kan verksamhet som går under namnet förmedling av person-till-person-lån i vissa fall de facto vara detsamma som lämnande av konsumentkredit och näringsidkaren ska då iaktta de skyldigheter som gäller kreditgivare. Det är också möjligt att förmedlarnas verksamhet förutom förmedling av person-till-person-lån också omfattar tillhandahållande av betaltjänster. För att undvika överlappande krav på registrering eller andra motsvarande krav och samtidigt minimera den administrativa bördan för näringsidkarna, ska en näringsidkare inte behöva låta registrera sig såsom förmedlare av person-till-person-lån i det register över kreditgivare och förmedlare av person-till-person-lån som förs av Regionförvaltningsverket i Södra Finland, om verksamheten redan regleras genom andra näringsrättsliga bestämmelser. Genom den lagstiftning som föreslås nu förhindras dock att de som förmedlar person-till-person-lån helt skulle bli lämnade utanför den näringsrättsliga regleringen. 

Samma villkor för registrering ska tillämpas som vid registrering av kreditgivare. Registreringskravet bidrar till att säkerställa att de näringsidkare som verkar som förmedlare är tillförlitliga och kompetenta och att konsumentmyndigheterna och de övriga myndigheterna som övervakar kreditverksamheten utan svårighet får information om förmedlare som verkar på den finländska marknaden och kontaktuppgifter till dessa.  

Med anledning av reformen i anslutning till förmedlingen av person-till-person-lån är det nödvändigt att se över största delen av bestämmelserna i lagen om registrering av vissa kreditgivare. Följaktligen anses det vara tekniskt sett ändamålsenligt att den gällande lagen upphävs och en helt ny lag stiftas. I fråga om ovan angivna kreditgivare föreslås lagändringar rörande kraven på personalens yrkeskompetens.  

En ändring som gäller både kreditgivare och förmedlare av person-till-person-lån är att om aktören avser att ta emot kundmedel behövs det registermyndighetens godkännande för detta. I fråga om kreditgivare gäller kravet i praktiken endast sådana aktörer som också bedriver förmedling av person-till-person-lån. Det föreslås att förmedlare av person-till-person-lån, i motsats till förmedlare av konsumentkrediter som har samband med bostadsegendom, inte förbjuds att ta emot kundmedel. I många företag som i dagsläget verkar på marknaden är förmedlingen av kundprestationer till den andra parten i ett kreditförhållande en väsentlig del av servicekonceptet, och ett förbud mot att ta emot kundmedel kunde därför försvaga verksamhetsförutsättningarna för dessa företag. 

Register- och tillsynsmyndighet enligt den föreslagna lagen om registrering av vissa kreditgivare och kreditförmedlare är Regionförvaltningsverket i Södra Finland, som redan nu är register- och tillsynsmyndighet enligt lagen om registrering av vissa kreditgivare. Vid beredningen av propositionen har det också övervägts som ett alternativ att Finansinspektionen ska vara behörig myndighet också enligt denna lag. Något som talar för att uppgiften överförs på Finansinspektionen är att tillsynen över bestämmelserna om konsumentkrediter då utförs av bara två myndigheter i stället för av tre, vilket förbättrar förvaltningens effektivitet. Lösningen skulle vara bra också av den orsaken att Finansinspektionen föreslås vara register- och tillsynsmyndighet enligt den föreslagna lagen om gräsrotsfinansiering. Lagförslaget gäller förutom gräsrotsfinansiering i form av investeringar även gräsrotsfinansiering i form av lån i sådana fall där låntagaren är någon annan än en konsument. Samtidigt kan det konstateras att den nuvarande modellen har fungerat utan större problem. Åtminstone i detta skede, då marknaden för gräsrotsfinansiering och person-till-person-lån fortfarande håller på att utvecklas och inga eventuella lagstiftningsåtgärder från EU:s sida har tillkännagetts, anses det inte vara motiverat att föreslå att den behöriga myndigheten ska ändras. 

Utöver registreringskravet föreslås att konsumentskyddslagens 7 kap., som gäller konsumentkrediter, ändras så att de ovan avsedda person-till-person-lånen som beviljas konsumenter jämställs med konsumentkrediter. Också i Sverige tillämpas lagen om konsumentkrediter på de nämnda krediterna. Enligt förslaget ska den näringsidkare som förmedlar person-till-person-lån se till att kapitlets bestämmelser iakttas i kreditförhållandet. Förmedlaren ska således se till att t.ex. den förhandsinformation som anges i kapitlet ges till den person som ansöker om kredit och att personens kreditvärdighet kontrolleras. Kreditförmedlaren ska också se till att inga räntor eller andra avgifter som överstiger det räntetak som anges i 17 a § i kap. tas ut för krediten.  

I propositionen föreslås det inga bestämmelser om förhållandet mellan den som lämnar kredit och förmedlaren av person-till-person-lån. Om den som lämnar kredit är en privatperson, kan bestämmelserna i 2 kap. i konsumentskyddslagen om marknadsföring samt förfaranden i kundrelationer samt bestämmelser om reglering av avtalsvillkor i 3 kap. bli tillämpliga. 

Ändringar av ränta och avgifter 

I propositionen föreslås att bestämmelserna i konsumentskyddslagens 7 kap., som gäller ändring av räntevillkoren i konsumentkreditavtal, ska förtydligas. Det är meningen att bestämmelserna också i fortsättningen ska tillämpas såväl på konsumentkrediter som har samband med bostadsegendom som på andra konsumentkrediter. Särskilt de kreditinstitut som tillhandahåller bostadskrediter har ansett att det är oklart om det är möjligt att i ett kreditavtal avtala om ändring av räntevillkoren i konsumentkreditavtal också på andra grunder än med anledning av en ändring i referensräntan, och på vilka grunder den avtalade marginalen eller det totala räntebeloppet i så fall kan ändras. Dessa kreditgivare har föreslagit att det ska vara möjligt att höja marginalen eller den totala räntan framför allt i situationer där kostnaderna för kreditgivningen ökar under kreditförhållandets giltighetstid eller kreditgivarens intäkter av kreditgivningen minskar på grund av en ändring som orsakats av lagstiftning eller ett myndighetsbeslut. Vidare har det föreslagits att en höjning ska kunna göras på basis av ändringar i kreditgivarens upplåning då ändringen i kostnaderna beror på orsaker som är oberoende av kreditgivaren.  

Det anses inte vara motiverat att kreditgivaren har rätt att ändra lånemarginalen eller den totala räntan på en kredit på ovannämnda grunder. Kreditgivarna ska i egenskap av näringsidkare i synnerhet i sin riskhantering förbereda sig omsorgsfullt på ändringar i lagstiftningen och myndighetsbeslut. Man kan inte förvänta sig att konsumenten ska vara insatt i denna typ av frågor eller kunna bedöma hur sannolika sådana ändringar är. Risken för denna typ av ändringar ska ligga hos kreditgivaren trots att inte heller kreditgivarna kan förbereda sig på alla ändringar. De fördelar och nackdelar som ändringarna eventuellt medför är en del av kreditgivarnas affärsverksamhetsrisk, och denna risk ska inte överföras på konsumenterna. 

När det gäller kreditgivarnas upplåning ska det noteras att dess struktur varierar bland kreditgivarna och är beroende av kreditgivarens egna beslut och strategier. Kreditgivarnas upplåning är en komplex helhet där hanteringen av ränterisken på olika sätt hör till affärsverksamhetens kärninnehåll. Tillämpningen av grunden är i praktiken förknippad med många svårigheter. Det skulle bland annat vara svårt att kontrollera vilka kostnadsändringar som bygger på orsaker som är oberoende av kreditgivaren och vilka som inte gör det samt huruvida ändringarna har berört kreditgivarens olika kunder på ett likvärdigt och icke-diskriminerande sätt.  

När rätten att ändra lånemarginalen eller den totala räntan på en kredit begrundas ska det också beaktas att konsumenterna ofta konkurrensutsätter en bostadskredit innan de tecknar den. Syftet med konkurrensutsättningen äventyras om kreditgivaren ensidigt i efterhand kan ändra lånemarginalen eller den totala räntan under förutsättningar som är svåra eller omöjliga för en utomstående att konstatera. 

Över huvud taget har inga sådana vägande grunder framförts som skulle göra det motiverat att ge kreditgivarna rätt att under ett kreditförhållande höja lånemarginalen eller den totala räntan på krediten. Det faktum att de övriga nordiska ländernas lagstiftning avviker från Finlands lagstiftning i denna fråga är i sig inte en motiverad orsak att påverka konsumentgäldenärernas ställning i så hög grad. Det ska också noteras att bostadskreditmarknaden i de respektive nordiska länderna har sina egna särdrag. En skillnad mellan t.ex. Finland och Sverige är att återbetalningstiderna för bostadskrediter är avsevärt kortare i Finland.  

Som motivering till att regleringen behöver ändras har det också hänvisats till lagstiftningen om andra avtal som vanligtvis omspänner en lång tid, såsom försäkringsavtal. Bostadskreditavtal avviker dock till sin natur från långvariga avtal som gäller kontinuerligt tillhandahållande av en nyttighet i det avseendet att kreditgivaren i ett bostadskreditavtal betalar ut en klumpsumma, och konsumenten av den anledningen i samband med en prisändring inte kan frigöra sig från kreditförhållandet på samma sätt som från ett annat avtal som gäller en konsumtionsnyttighet. 

Med anledning av det som konstaterats ovan föreslås att bestämmelserna om ränteändring förtydligas så att det av dem uttryckligen framgår att räntan på en kredit under ett pågående kreditförhållande kan ändras endast i enlighet med ändringarna i referensräntan. Det anses dock vara motiverat att kreditgivaren vid bostadskrediter får ta ut kreditmarginalen av konsumenten även när referensräntan är negativ, om det har avtalats om detta i kreditavtalet.  

Vidare föreslås preciseringar i bestämmelserna om ändring av avgifter som tas ut med anledning av ett kreditavtal under ett pågående kreditförhållande. Enligt förslaget får en avgiftshöjning inte vara större än den faktiska ökning som kreditgivaren haft i de kostnader på grund av vilka en avgift enligt kreditavtalet tas ut.  

5.4  Bestämmelser i direktivet som inte kräver ändringar i lagstiftningen

I artikel 5.2 i direktivet föreskrivs att de behöriga myndigheterna och alla personer som arbetar eller har arbetat för de behöriga myndigheterna och på deras uppdrag ska vara bundna av tystnadsplikt. Detta förutsätter inga särskilda genomförandeåtgärder, eftersom 22—24, 29 och 30 § i lagen om offentlighet i myndigheternas verksamhet (621/1999) innehåller bestämmelser som uppfyller de krav som anges i direktivet.  

Medlemsstaterna ska enligt artikel 6.1 i direktivet främja åtgärder för att stödja utbildning av konsumenter när det gäller ansvarsfullt låntagande och skuldhantering, särskilt avseende hypotekslåneavtal. Enligt denna punkt är det nödvändigt med tydlig och allmän information om kreditgivningsprocessen för att ge vägledning åt konsumenter, särskilt åt dem som tar ett hypotekslån för första gången. Inga lagstiftningsåtgärder krävs för att genomföra punkten i fråga. I Finland ges sådan information, t.ex. på Konkurrens- och konsumentverkets samt Finansinspektionens webbplatser, i anslutning till bostadsköp, bolån och kredittagning i allmänhet. Dessutom strävar delegationen för ekonomihantering, som verkar i anslutning till arbets- och näringsministeriet, genom sina åtgärder efter att främja att ekonomisk läskunnighet blir en del av medborgarfärdigheterna.  

Enligt artikel 7.5 får en medlemsstat förbjuda eller införa begränsningar för betalningar från en konsument till en kreditgivare eller kreditförmedlare innan kreditavtal ingås. I Finland har det veterligen inte förekommit några problem i anslutning till uttag av förhandsavgifter i samband med tecknande av kreditavtal. Följaktligen anses det inte vara nödvändigt att utnyttja valmöjligheten enligt denna punkt.  

Enligt artikel 10 ska medlemsstaterna kräva att reklam- och marknadsföringsuppgifter om kreditavtal är rättvisande, klara och inte vilseledande. Medlemsstaterna ska särskilt förbjuda formuleringar som hos en konsument kan skapa falska förväntningar på en kredits tillgänglighet och kostnader. Bestämmelser om reklam och marknadsföring till konsumenter finns i 2 kap. i konsumentskyddslagen, och de grundar sig på Europaparlamentets och rådets direktiv om otillbörliga affärsmetoder 2005/29/EG. Bestämmelserna gäller också finansiella tjänster, såsom konsumentkrediter som hör till tillämpningsområdet för direktivet om bostadskrediter. Reklam och annan marknadsföring måste betraktas som otillbörlig på det sätt som avses i 2 kap. 3 § 1 mom. om den inte är saklig och tydlig. Som otillbörligt förfarande betraktas enligt 2 mom. i samma paragraf också marknadsföring där man ger osann eller vilseledande information. Den osanna eller vilseledande informationen kan enligt 6 § 2 mom. 1 och 3 punkten i kapitlet gälla tillgången eller priset på en konsumtionsnyttighet. Med tanke på det som nämns ovan kräver genomförandet av artikel 10 i direktivet om bostadskrediter inga ändringar i lagstiftningen, utan den gällande lagstiftningen uppfyller redan de krav som anges i artikeln.  

En medlemsstat kan enligt artikel 11.6 kräva att en koncis och proportionell varning för särskilda risker förknippade med kreditavtal inkluderas. Artikel 13.2, samt i fråga om rådgivningstjänsten artikel 22.5, gör det på ett liknande sätt möjligt att fastställa en skyldighet för kreditgivarna att inkludera en varning för risker i den allmänna information om krediten som ska finnas tillgänglig. Sådana riskvarningar i reklam och allmän information som inte ges med beaktande av konsumentens individuella förhållanden skulle sannolikt inte nämnvärt påverka kredittagningsbeslutet hos konsumenter som löper risk för att bli överskuldsatta. Bostadskrediter orsakar mindre betalningsstörningar för konsumenterna än andra konsumentkrediter, och därför anses det inte heller vara motiverat att fastställa en skyldighet att varna för risker i anslutning till denna typ av krediter. Följaktligen föreslås det att optionen i artiklarna 11.6 och 13.2 i direktivet inte tillämpas i Finland.  

Tillhandahållare av rådgivningstjänster som agerar omsorgsfullt och yrkeskunnigt kan anses vara skyldiga att redan i rekommendationsskedet beakta också de risker som de analyserade kreditavtalen medför för konsumenten. Av denna anledning anses det inte vara nödvändigt att genomföra artikel 22.5 separat.  

Enligt artikel 12.4 kan en medlemsstat tillåta kreditgivare att kräva att konsumenten har en relevant försäkring med anknytning till kreditavtalet. I sådana fall ska medlemsstaten säkerställa att kreditgivaren godtar en försäkring från en annan leverantör än den leverantör som kreditgivaren rekommenderar, om en sådan försäkring har en garantinivå som motsvarar garantinivån hos den försäkring som kreditgivaren har föreslagit. Inga uttryckliga bestämmelser krävs för att punkten i fråga ska kunna genomföras. Det förbud mot bindningsförfarande som föreslås hindrar inte en kreditgivare från att kräva att konsumenten har t.ex. en försäkring som ersätter skador som orsakas av att egendom som ställts som säkerhet för krediten brinner upp eller förstörs på annat sätt, om konsumenten inte förutsätts ingå ett försäkringsavtal med en viss försäkringsgivare. Däremot strider det mot förbudet mot bindningsförfarande om kreditofferten innehåller ett villkor om att ett försäkringsavtal ska ingås med ett försäkringsbolag som hör till samma koncern som kreditgivaren eller något annat försäkringsbolag som samarbetar med kreditgivaren.  

En medlemsstat kan enligt artikel 14.4 föreskriva att det är obligatoriskt att tillhandahålla det standardiserade EU-faktabladet innan ett erbjudande som är bindande för kreditgivaren lämnas. Det anses vara tillräckligt att konsumenten får EU-faktabladet i enlighet med artikel 14.1 och 14.3 i god tid innan kreditavtal ingås och senast som bilaga till ett erbjudande som är bindande för kreditgivaren. Det anses inte vara nödvändigt att tillämpa den option som anges i artikel 14.4 i Finland.  

Medlemsstaterna får dessutom enligt artikel 14.5 i stället för det standardiserade EU-faktabladet fortsätta att använda ett informationsblad som uppfyller motsvarande informationskrav, om informationsbladet har införts senast den 20 mars 2014. I enlighet med vad som nämns ovan föreslås det att 7 kap. i konsumentskyddslagen, som grundar sig på direktivet om konsumentkrediter och som reglerar kreditgivarens skyldighet att lämna information innan kreditavtal ingås, tillämpas på konsumentkrediter med bostad som säkerhet. När det gäller dessa krediter används således blanketten ”Standardiserad europeisk konsumentkreditinformation” även i fortsättningen. I fråga om bostadskrediter har kreditgivaren enligt de gällande bestämmelserna ingen skyldighet att använda den nämnda blanketten, utan kreditgivaren kan lämna informationen också på något annat valfritt sätt. Enligt den information som kommissionen har gett vid möten som anordnats om genomförandet av direktivet uppfyller blanketten i fråga inte heller samma informationskrav som det standardiserade EU-faktabladet. Optionen i denna punkt kan således inte tillämpas i fråga om bostadskrediter i Finland.  

Enligt artikel 18.4 ska medlemsstaterna, när en kreditgivare ingår ett kreditavtal med en konsument, se till att kreditgivaren inte därefter kan frånträda eller ändra kreditavtalet med hänvisning till att kreditprövningen utförts felaktigt. Denna punkt ska inte gälla om det visas att konsumenten medvetet undanhållit eller förfalskat uppgifterna. Det är inte nödvändigt att separat genomföra punkten i Finland, eftersom ett avtal som ingås enligt de allmänna avtalsrättsliga principerna är bindande och Finlands lagstiftning inte innehåller någon särskild bestämmelse enligt vilken kreditgivaren i sådana fall som avses i punkten får frånträda eller ändra ett kreditavtal.  

En medlemsstat ska enligt artikel 18.5 b se till att kreditgivaren i enlighet med artikel 10 i Europaparlamentets och rådets direktiv 95/46/EG om skydd med avseende på behandling av personuppgifter i förväg underrättar konsumenten om att sökning i en databas kommer att ske. Det är inte nödvändigt att separat genomföra denna punkt i Finland, eftersom kreditgivaren redan har en förhandsinformationsskyldighet med stöd av 29 § 2 mom. i kreditupplysningslagen (527/2007). Den andra meningen i artikel 18.5 c behöver inte heller genomföras separat, eftersom kreditgivaren med stöd av det nämnda momentet i kreditupplysningslagen har också en sådan informationsskyldighet som avses i meningen i fråga.  

Enligt artikel 20.3 andra stycket får en medlemsstat inte tillåta en kreditgivare att säga upp kreditavtalet på grund av att den information som lämnats av konsumenten innan kreditavtalet ingicks var ofullständig. Det finns dock inget hinder för medlemsstaten att tillåta uppsägning i sådana fall där det kan påvisas att konsumenten uppsåtligen har försummat att lämna uppgifter eller har lämnat felaktiga uppgifter. De nämnda bestämmelserna i direktivet behöver inte genomföras separat i Finland, eftersom avtal som ingåtts enligt allmänna principer är bindande för parterna och lagstiftningen inte ger kreditgivaren rätt att säga upp avtalet i nämnda fall.  

Enligt artikel 21.1 ska varje medlemsstat vid gränsöverskridande krediter se till att kreditgivare från andra medlemsstater bereds åtkomst till databaser som används i den medlemsstaten för att bedöma konsumentens kreditvärdighet. Villkoren för åtkomst ska vara icke-diskriminerande. Artikeln behöver inte genomföras separat i Finland, eftersom den som bedriver kreditupplysningsverksamhet enligt 10 § 1 mom. i kreditupplysningslagen inte får vägra att ur ett kreditupplysningsregister som är avsett för allmänt bruk lämna ut kreditupplysningar till den som enligt lag ska använda kreditupplysningar för beslutsfattande som avser en registrerad. Eftersom kreditgivaren enligt 7 a kap. 11 § i lagförslag 3 har en sådan skyldighet i samband med beslutsfattandet innebär det att kreditgivaren enligt den nämnda paragrafen i kreditupplysningslagen har rätt att få uppgifter ur kreditupplysningsregistret om en konsument som ansöker om lån, och den som idkar kreditupplysningsverksamhet får inte ställa diskriminerande villkor för utlämnandet av uppgifter. 

En medlemsstat ska enligt artikel 26.1 ha lämpliga mekanismer på plats för att säkerställa att fordran på säkerheten kan drivas in av kreditgivare eller på deras vägnar. Detta krav uppfylls, eftersom en panthavare har rätt att sälja aktier som ställts som säkerhet enligt de förutsättningar som nämns i 10 kap. 2 § i handelsbalken och en fastighet som ställts som säkerhet kan realiseras i enlighet med bestämmelserna i utsökningsbalken. Särskilda genomförandeåtgärder krävs inte heller med avseende på punkt 2 i samma artikel, enligt vilken medlemsstaterna ska vidta de åtgärder som är nödvändiga för att säkerställa lämplig statistisk övervakning av bostadsmarknaden. I Finland sköter statistikcentralen uppgifterna i anslutning till statistikföringen bl.a. genom att offentliggöra prisindex för ägarboende.  

Artikel 28.1—3 och 28.5 innehåller bestämmelser som skyddar konsumenter som har betalningssvårigheter. Nya bestämmelser för genomförande av dessa punkter behövs inte, eftersom Finland redan nu har denna typ av bestämmelser i konsumentskyddslagen, handelsbalken, räntelagen, lagen om indrivning av fordringar och utsökningsbalken, vilket utreds närmare i avsnitt 3.1.1. Inte heller punkt 4 i den nämnda artikeln förutsätter genomförandeåtgärder. Enligt denna punkt får en medlemsstat inte förhindra parterna i ett kreditavtal från att komma överens om att återlämnande eller överföring till kreditgivaren av säkerheten eller intäkter från försäljningen av säkerheten är tillräckligt för att återbetala krediten. Lagstiftningen innehåller inga bestämmelser som förhindrar parter från att göra en ovan angiven överenskommelse.  

I artikel 35 krävs att andra kreditgivare än kreditinstitut ska godkännas och övervakas. Artikeln förutsätter inga genomförandeåtgärder, eftersom tillhandahållare av konsumentkrediter enligt lagen om registrering av vissa kreditgivare måste införas i det register över kreditgivare som förs av regionförvaltningsverket i Södra Finland och som enligt vad som föreslagits ovan ska ersättas med ett register över kreditgivare och förmedlare av person-till-person-lån. Dessa kreditgivares verksamhet övervakas förutom av regionförvaltningsverket även av konsumentombudsmannen enligt vad som konstaterats ovan.  

En medlemsstat ska enligt artikel 39 säkerställa att konsumenterna har tillgång till lämpliga och effektiva tvistlösningsförfaranden i anslutning till kreditgivare, kreditförmedlare och utsedda representanter. Artikeln förutsätter inga genomförandeåtgärder, eftersom konsumenterna redan nu har möjlighet att föra ett tvistemål som gäller konsumentkrediter eller kreditförmedling till konsumenttvistenämnden för behandling. Alternativt kan konsumenten i vissa fall också föra sitt tvistemål till behandling hos Banknämnden, som verkar i anslutning till Försäkrings- och finansrådgivningen.  

Propositionens konsekvenser

6.1  Statsfinansiella konsekvenser och konsekvenser för myndigheternas verksamhet

Propositionen har inga nämnvärda konsekvenser för statens ekonomi. Bestämmelserna i 7 a kap. i lagförslag 1 kommer inledningsvis att orsaka tilläggsarbete för tillsynsmyndigheterna, eftersom myndigheterna bl.a. måste uppdatera sina anvisningar om konsumentkrediter och ge kreditgivarna, kreditförmedlarna och konsumenterna råd om de nya bestämmelsernas innehåll. De ändrade bestämmelserna om marknadsföring, förhandsinformation och avtalsvillkor medför i sig inga nya uppgifter för tillsynsmyndigheterna, men de skapar ett behov att då ändringarna träder i kraft koncentrera tillsynsåtgärderna på de kreditgivares och kreditförmedlares förfaranden som hör till de nya bestämmelsernas tillämpningsområde. 

Finansinspektionen ska enligt lagförslag 2 i propositionen grunda ett register över förmedlare av konsumentkrediter som har samband med bostadsegendom. För tillfället finns det veterligen inga förmedlare på den finländska marknaden som skulle omfattas av registreringsskyldigheten, och den nya uppgiften uppskattas därför kräva en satsning på mindre än ett årsverke efter att registret grundats. Den nya uppgiften orsakar inga tilläggskostnader för Finansinspektionen, eftersom de kostnader som uppstår täcks av de ansöknings- och tillsynsavgifter som tas ut av förmedlarna.  

Vidare ska enligt lagförslag 3 det register över kreditgivare som förs av Regionförvaltningsverket i Södra Finland ersättas av ett register över kreditgivare och förmedlare av person-till-person-lån. Det att tillsynsuppgiften utvidgas till att omfatta även förmedlare av person-till-person-lån uppskattas medföra endast en obetydlig ökning av arbetsmängden, eftersom det torde finnas högst 10—20 sådana aktörer i Finland. Behandlingen av dessa förmedlares registreringsanmälningar orsakar inga tilläggskostnader för regionförvaltningsverket, eftersom de kostnader som anmälningarna ger upphov till täcks med åtgärdsavgifter som tas ut av de förmedlare av person-till-person-lån som ansöker om registrering.  

Å andra sidan kommer registreringskravet i fråga om såväl förmedlare av konsumentkrediter som har samband med bostadsegendom som förmedlare av person-till-person-lån att underlätta tillsynsarbetet för de myndigheter som övervakar tillhandahållandet av konsumentkrediter och person-till-person-lån, eftersom de i fortsättningen har tillgång till tillförlitlig och mer uttömmande information om och kontaktuppgifter till de företag som verkar på kreditmarknaden. 

6.2  Konsekvenser som gäller konsumenternas, kreditgivarnas och vissa kreditförmedlares ställning

Enhetligare bestämmelser om konsumentkrediter som har samband med bostadsegendom inom Europeiska ekonomiska samarbetsområdet gör det lättare för kreditgivarna att tillhandahålla krediter över gränserna och förbättrar konsumenternas möjligheter att ansöka om kredit från något annat land än sitt hemland. I praktiken förväntas dock både utbudet och efterfrågan över gränserna förbli obetydliga även i framtiden. 

Det att bestämmelserna om konsumentkrediter delas upp i skilda bestämmelser beroende på om det är fråga om en bostadskredit, en konsumentkredit med bostad som säkerhet eller annan konsumentkredit orsakar ett behov att uppdatera i synnerhet kreditinstitutens IT-system samt dokumenten och de interna anvisningarna i anslutning till kreditavtal. Kreditgivare som tillhandahåller sådana konsumentkrediter som hör till de nya bestämmelsernas tillämpningsområde ska också se till att den personal som deltar i beviljandet av dessa krediter får utbildning om de nya bestämmelserna.  

Av de enskilda ändringarna orsakar införandet av det standardiserade EU-faktabladet mest kostnader för kreditgivarna. Medlemmarna i Finansbranschens centralförbund har uppskattat att kostnaderna varierar från hundratusentals euro till flera miljoner euro per aktör. Av de övriga enskilda ändringarna som medför kostnader för kreditgivarna bör nämnas informationsskyldigheterna i fråga om krediter i utländsk valuta under ett pågående avtalsförhållande samt ändringarna i beräkningen av den effektiva årsräntan, med anledning av vilka kreditgivarna måste göra ändringar i sina IT-system. Beroende på den nuvarande personalens yrkeskompetens kan kostnader orsakas av kreditgivarens skyldighet att säkerställa att den personal som deltar i beviljandet av krediter med bostad som säkerhet och deras närmaste chefer samt de som värderar bostadsegendom uppfyller de krav på yrkeskompetens som anges i förslaget.  

Förmedlare av person-till-person-lån orsakas kostnader av den föreslagna skyldigheten att se till att bestämmelserna i 7 kap. i konsumentskyddslagen iakttas i deras kreditförmedling till konsumenterna. Vidare begränsas förmedlarnas möjlighet att ta ut arvoden av det räntetak som fastställs i 17 a § i det nämnda kapitlet. Det ska dock noteras att den föreslagna regleringen inte begränsar förmedlarens möjlighet att avtala om att den som beviljar en kredit till konsumenten ska betala ett arvode för kreditförmedlingen.  

Införandet av det standardiserade EU-faktabladet ger konsumenterna bättre möjligheter att jämföra olika tillhandahållares bostadskrediter. Hittills har en tillhandahållare av bostadskrediter haft möjlighet, dock inte skyldighet, att använda blanketten "Standardiserad europeisk konsumentkreditinformation” för förhandsinformation innan kreditavtal ingås. För konsumenten har det sannolikt varit svårt att jämföra information från olika kreditgivare. Det att ångerrätten i fråga om bostadskrediter utvidgas till att omfatta också annan försäljning än distansförsäljning förbättrar konsumentskyddet. Utvidgningen uppskattas ha ringa inverkan på kreditgivarna, eftersom ångerrätten antagligen inte kommer att utnyttjas i någon större utsträckning. 

Konsumenternas ställning på marknaden och konkurrensen mellan de olika tillhandahållarna förbättras av det föreslagna förbudet mot bindningsförfarande i fråga om krediter. Likaså förbättras konsumenternas ställning av att bestämmelserna om ränteändring förtydligas så att räntan på en kredit kan ändras endast i enlighet med ändringarna i referensräntan. Tillhandhållarna av bostadskrediter har påpekat att bestämmelser som avviker från lagstiftningen i de övriga nordiska länderna kan försvaga kreditgivarnas intresse att tillhandahålla bostadskrediter i Finland. Detta antas dock inte hända eftersom räntorna på bostadskrediter i praktiken hittills har ändrats endast i samma mån som referensräntan och det föreslagna förtydligandet således inte försvagar verksamhetsförutsättningarna för dem som tillhandahåller bostadskrediter. Det faktum att kreditgivaren i situationer med en negativ referensränta genom ett avtalsvillkor får trygga sin rätt till kreditmarginalen är för sin del ägnat att förbättra kreditgivarnas ställning.  

De nya bestämmelserna om kreditgivning förebygger situationer där konsumentkrediter beviljas konsumenter som riskerar att bli överskuldsatta. Även bestämmelserna om förmedling av krediter som har samband med bostadsegendom och tillhandahållande av rådgivningstjänster förbättrar konsumenternas ställning genom att de bidrar till att säkerställa att rådgivningstjänsterna är objektiva och att konsumenten får ändamålsenlig information om de förmedlings- och rådgivningstjänster som erbjuds. I praktiken är konsekvenserna för konsumenterna dock obetydliga åtminstone i inledningsskedet, eftersom konsumenterna i Finland i allmänhet skaffar en bostadskredit eller annan konsumentkredit som har samband med bostadsegendom direkt av en kreditgivare i stället för att anlita en förmedlings- eller rådgivningstjänst. 

Det att bestämmelserna i 7 kap. i konsumentskyddslagen tillämpas också på person-till-person-lån som förmedlas till konsumenter förbättrar konsumenternas ställning i och med att det på så sätt är säkrare att konsumenten får ändamålsenlig information om den kredit som tillhandahålls. Tillämpningen av räntetaksbestämmelserna på dessa krediter förbättrar konsumenternas möjligheter att få kredit till ett skäligt pris. De föreslagna bestämmelserna om bl.a. bedömning av kreditvärdigheten förbättrar ställningen för dem som beviljar kredit till konsumenter via förmedlare av person-till-person-lån.  

Lagförslag 2 förutsätter att de förmedlare av konsumentkrediter som har samband med bostadsegendom som hör till dess tillämpningsområde ska registreras i Finansinspektionens register. För dessa kreditförmedlare uppstår kostnader bl.a. då de ska göra registreringsanmälan och organisera verksamheten så att villkoren för registrering uppfylls. Å andra sidan gör lagförslaget det lättare för förmedlare som är registrerade i Finland att inleda verksamhet i ett annat EES-land, eftersom de inte behöver registrera sig på nytt i den mottagande staten. På motsvarande sätt underlättar det också möjligheterna för förmedlare som är registrerade i en annan EES-stat att inleda verksamhet här.  

Lagförslag 3 förutsätter att de förmedlare av person-till-person-lån som hör till lagens tillämpningsområde ska registreras i det register som förs av Regionförvaltningsverket i Södra Finland och orsakar följaktligen motsvarande kostnader för förmedlarna av person-till-person-lån som de kostnader som uppstår för förmedlarna av konsumentkrediter som har samband med bostadsegendom. Eftersom det redan finns förmedlare av person-till-person-lån på den finländska marknaden, i motsats till förmedlare av konsumentkrediter som har samband med bostadsegendom, är det möjligt att vissa av de förmedlare av person-till-person-lån som i dagsläget verkar i branschen blir tvungna att lägga ned sin verksamhet. Å andra sidan antas registreringskravet i fråga om förmedlare av person-till-person-lån höja förtroendet för denna typ av kreditmarknad och samtidigt förbättra konsumenternas ställning, i och med att det blir svårare för ohederliga aktörer att komma in på marknaden.  

Beredningen av propositionen

Justitieministeriet tillsatte den 29 januari 2015 en arbetsgrupp med uppgift att bereda ett förslag i form av en proposition om lagstiftning som behövs för genomförandet av direktivet. Arbetsgruppen hade också till uppgift att bedöma behovet att ändra lagstiftningen om räntevillkor för krediter, omvända bolån och person-till-person-lån samt att bereda dessa och andra lagstiftningsändringar som behövs på grund av utvecklingen på kreditmarknaden. Arbetsgruppen bestod av representanter för justitieministeriet, finansministeriet, Regionförvaltningsverket i Södra Finland, Konkurrens- och konsumentverket/konsumentombudsmannen (nedan KKV), Finansinspektionen, FC, Kuluttajaliitto—Konsumentförbundet ry (nedan Konsumentförbundet) och Försäkrings- och finansrådgivningen FINE. Under arbetets gång hörde arbetsgruppen dataombudsmannens byrå, Fastighetsvärderingsnämnden vid Centralhandelskammaren, Garanti-Stiftelsen och Skuldrådgivning rf. Arbetsgruppens betänkande färdigställdes den 30 oktober 2015 (OMML 54:2015). 

Justitieministeriet begärde ett utlåtande om betänkandet av 32 myndigheter och sammanslutningar. Av dem gav 22 ett utlåtande. Ett sammandrag av utlåtandena har sammanställts på justitieministeriet (Justitieministeriets betänkanden och utlåtanden 15/2016). De flesta remissinstanserna förhöll sig positivt till arbetsgruppens förslag. En del av de aktörer som företräder näringslivet motsatte sig dock att de bestämmelser som baserar sig på direktivet skulle tillämpas i större utsträckning än vad som är nödvändigt enligt direktivet eller att det införs ytterligare nationella bestämmelser som på annat sätt överskrider minimikraven i direktivet. Med beaktande av vad som sagts i avsnitt 1 om konsumenternas skuldsättningsproblem anses det inte befogat att avvika från de grundläggande riktlinjer som drogs upp i betänkandet. Bestämmelser som motsvarar minimiregleringen i direktivet skulle i vissa fall också innebära en sänkning av den nuvarande konsumentskyddsnivån. 

Om man ser till enskilda frågor fästes det mest uppmärksamhet vid de bestämmelser som gäller ränteändringar medan kreditförhållandet varar och i synnerhet förslaget om att kreditgivaren inte, i enlighet med motiveringarna i betänkandet, i ett fall av negativ referensränta genom ett avtalsvillkor alltid skulle kunna trygga rätten till marginalen för krediten. De som motsatte sig det sistnämnda förslaget var Finansinspektionen, FC, Centralhandelskammaren, Suomen Asiakkuusmarkkinointiliitto ry (nedan ASML), Försäkrings- och finansrådgivningen och S-Banken. Arbetsgruppens förslag understöddes av finansministeriet, KKV, Finlands Bank och Konsumentförbundet. Den tolkning som gavs kunde för sin del leda till förhöjd marginal för bostadskrediter och till en sämre ställning för små banker som i sin återfinansiering är hänvisade till insättningar, och den vägen till minskad konkurrens på bostadskreditmarknaden. Även om tolkningen skulle medföra fördelar för konsumenterna, har man gjort bedömningen att de skadliga effekterna på bostadskreditmarknaden i sista hand skulle vara större än nyttan för konsumenterna i enskilda fall. Vid den fortsatta beredningen har förslaget därför till denna del ändrats så att det i 7 a kap. i lagförslag 1 har tagits in en uttrycklig bestämmelse om att man i ett avtal om bostadskredit kan komma överens om att den ränta som konsumenten ska betala på krediten inte ändras, om referensräntans värde understiger noll. 

Förslaget om registreringsplikt för förmedlare av person-till-person-lån och likställande av person-till-person-lån med konsumentkrediter vid tillämpning av bestämmelserna om konsumentkrediter i konsumentskyddslagen fick understöd, men avvikande synpunkter fördes fram när det gäller huruvida Regionförvaltningsverket i Södra Finland, enligt vad som föreslogs i betänkandet, ska vara den register- och tillsynsmyndighet som anges i lagen om registrering av vissa kreditgivare och kreditförmedlare. Finansministeriet och Finansinspektionen understödde den lösning som ingick i betänkandet, medan Regionförvaltningsverket i Södra Finland, Skuldrådgivning rf och vissa förmedlare av person-till-person-lån ansåg att Finansinspektionen bör vara register- och tillsynsmyndighet. Av de skäl som nämns i avsnitt 5.3 har man vid den fortsatta beredningen inte ansett det befogat att avvika från det som föreslogs i betänkandet. 

Remissinstanserna var av olika åsikt också huruvida termerna "rådgivning" och "rådgivare" eller liknande borde förbjudas när rådgivningstjänsterna tillhandahålls konsumenten av kreditgivare eller kreditförmedlare som är ombud för kreditgivare, vilket föreslogs i betänkandet, eller huruvida man i stället för ett förbud borde införa åtminstone de krav för användningen av termerna "oberoende rådgivning" eller "oberoende rådgivare" som anges i direktivet om bostadskrediter. Arbets- och näringsministeriet, KKV, Konsumentförbundet och Skuldrådgivning rf understödde den regleringsmodell som föreslogs i betänkandet, medan Finansinspektionen, FC och ASML understödde den sistnämnda regleringsmodellen. Av de skäl som nämns i avsnitt 5.2 har man i propositionen stannat för att föreslå den förstnämnda regleringsmodellen, enligt vilken endast kreditförmedlare har rätt att tillhandahålla rådgivningstjänster, förutsatt att de inte är ombud för en kreditgivare eller på annat sätt hör till kreditgivarens närmaste krets. 

På grund av andra anmärkningar från remissinstanserna har många detaljer i förslaget setts över. 

Samband med andra propositioner

I lagförslag 6 föreslås det att bl.a. 6 § 1 mom. i lagen om Finansinspektionens tillsynsavgift ska ändras. En proposition med förslag till lag om värdeandelssystemet och om clearingverksamhet samt till vissa lagar som har samband med den (RP 28/2016 rd) har överlämnats till riksdagen. Det föreslås där att momentet i fråga ändras så att ändringen träder i kraft den 1 juni 2016.  

Enligt lagförslag 7 ändras bl.a. 2 § i lagen om förhindrande och utredning av penningtvätt och av finansiering av terrorism. En proposition med förslag till lag om gräsrotsfinansiering (RP 46/2016 rd) har överlämnats till riksdagen. Där föreslås det ändringar i samma paragraf. 

DETALJMOTIVERING

Lagförslag

1.1  Konsumentskyddslagen

6 a kap. Distansförsäljning av finansiella tjänster och finansiella instrument

11 a §.Bostadskrediter. Paragrafen är ny. Genom den genomförs artikel 14.7 i direktivet. Enligt paragrafen anses en kreditgivare vid distansförsäljning av bostadskrediter ha fullgjort informationsskyldigheten enligt 5—9 § på i 11 § föreskrivet sätt, om kreditgivaren ger konsumenten ESIS-blanketten innan ett avtal om bostadskredit ingås. Vid distansförsäljning av bostadskrediter ska det alltså inte längre i enlighet med 11 § 2 mom. vara möjligt att lämna förhandsinformation efter att avtalet ingåtts ens i det fallet att avtalet ingås på begäran av konsumenten med hjälp av ett sådant medel för distanskommunikation att informationen och avtalsvillkoren inte kan tillställas konsumenten i varaktig form innan avtalet ingås. Med tanke på konsumentens betydande ekonomiska förpliktelser i fråga om bostadskrediter anses det inte lämpligt att förhandsinformationen lämnas efter det att avtalet ingåtts (skäl 21 i direktivets ingress).  

Till skillnad från bestämmelsen i direktivet gäller den föreslagna bestämmelsen endast bostadskrediter, inte andra krediter som omfattas av tillämpningsområdet för direktivet. I fråga om konsumentkrediter med en bostad som säkerhet föreslås i enlighet med vad som utretts i avsnitt 5.2 i den allmänna motiveringen att den möjlighet som medlemsstaterna har enligt artikel 3.3 a att inte tillämpa artiklarna 11 och 14 samt bilaga II till direktivet, ska utnyttjas. På distansförsäljning av dessa krediter tillämpas såsom för närvarande bestämmelserna i 11 § i stället för den nya 11 a §, och att lämna förhandsinformation i varaktig form efter att avtalet ingåtts är således fortfarande tillåtet.  

12 §.Ångerrätt. I 2 mom. görs det en teknisk ändring eftersom bestämmelser om konsumentens rätt att frånträda ett konsumentkreditavtal och betala konsumentkrediten i förtid finns både i 7 kap. och i det nya 7 a kap.  

7 kap. Konsumentkrediter

Allmänna bestämmelser 

1 §.Tillämpningsområde. Paragrafens 1 och 2 mom. motsvarar den gällande lagen. 

Paragrafens 3 mom. är nytt. Enligt momentet likställs vid tillämpningen av bestämmelserna i kapitlet med konsumentkrediter också sådan kredit som någon annan än en kreditgivare lämnar en konsument, om krediten förmedlas till konsumenten av en näringsidkare. Den näringsidkare som förmedlar krediten ska då se till att bestämmelserna i kapitlet iakttas i kreditförhållandet. Momentet grundar sig inte på direktivet utan är nationell reglering. 

Genom momentet utsträcks vissa bestämmelser som ska tillämpas på kreditgivare till att också gälla kreditförmedlare som förmedlar s.k. person-till-person-lån till konsumenter. För närvarande tillämpas 7 kap. i konsumentskyddslagen endast på krediter som en kreditgivare lämnar en konsument, eller på en näringsidkare som förmedlar sådana krediter. En redogörelse för orsakerna till att tillämpningsområdet för kapitlet utvidgas ges i avsnitt 5.3 i den allmänna motiveringen. 

En näringsidkare som förmedlar kredit till en konsument ska alltså t.ex. se till att man i kreditförhållandet iakttar 7 kap. 8—11 § om skyldigheterna att lämna information i reklam för krediter och innan ett kreditavtal ingås, 13 § om god kreditgivningssed, 14 § om bedömning av kreditvärdigheten, 15 och 16 § om kontroll av kreditsökandens identitet, 17 § om ingående av kreditavtal, 17 a § om räntetak, 18 § om förbud mot att ta emot en löpande förbindelse av konsumenten samt 19 § om begränsning som gäller tidpunkten för överlåtande av medel. Konsumenten ska i ett sådant kreditförhållande också ha rätt att frånträda kreditavtalet i enlighet med 20—22 § och rätt att få information om kreditavtalet i enlighet med 23—25 §. Tillämpliga blir beroende på situationen också bestämmelserna om återbetalning av en kredit och avslutande av ett kreditavtal i 26—38 §. Vid tillämpningen av bestämmelsen om räntetak är det skäl att notera att också ett arvode eller någon annan avgift som förmedlaren av person-till-person-lån tar ut av konsumenten beaktas när den effektiva räntan för krediten räknas ut. 

De näringsrättsliga bestämmelserna om förmedlare av person-till-person-lån ingår i lagförslag 3. Enligt dem ska förmedling av person-till-person-lån införas i det register över kreditgivare och förmedlare av person-till-person-lån som förs av Regionförvaltningsverket i Södra Finland.  

Paragrafens 4 mom. motsvarar 7 kap. 1 § 3 mom. i den gällande lagen. 

Paragrafens 5 mom. motsvarar annars 7 kap. 1 § 4 mom. i den gällande lagen men momentet får en ny 5 punkt. Enligt punkt 5 ska bestämmelserna i kapitlet i regel inte tillämpas på sådana bostadskrediter och sådana konsumentkrediter med en bostad som säkerhet som omfattas av tillämpningsområdet för 7 a kap. Ett undantag utgör de bestämmelser i 7 kap. som nämns i 7 a kap. 31 §. De ska tillämpas också på dessa konsumentkrediter. 

3 §.Begränsningar i fråga om tillämpningen i vissa andra fall. Det föreslagna 2 mom. motsvarar första meningen i 7 kap. 3 § 2 mom. i den gällande lagen enligt vilket 15 och 16 § inte tillämpas på nyttighetsbundna engångskrediter. Undantagsbestämmelserna om bostadskrediter behövs inte längre på grund av bestämmelserna i det nya 7 a kap.  

5 §.Bestämmelsernas tvingande natur. Den första meningen i paragrafen motsvarar 7 kap. 5 § i den gällande lagen. Ogiltiga är enligt den andra meningen i paragrafen också sådana avtalsvillkor i kreditavtal enligt 1 § 3 mom. som avviker från bestämmelserna i detta kapitel till nackdel för konsumenten. Om avvikelsen beror på att en förmedlare av person-till-person-lån har försummat sin skyldighet enligt 1 § 3 mom. att se till att avtalsvillkoren är lagenliga, kan förmedlaren vara skyldig att ersätta en skada som orsakats den som lämnat krediten i enlighet med principerna om avtalsansvar.  

7 §.Övriga definitioner. Det föreslås att definitionen av bostadskredit som ingår i den gällande 4 punkten ska strykas. Den ersätts med en definition av personal. Med personal avses var och en som är anställd hos en kreditgivare eller kreditförmedlare eller på annat sätt agerar för dennes räkning och som deltar i lämnande eller förmedling av konsumentkrediter. Definitionen omfattar dessutom personer som direkt leder och övervakar de förstnämnda. Definitionen är av betydelse vid tillämpning av bestämmelsen om god kreditgivningssed i 13 §, som enligt den föreslagna 7 a kap. 31 § tillämpas också på krediter som omfattas av tillämpningsområdet för 7 a kap. Genom punkten genomförs delvis artikel 4.11 i direktivet. 

Informationsskyldighet 

8 §.Information som ska lämnas i reklam för konsumentkrediter. Det föreslagna 2 mom. motsvarar annars den gällande lagen, men i momentet tas det in ett omnämnande av att den effektiva räntan och de övriga i 1 mom. avsedda uppgifterna ska lämnas i reklamen på ett klart, väl synligt och koncist sätt. Kravet baserar sig på artikel 4.2 i konsumentkreditdirektivet.  

Kravet på att den information som nämns i momentet ska lämnas i reklamen på ett klart, väl synligt och koncist sätt innebär att den information som ska lämnas i reklam för konsumentkrediter ska presenteras på lämpligt sätt så att konsumenten har en faktisk möjlighet att utan svårighet se eller höra informationen samt utifrån den få en helhetsbild av den erbjudna krediten. I konsumentombudsmannens tillsynspraxis och i domstolspraxis har det redan tidigare (t.ex. HD:2011:65 och HD:2006:6) förts fram att informationen i reklam inte får vara finstilt, och avsikten är inte att ändra rättsläget. Kravet på klarhet och synlighet uppfylls t.ex. inte om den information som avses i momentet eller en del av den presenteras i den nedre kanten av tv-bilden med så liten stil eller under så kort tid att genomsnittskonsumenten inte utan svårighet kan upptäcka den. Kraven uppfylls inte heller om den teckengrad eller den teckengrad kombinerad med bakgrundsfärg som används i tidningsreklam eller reklam vid vägkanterna leder till att genomsnittskonsumenten inte utan svårighet kan se texten. Kravet på koncishet är särskilt viktig när det gäller reklam på nätet. Den information som krävs får inte vara utspridd på olika håll på webbplatsen så att konsumenten inte utan svårighet ser den som en helhet. Sättet på vilket informationen ska lämnas i reklam för att kravet på klarhet, synlighet och koncishet ska uppfyllas baserar sig dock alltid på en helhetsbedömning utifrån en enskild reklam. 

9 §.Information som ska lämnas innan ett kreditavtal ingås. I 2 mom. görs det en teknisk ändring eftersom bestämmelserna om informationsskyldighet i kapitlet inte längre ska gälla bostadskrediter. Informationsskyldigheterna i fråga om dem tas in i det nya 7 a kap.  

11 §.Vissa andra bestämmelser om skyldigheten att lämna förhandsinformation. I 1 mom. görs det en teknisk ändring eftersom bestämmelserna om informationsskyldighet i kapitlet inte längre ska gälla bostadskrediter. Informationsskyldigheterna i fråga om dem tas in i det nya 7 a kap. 

Kreditgivarens skyldighet att handla ansvarfullt 

13 §.God kreditgivningssed. Det föreslagna 2 mom. motsvarar i övrigt den gällande lagen, men momentets 4 punkt preciseras i syfte att genomföra artikel 16.1 i direktivet så att kreditgivaren innan kreditavtalet tecknas utöver utredningar om krediten ska ge konsumenten tillräckliga och klara utredningar om de kompletterande tjänster som erbjuds i samband med krediten. Skyldigheten att ge utredningar om krediten gäller för närvarande alla konsumentkrediter. Det är därför motiverat att också preciseringen om kompletterande tjänster ska gälla alla konsumentkrediter och inte enbart krediter som omfattas av direktivets tillämpningsområde. 

Tillräckliga och klara utredningar ska ges för att konsumenten ska kunna bedöma huruvida de kompletterande tjänster som eventuellt erbjuds, såsom låneskyddsförsäkring, lämpar sig för konsumentens behov och ekonomiska situation. För att konsumenten ska kunna göra en sådan bedömning behöver han eller hon i allmänhet utredningar åtminstone om de centrala egenskaperna hos de kompletterande tjänster som erbjuds och vilka särskilda konsekvenser de har för konsumenten. En utredning ska ges om alla de tjänster som ingår i anbudet så att konsumenten har en faktisk möjlighet att bedöma om anbudet som helhet lämpar sig för honom eller henne.  

Dessutom ska konsumenten enligt punkten informeras om huruvida denne kan säga upp ett avtal om kompletterande tjänster separat och vilka påföljder en uppsägning har för honom eller henne. Skyldigheten att ge en utredning gäller alla slags kompletterande tjänster som erbjuds i samband med krediten oberoende av om den kompletterande tjänsten är en förutsättning för att krediten ska lämnas eller om villkoren i kreditavtalet påverkas av att en kompletterande tjänst skaffas. En sådan följd som avses i momentet kan t.ex. vara att villkoren i det erbjudna kreditavtalet, såsom räntan för krediten, ändras om konsumenten säger upp avtalet om den kompletterande tjänsten. För tydlighetens skull bör det nämnas att bindningsförfarande vid krediter är förbjudet med stöd av 13 a §. God kreditgivningssed förutsätter också att kreditgivaren klart uttrycker att konsumenten kan ingå ett kreditavtal som ingår i ett samerbjudande utan att köpa kompletterande tjänster.  

Paragrafens 4 mom. är nytt. Enligt det får ersättningssystemen för kreditgivarnas och kreditförmedlarnas personal inte vara sådana att de hindrar personalen från att iaktta vad som föreskrivs i 1 och 2 mom. vid kreditgivning, kreditförmedling och tillhandahållande av rådgivningstjänster. Genom momentet genomförs artikel 7.2 och delvis 7.4 i direktivet. 

13 a §.Förbud mot bindningsförfarande. Paragrafen är ny. Den baserar sig på artikel 12 i direktivet. I paragrafen förbjuds ett förfarande med bindning mellan krediten och en tjänst av annat slag eller ett finansiellt instrument, dvs. kreditanbud med villkor att konsumenten för att få krediten ska ingå ett avtal om någon annan finansiell tjänst eller tjänst av annat slag eller ett finansiellt instrument som erbjuds av kreditgivaren eller någon annan näringsidkare på grundval av ett avtal eller annat arrangemang med kreditgivaren. Den föreslagna paragrafen gäller förutom de krediter som omfattas av direktivets tillämpningsområde också andra konsumentkrediter.  

Bindningsförfarande definieras i artikel 4.26 i direktivet som erbjudande eller försäljning av ett kreditavtal i ett paket med andra separata finansiella produkter eller tjänster där kreditavtalet inte görs tillgängligt för konsumenten separat. Den föreslagna paragrafen motsvarar annars i sak definitionen i direktivet, men gäller i enlighet med det som sagts i avsnitt 5.2 i den allmänna motiveringen också en koppling mellan krediten och andra tjänster än finansiella tjänster. Det avgörande är huruvida konsumenten har möjlighet att ingå ett kreditavtal utan att ingå ett avtal om någon annan finansiell tjänst eller tjänst av annat slag eller ett finansiellt instrument som erbjuds av kreditgivaren själv eller någon annan aktör som samarbetar med kreditgivaren. Finansiella tjänster är t.ex. insättnings- och kundkonton, betalningsförmedling, kreditförmedling, försäkringar och försäkringsförmedling, investeringsrådgivning samt andra investeringstjänster. Ett exempel på de tjänster av annat slag som avses i paragrafen är fastighetsförmedlingstjänster. Finansiella instrument är värdepapper som avses i värdepappersmarknadslagen (746/2012) och de övriga instrument som avses i 1 kap. 10 § i lagen om investeringstjänster.  

Samerbjudanden är däremot inte förbjudna med stöd av bestämmelsen heller i fortsättningen. Med samerbjudanden avses enligt artikel 4.27 i direktivet (kallas där paketeringsförfarande) erbjudande eller försäljning av ett kreditavtal i ett paket med andra separata finansiella produkter eller tjänster där kreditavtalet också görs tillgängligt för konsumenten separat men inte nödvändigtvis på samma villkor som när det paketeras med de kompletterande tjänsterna. Med samerbjudande avses t.ex. en situation då konsumenten får krediten på förmånligare villkor om han eller hon i det sammanhanget skaffar sig någon annan finansiell tjänst, såsom ett konto. 

Den föreslagna paragrafen, såsom också de övriga bestämmelserna i 7 kap., gäller alla kreditgivare, inklusive kreditinstitut. På kreditinstitut tillämpas fortfarande också de bestämmelser i 15 kap. 2 och 3 § i kreditinstitutslagen som nämns i avsnitt 3.1.1 i den allmänna motiveringen. Dessutom ska bestämmelserna om informationsskyldighet i 2 kap. 12 § i konsumentskyddslagen i fråga om samerbjudanden och tilläggsförmåner gälla alla kreditgivare.  

Ett villkor för ett kreditanbud kan oberoende av vad som föreskrivs i den föreslagna paragrafen vara att konsumenten har ett relevant försäkringsavtal i samband med kreditavtalet t.ex. i händelse av brand i den egendom som ställs som säkerhet. Det bör dock noteras att ett sådant villkor är tillåtet endast under förutsättning att konsumenten har rätt och en faktisk möjlighet att teckna en försäkring med erforderligt innehåll hos vilken försäkringsgivare som helst. Det är då inte fråga om sådant bindningsförfarande som avses i lagen, eftersom konsumenten har frihet att välja försäkringsgivare. En kreditgivare kan oberoende av vad som föreskrivs i paragrafen också ställa som villkor för ett kreditanbud att konsumenten har en relevant försäkring för att trygga återbetalningen av lånet, om en risksituation i fråga om kunden av grundad anledning förutsätter det och kunden har möjlighet att själv välja hos vilken tjänsteleverantör försäkringen skaffas. Villkor av detta slag är tillåtna genom artikel 12.4 i direktivet. Om en kreditgivare använder ett sådant villkor, förutsätter god kreditgivningssed att kreditgivaren underrättar konsumenten på ett klart och tydligt sätt att denne har möjlighet att teckna en försäkring med det skydd som krävs hos vilken tjänsteleverantör som helst.  

16 a §.Lämnande av kredit. Paragrafen är ny. Paragrafens 1 mom. baserar sig på den andra meningen i artikel 26.1 i direktivet, men har ett vidare tillämpningsområde än bestämmelsen i direktivet genom att det gäller samtliga konsumentkrediter. I momentet påförs kreditgivaren en skyldighet att ange de principer enligt vilka kreditgivaren lämnar konsumentkrediter.  

Bestämmelsen medför inga nya skyldigheter för kreditinstituten eftersom de har motsvarande skyldighet redan nu med stöd av 9 kap. 10 § i kreditinstitutslagen. I praktiken anger kreditinstituten och andra kreditgivare principerna för lämnande av kredit i enlighet med sin affärsstrategi. Principerna kan också innehålla information som utgör affärshemlighet. För klarhetens skull är det skäl att nämna att bestämmelsen inte förutsätter att principerna ska finnas offentligt tillgängliga för konsumenterna.  

Enligt 2 mom. får kreditgivaren lämna kredit till en konsument endast om bedömningen av konsumentens kreditvärdighet visar att de skyldigheter som följer av ett kreditavtal sannolikt kommer att fullgöras på det sätt som avtalet förutsätter. Om avsikten är att flera konsumenter ska svara solidariskt för skulden, ska bedömningen av kreditvärdigheten visa att konsumenterna som helhet sannolikt kommer att fullgöra de skyldigheter som följer av kreditavtalet på det sätt som avtalet förutsätter. Genom momentet genomförs artikel 18.5 a i direktivet.  

Syftet med momentet är att säkerställa att kreditgivarens process för lämnande av kredit är korrekt ur den enskilda konsumentens synvinkel och förhindra att kredit lämnas till konsumenter som löper risk att bli överskuldsatta. Om kreditgivaren är ett kreditinstitut, begränsar också bestämmelserna om kreditinstitutens riskhantering möjligheterna att lämna kredit. Bestämmelser om bedömning av kreditvärdigheten och hur den genomförs finns separat i 14 § och i den nya 7 a kap. 11 §.  

Den föreslagna bestämmelsen hindrar inte en kreditgivare att lämna kredit t.ex. i olika situationer av kreditarrangemang då konsumentens betalningsförmåga har försvagats jämfört med den ursprungliga situationen då krediten lämnades, men det utifrån en helhetsbedömning kan anses vara i konsumentens intresse att kredit lämnas. Det kan vara fråga om sådana kreditarrangemang t.ex. när flera krediter slås samman till en kredit i syfte att sänka kreditkostnaderna samt vid sådan tillfällig finansiering vid bostadsbyte som är avsedd att bli kortvarig. Avsikten med bestämmelsen är inte att förhindra lämnande av ytterligare kredit t.ex. i sådana byggprojekt där budgeten överskrids och kostnaderna för skötseln av lånet blir alltför stora för konsumenten, men ytterligare kredit anses nödvändig för att huset ska kunna färdigställas och lånet kunna återbetalas med köpesumman. I sådana situationer är det i såväl konsumentens som kreditgivarens intresse att ytterligare kredit lämnas, om det är sannolikt att huset blir sålt och krediten på så sätt kan återbetalas.  

Konsumentens rätt till information medan kreditavtalet gäller 

23 §.Konsumentens rätt till en amorteringstabell på begäran. I 1 mom. föreslås en strykning av bestämmelsen enligt vilken kreditgivaren har rätt till en skälig ersättning för kostnaderna för att ge en amorteringstidtabell, om konsumenten ber att få amorteringstabellen oftare än en gång om året. Enligt artikel 8 i direktivet ska medlemsstaterna, när information tillhandahålls konsumenterna i överensstämmelse med kraven i direktivet, säkerställa att den informationen tillhandahålls utan kostnad för konsumenten. Direktivet innehåller dock ingen skyldighet att ge en amorteringstidtabell. En konsekvent reglering talar dock för att kravet på avgiftsfrihet utsträcks också till amorteringstidtabellen också i de fall då konsumenten ber att få en sådan oftare än en gång om året. För klarhetens skull konstateras att kreditgivaren inte är skyldig att ge en amorteringstidtabell, om kunden har fått en sådan redan tidigare och inga ändringar har skett i den sedan dess. 

24 §.Ändringar av ränta och avgifter. Paragrafens 1 mom. ändras för det första för att klargöra att den ränta som konsumenten ska betala på krediten får förändras medan kreditavtalets gäller endast i enlighet med ändringarna i referensräntan. På andra grunder har kreditgivaren inte rätt att ändra räntan på krediten medan kreditavtalet gäller. En redogörelse för orsakerna till denna regleringslösning finns i avsnitt 5.3 i den allmänna motiveringen.  

I synnerhet vid bostadskreditavtal och andra krediter med längre löptid är det vanligt att räntan på krediten binds till en i avtalet specificerad referensränta. På marknaden används också avtal om räntetak och avtal om räntekorridor. I ett räntetaksavtal begränsas referensräntans rörlighet uppåt så att det anges en övre gräns för referensräntan. Över den stiger räntan inte. I en räntekorridor ges referensräntan på lånet en undre och en övre gräns inom vilka referensräntan rör sig. Både ett villkor om räntetak och ett villkor om räntekorridor är separata ränteskydd för konsumenten för att räntan inte ska stiga. Det skydd räntetaket medför betalas i allmänhet när avtalet ingås på förhand enligt bankens prissättning medan skyddet vid en räntekorridor betalas genom att referensräntan ges en av banken fastställd nedre gräns under vilken räntan inte sjunker.  

Bestämmelsen utgör inget hinder för att använda ett räntetaksvillkor i ett kreditavtal, eftersom ett sådant villkor begränsar referensräntans rörlighet endast uppåt, dvs. alltid till förmån för konsumenten. Ett sådant avtalsvillkor kan således användas oberoende av 5 §, som gäller bestämmelsernas tvingande natur. Bestämmelsen är inte heller något hinder för att använda ett villkor om räntekorridor, eftersom dess syfte också är att skydda mot räntestegringar. En förutsättning är dock att den nedre och den övre gränsen för räntekorridoren har fastställts till en objektivt sett jämlik nivå. Enbart ett s.k. räntegolv, dvs. ett villkor i ett kreditavtal enligt vilket en sänkning av referensräntan inte beaktas efter en viss gräns, ska däremot inte vara tillåtet, om inte något annat följer av 7 a kap. 31 § 2 mom.  

Bestämmelsens syfte är inte heller att ett villkor om ändring av räntan inte skulle kunna tas in i ett samerbjudande. Räntan på krediten får således ändras på ett sätt som specificeras i samerbjudandet i det fall att kunden säger upp ett avtal som gäller den ena tjänsten i samerbjudandet.  

I personallån är det vanligt att arbetstagaren på grund av anställningsförhållandet får krediten t.ex. med lägre marginal än övriga kunder. Den föreslagna bestämmelsen hindrar inte att räntan på krediten när grunden för den lägre räntan, dvs. anställningsförhållandet upphör, stiger på det sätt som specificeras i avtalet.  

För det andra innehåller momentet en ny bestämmelse, enligt vilken kreditgivaren ska bevara uppgifterna om referensräntans storlek. Genom bestämmelsen genomförs artikel 24 b i direktivet. Till skillnad från direktivet är det kreditgivaren som är skyldig att bevara uppgifterna om referensräntan, medan direktivet påför denna skyldighet antingen på kreditgivaren eller den som erbjuder referensräntan. Kreditgivaren står i avtalsförhållande till konsumenten och konsumenten kan utan besvär vända sig till kreditgivaren för att få uppgifter, medan den som erbjuder referensränta, såsom Euribor, kan vara en utländsk sammanslutning. För att ett bättre konsumentskydd och större rättssäkerhet ska uppnås är det motiverat att kreditgivaren entydigt är den som ska bevara uppgifterna. Bevaringstiden motsvarar den tid som anges i 7 a kap. 11 § 3 mom.  

Till 2 mom. flyttas det krav som tidigare ingick i 1 mom. om att ränteändringar ska göras jämlikt och utan att diskriminera konsumenter. Genom kravet genomförs delvis artikel 44.3 i Europaparlamentets och rådets direktiv 2007/64/EG om betaltjänster på den inre marknaden.  

Till 2 mom. flyttas också det krav som tidigare ingick i 3 mom., dvs. att konsumenten ska informeras om varje ränteändring innan ändringen träder i kraft. I momentet görs det dessutom en teknisk ändring eftersom meningen om bostadskrediter inte längre behövs i och med de nya bestämmelserna i 7 a kap. 

Paragrafens 3 mom. motsvarar till övriga delar i sak gällande 7 kap. 24 § 3 mom., men i enlighet med vad som konstaterats ovan flyttas kravet om att konsumenten ska ges informationen enligt 2 mom. innan ändringen träder i kraft, av lagtekniska skäl till 2 mom. 

Paragrafens 4 mom. motsvarar i övrigt gällande 7 kap. 24 § 4 mom., men det föreslås att det i momentet tas in en ny bestämmelse som begränsar beloppet av avgiftshöjningen. Bestämmelsen begränsar en höjning av de avgifter som tas ut på grund av kreditavtalet. Av konsumenten får man endast ta ut den faktiska ökning som kreditgivaren haft i de kostnader på grund av vilka avgift enligt kreditavtalet tas ut. Det måste alltså finna ett orsakssamband mellan avgiftsgrunden och höjningsgrunden. Det är dock tillräckligt att avgiften förändras ungefär lika mycket som de faktiska kostnaderna ökar. Det förutsätts ingen total överensstämmelse med de faktiska kostnaderna. 

51 §.Tillsynsmyndigheter. Paragrafens 1 mom. motsvarar i sak den gällande lagen. Det görs en teknisk ändring i momentet för att klargöra att Finansinspektionen utövar tillsyn också över verksamhet som bedrivs i filialer som utländska EES-tillsynsobjekt har i Finland samt över tjänster som utländska tillsynsobjekt tillhandahåller i Finland utan att etablera filial. 

Paragrafens 2 och 3 mom. motsvarar den gällande lagen. 

7 a kap. Konsumentkrediter som har samband med bostadsegendom

Allmänna bestämmelser 

1 §.Tillämpningsområde. Enligt 1 mom. föreskrivs det i kapitlet om bostadskrediter och om konsumentkrediter med en bostad som säkerhet. Bostadskredit och konsumentkredit med en bostad som säkerhet definieras i kapitlets 3 § 1 mom. och 2 och 3 punkt. 

I 2 mom. anges undantagen i fråga om tillämpningsområdet. Enligt 1 punkten i momentet tillämpas bestämmelserna om konsumentkrediter som har samband med bostadsegendom inte på krediter där ingen ränta eller andra avgifter tas ut. Förutsättningen är alltså att krediten är fullständigt avgiftsfri för konsumenten. Undantaget baserar sig på artikel 3.2 c i direktivet. 

Enligt 2 punkten har vissa typer av omvända bolån lämnats utanför kapitlets tillämpningsområde. En förutsättning för uteslutningen är att krediten enligt kreditavtalet lämnas eller utlovas bli lämnad i utbyte mot medel som fås vid en försäljning av bostadsegendom och att kreditgivaren har rätt att kräva återbetalning av krediten först när kredittagaren uppnår en i kreditavtalet angiven ålder eller avlider. I Finland erbjuds veterligen inga sådana omvända bolån som avses i punkten. Undantaget baserar sig på artikel 3.2 a i direktivet. 

Enligt 3 punkten ska bestämmelserna i kapitlet inte tillämpas på krediter som lämnas av pantlåneinrättningar och som konsumenten använder som en tillfällig lösning under högst ett år under övergången till ett annat finansiellt arrangemang för bostadsegendomen. Tillämpningsundantaget baserar sig på artikel 3.3 d, men är snävare än i direktivet och gäller endast krediter lämnade av pantlåneinrättningar. En redogörelse för orsakerna till tillämpningsundantaget finns i avsnitt 5.2 i den allmänna motiveringen.  

2 §.Bestämmelsernas tvingande natur. Enligt paragrafen är avtalsvillkor som avviker från bestämmelserna i kapitlet till nackdel för konsumenten ogiltiga. Ogiltigheten påverkas inte av att konsumenten eventuellt har en bättre ställning enligt övriga avtalsvillkor än enligt lagen. Genom paragrafen genomförs artikel 41 a i direktivet. 

3 §.Definitioner. Punkt 1 i 1 mom. innehåller en definition av bostadsegendom. Med det avses bostadsfastigheter, sådana andelar i en sammanslutning som ger rätt att besitta en bostadslägenhet samt bostadshus som är belägna på ett område som besitts med stöd av nyttjanderätt. Det saknar betydelse om fastigheten eller lägenheten är avsedd för varaktigt bruk eller som fritidsbostad. Bostadsegendom kan också vara en investeringsbostad. Också en bostadsrättsbostad eller delägarbostad ska betraktas som sådan bostadsegendom som avses i punkten. 

Momentets 2 punkt innehåller en definition av bostadskredit. Definitionen avviker i två viktiga avseenden från den nuvarande definitionen av bostadskredit i 7 kap. 7 § 4 punkten. Definitionen behöver ändras för att artikel 3.1 b i direktivet ska kunna genomföras. Genom definitionen genomförs också artikel 4.2 och 4.3 i direktivet. 

För det första ska en kredit betraktas som bostadskredit som en näringsidkare, dvs. kreditgivaren, lämnar eller utfäster sig att lämna en konsument som lån, betalningsanstånd eller som något annat motsvarande ekonomiskt arrangemang för förvärv av bostadsegendom. Det nya är att det i sådana fall är fråga om bostadskrediter oberoende av om det är det objekt som förvärvas eller annan bostadsegendom som ställs som säkerhet för krediten. Det väsentliga är att syftet med krediten är att förvärva bostadsegendom eller att bevara äganderätten till den. Det kan vara fråga om att bevara äganderätten t.ex. när äkta makar skiljer sig och den part som äger bostaden på grund av skyldigheten att betala utjämning blir tvungen att ta lån för att bevara sin äganderätt till bostaden. Också lån som tas för att betala bort ett lån till bolaget ska betraktas som en sådan bostadskredit som avses i punkten. En annan central skillnad jämfört med den nuvarande definitionen av bostadskredit är att krediter som lämnas för renovering av en bostadslägenhet, en bostadsfastighet eller ett bostadshus inte betraktas som bostadskrediter.  

Momentets 3 punkt innehåller en definition av konsumentkredit med en bostad som säkerhet. Genom punkten genomförs artikel 3.1 a och delvis artikel 4.2 och 4.3 i direktivet. Det väsentliga i definitionen är att sådana andelar i en sammanslutning som ger rätt att besitta en bostadslägenhet, bostadsfastigheter eller nyttjanderätten till en fastighet ställs som säkerhet för krediten, men att kreditgivaren lämnar eller utfäster sig att lämna krediten för något annat ändamål än för förvärv av ett sådant objekt eller för bevarande av äganderätten till det. Om annan fast egendom ställs som säkerhet för krediten, såsom en skogsfastighet, eller en affärslägenhet, betraktas krediten inte som en konsumentkredit med en bostad som säkerhet. På krediten tillämpas då bestämmelserna i 7 kap., förutsatt att det är fråga om kredit som en näringsidkare lämnar en konsument. 

Momentets 4 punkt innehåller en definition av kredit i utländsk valuta. Genom punkten genomförs artikel 4.28 i direktivet. Det är fråga om en kredit i utländsk valuta i synnerhet när krediten lämnas eller utlovas bli lämnad i någon annan valuta än valutan i den EU- eller EES-stat där konsumenten är bosatt. En kredit ska betraktas som kredit i utländsk valuta t.ex. om en i Finland bosatt konsument tar en kredit i svenska kronor. Detsamma gäller om en i Sverige bosatt konsument tar en kredit i euro. Så är fallet också om krediten lämnas av en finländsk kreditgivare. Det avgörande är var konsumenten är bosatt vid den tidpunkt då krediten lämnas.  

För det andra är det enligt definitionen fråga om kredit i utländsk valuta när valutan lämnas i någon annan valuta än valutan i den stat där konsumenten får sin utkomst eller där han eller hon har de tillgångar från vilka krediten ska återbetalas. Som kredit i utländsk valuta anses således t.ex. en sådan kredit som en i Finland bosatt konsument tar i euro om han eller hon får sin utkomst i svenska kronor. Avgörande vid bedömningen är i vilken valuta konsumenten får merparten av den utkomst på vilken bedömningen av konsumentens kreditvärdighet baserar sig eller på motsvarande sätt i vilken valuta konsumenten får merparten av de tillgångar från vars försäljningsintäkter krediten på basis av kreditvärdighetsbedömningen ska återbetalas. 

För klarhetens skull är det skäl att konstatera att krediten efter den tidpunkt då den lämnats inte kan ändras till en kredit i utländsk valuta t.ex. av den anledningen att konsumentens bosätter sig i en annan stat.  

Momentets 5 punkt innehåller en definition av rådgivningstjänster. Genom punkten genomförs artikel 4.21 i direktivet. Det väsentliga i definitionen är att konsumenten tillhandahålls en personligt anpassad rekommendation för att kunna välja kreditavtal. Med rådgivningstjänster avses däremot inte sådana åtgärder som kan anses sedvanliga, såsom presentation av kreditgivarens produkter, kartläggning av kundernas behov, marknadsföring eller uppfyllande av i lag angivna informationsskyldigheter eller en utredningsskyldighet.  

Momentets 6 punkt innehåller en definition av kreditförmedlare. Genom punkten genomförs artikel 4.5 i direktivet. Definitionen motsvarar den som finns i 7 kap. 7 § 6 punkten, men gäller endast förmedlare av bostadskrediter och konsumentkrediter med en bostad som säkerhet. Som kreditförmedlare betraktas inte en person som endast introducerar en konsument för en kreditgivare eller kreditförmedlare, såsom en fastighetsförmedlare som ger dem som överväger ett bostadsköp kontaktinformation till ett visst kreditinstitut för att de ska få ett kreditanbud.  

Momentets 7 punkt innehåller en definition av personal. Med personal avses var och en som är anställd hos en kreditgivare eller kreditförmedlare eller på annat sätt agerar för dennes räkning och som deltar i lämnande eller förmedling av konsumentkrediter som har samband med bostadsegendom. Definitionen omfattar dessutom personer som direkt leder och övervakar de förstnämnda. Genom punkten genomförs delvis artikel 4.11 i direktivet. 

I 8 punkten definieras lämnande av information i varaktig form. Definitionen baserar sig med stöd av den hänvisningsbestämmelse som ingår i artikel 4.18 på artikel 3 m i konsumentkreditdirektivet. Definitionen motsvarar definitionen i 7 kap. 7 § 7 punkten. 

Genom 2 mom. genomförs artikel 4.13 i direktivet. Definitionen av kreditkostnader i momentet är vidare än motsvarande definition i 7 kap. 6 §.  

Kreditkostnaderna ska i fortsättningen också för bostadskrediternas del, till skillnad från 7 kap. 6 § 2 mom., inbegripa kostnader för den försäkring som krävs för att trygga säkerhetens värde. Enligt definitionen i direktivet ska kreditkostnader också inbegripa kostnaderna för egendomsvärdering, om en sådan värdering krävs för att kredit ska erhållas. Detta behöver dock inte nämnas separat i den nationella bestämmelsen, eftersom det då är fråga om en kostnad som tas ut på grund av kreditförhållandet. I enlighet med definitionen i direktivet ska registreringskostnader för överföring av äganderätt till fastighet däremot inte anses vara kreditkostnader. Inte heller sådana kostnader behöver nämnas separat i definitionen av kreditkostnader, eftersom det inte är fråga om kostnader som tas ut på grund av kreditförhållandet. I övrigt motsvarar definitionen av kreditkostnader den definition som finns i gällande 7 kap. 6 §.  

Definitionen av effektiv ränta i 3 mom. motsvarar definitionen i 7 kap. 6 § 3 mom. Definitionen baserar sig på artikel 4.15 i direktivet. 

Bestämmelser om hur den effektiva räntan beräknas och om de antaganden som ska användas vid beräkningen utfärdas genom förordning av justitieministeriet, och momentet ska därför innehålla ett bemyndigande om detta. 

Informationsskyldighet 

4 §.Allmän informationsskyldighet. Paragrafen är ny. Genom den genomförs artikel 13.1 i direktivet. I paragrafen föreskrivs det om den information som kreditgivare och ombud för kreditgivare ska tillhandahålla om de krediter de erbjuder. Informationen ska tillhandahållas på papper t.ex. i kreditgivarens verksamhetsställe eller i elektronisk form, t.ex. på kreditgivarens webbplats.  

Informationen ska vara tydlig och övergripande. Informationen ska innehålla åtminstone de omständigheter som nämns i paragrafen, men vid behov också andra väsentliga omständigheter för att ge en korrekt allmän bild av de krediter som erbjuds.  

Information som ska tillhandahållas är bl.a. kreditgivarens eller kreditförmedlarens namn och besöksadress, ändamålet med krediten, de former av säkerhet som kreditgivaren godkänner och kreditavtalets löptid. När det gäller att informera om besöksadress är det tillräcklig att det t.ex. på kreditgivarens webbplats finns en förteckning över dennes kontor. Informationsskyldigheten gäller också typer av tillgänglig kreditränta, vilka konsekvenser en kredit i utländsk valuta har för konsumenten, kompletterande tjänster, alternativ för återbetalning av krediten och följderna av avtalsbrott. I fråga om krediter i utländsk valuta ska det ges information om vilka risker valutakursfluktuationer medför för konsumenten. Information ska också ges om ett representativt exempel på kreditbeloppet eller kreditgränsen, kreditkostnaderna, det sammanlagda beloppet av den kredit och de kreditkostnader som konsumenten ska betala och den effektiva räntan samt information om eventuella ytterligare kostnader som inte ingår i kreditkostnaderna och som konsumenten ska betala i samband med ett kreditavtal. 

För klarhetens skull är det skäl att nämna att det självfallet är möjligt att komma överens med den enskilde konsumenten om de omständigheter som nämns i den allmänna informationen. Kreditavtalets löptid, lånemarginalen samt behovet av egendomsvärdering är t.ex. typiska omständigheter som varierar från kund till kund.  

Genom paragrafen kompletteras de informationsskyldigheter som finns angivna någon annanstans i lag. Sådana informationsskyldigheter finns bl.a. i 177 § i informationssamhällsbalken (917/2014). 

5 §.Information som ska lämnas i reklam för bostadskrediter. I paragrafen föreskrivs det om vilken information som ska lämnas i reklam för bostadskrediter. Till skillnad från artikel 11 i direktivet gäller paragrafen endast bostadskrediter. På information som ska lämnas i reklam för konsumentkrediter med en bostad som säkerhet tillämpas 7 kap. 8 § på basis av den hänvisningsbestämmelse som ingår i 7 a kap. 9 §. 

I 1 mom. föreskrivs det om vilken information som ska lämnas i reklam när räntan för krediten eller någon annan sifferuppgift som beskriver kostnaderna för krediten, såsom behandlings- eller expeditionskostnaderna för krediten, eller någon annan information om villkoren i kreditavtalet, t.ex. kredittiden, framgår av reklamen. Genom momentet genomförs artikel 11.1 och 11.2 i direktivet. Informationsskyldigheten enligt momentet är dock mer omfattande än vad som förutsätts i direktivet, eftersom informationsskyldigheten enligt artikel 11.1 endast gäller sådan reklam där räntesatsen eller andra sifferuppgifter om kreditkostnaderna anges. Enligt det föreslagna momentet ska informationsskyldigheten också gälla reklam av vilken annan information om villkoren i kreditavtalet framgår. Detta motsvarar således bestämmelsen i 7 kap. 8 § 1 mom., som gäller andra konsumentkrediter. En redogörelse för orsakerna till att tillämpningsområdet för bestämmelsen utvidgas ges i avsnitt 5.2 i den allmänna motiveringen.  

Om någon av ovannämnda omständigheter framgår av reklamen, ska också den effektiva räntan uppges i reklamen. Också kreditgivarens eller en eventuell kreditförmedlares namn ska framgå av reklamen, liksom vid behov ett omnämnande av säkerhet som krävs för kreditavtalet, krediträntan och övriga kreditkostnader samt kreditbeloppet eller kreditgränsen. Också kreditavtalets löptid ska nämnas, dvs. om det är fråga om ett kreditavtal som gäller för viss tid eller tills vidare, samt hur lång den eventuella fristen är. Nämnas ska dessutom amorteringars storlek och antal, kreditbeloppet och kreditkostnaderna sammanlagt samt vid behov en varning om att valutakursfluktuationer kan komma att påverka det belopp som ska betalas av konsumenten.  

Enligt 2 mom. ska den effektiva räntan och den övriga information som avses i 1 mom. ges på ett klart, koncist och väl synligt sätt med hjälp av ett representativt exempel. En redogörelse för vad kravet på klarhet, koncishet och synlighet innebär ges ovan i samband med 7 kap. 8 § 2 mom. Finansinspektionen ska utfärda närmare föreskrifter om kriterierna för hur ett representativt exempel ställs upp. Exemplet ska beskriva typiska bostadskrediter på marknaden. Om kreditgivaren inte alls erbjuder sådan kredit, ska exemplet vara representativt i förhållande till de krediter som kreditgivaren i fråga erbjuder. I momentet sägs det vidare att den effektiva räntan i reklam ska anges minst lika synligt som de övriga siffror som beskriver kreditkostnaderna. Genom momentet genomförs artikel 11.2, 11.3 och 11.5 i direktivet. 

Enligt 3 mom. ska konsumenten tillsammans med den effektiva räntan informeras om skyldigheten att ingå ett avtal om försäkring eller om någon annan kompletterande tjänst, om ingående av ett sådant avtal är en förutsättning för att få krediten på de villkor som anges i reklamen, men kostnaderna för den kompletterande tjänsten inte kan bestämmas på förhand och således inte kan beaktas när den effektiva räntan räknas ut. En motsvarande skyldighet ingår i 7 kap. 8 § 3 mom. Genom momentet genomförs artikel 11.4 i direktivet. 

6 §.Information som ska lämnas innan ett bostadskreditavtal ingås. I 1 mom. finns bestämmelser om vilken information som ska lämnas innan ett bostadskreditavtal ingås. I likhet med 5 § ska paragrafen inte gälla konsumentkrediter med en bostad som säkerhet, utan bestämmelser om skyldigheten att lämna förhandsinformation i fråga om dem finns i 9 §. 

Kreditgivaren och kreditförmedlaren ska ge konsumenten information om de omständigheter som nämns i momentet utan ogrundat dröjsmål efter det att konsumenten har gett uppgifter om sina förväntningar och behov när det gäller krediten samt om sina ekonomiska förhållanden och i god tid innan ett bostadskreditavtal ingås. Det är inte fråga om vilken information som helst som konsumenten ger om sina förhållanden, utan bestämmelsen har en koppling till 12 § som gäller kreditgivarens begäran om uppgifter från konsumenten för att kunna bedöma dennes kreditvärdighet. Avsikten är att konsumentens personliga förhållanden samt förväntningar och behov ska beaktas i den förhandsinformation som ges, till skillnad från den allmänna information som ska hållas tillgänglig med stöd av 4 §.  

Förhandsinformationen ska lämnas i varaktig form på ESIS-blanketten. En definition av lämnande av information i varaktig form ges i 3 § 1 mom. 8 punkten.  

I momentet konstateras det dessutom för klarhetens skull att om bestämmelser om informationsskyldighet finns också någon annanstans i lag, ska kreditgivaren lämna också den information som förutsätts i dessa andra lagar till konsumenten. Beroende på fallet kan t.ex. bestämmelserna om distansförsäljning av finansiella tjänster och finansiella instrument i 6 a kap. i konsumentskyddslagen och bestämmelserna i 177 § i informationssamhällsbalken bli tillämpliga. 

Avsikten är att utfärda närmare bestämmelser om förhandsinformationen och ESIS-blanketten genom förordning av statsrådet, och paragrafens 2 mom. innehåller därför ett bemyndigande som gäller detta. 

Genom paragrafen och den förordning som anknyter till den genomförs artikel 14.1 och 14.2 i direktivet. 

7 §.Anbud om bostadskredit per telefon. Paragrafen innehåller bestämmelser om den minimiinformation som konsumenten ska ges vid anbud om bostadskredit per telefon. I likhet med den informationsskyldighet som anges i 5 och 6 § ska paragrafen inte gälla konsumentkrediter med en bostad som säkerhet, utan bestämmelser om skyldigheten att lämna förhandsinformation i fråga om dem finns i 9 §. 

Med telefonförsäljning avses traditionell telefonförsäljning där kreditgivaren bjuder ut kredit muntligen, och alltså inte kommunikation t.ex. via sms. Bestämmelsen tillämpas oberoende av om det är konsumenten eller kreditgivaren som tar initiativ till kontakten och den tillämpas förutom vid distansförsäljning också när kredit bjuds ut per telefon, även om själva avtalet sist och slutligen ingås t.ex. i näringsidkarens lokaler. Om det är fråga om distansförsäljning, blir också bestämmelserna om förhandsinformation vid distansförsäljning i 6 a kap. tillämpliga.  

Skyldigheterna att lämna information vid telefonförsäljning är mer begränsade än i andra fall. Enligt förslaget ska kreditgivaren och kreditförmedlaren vid telefonförsäljning ge konsumenten information om den typ av kredit som erbjuds, räntan och övriga kreditkostnader och återbetalningen av krediten. Närmare bestämmelser om förhandsinformationen utfärdas genom förordning av statsrådet. 

Genom paragrafen och den förordning som anknyter till den genomförs artikel 14.10 i direktivet. 

8 §.Avgiftsfrihet. Enligt paragrafen är det förbjudet att ta ut avgifter av konsumenten för lämnande av i kapitlet avsedd information. Utgångspunkten är även i övrigt att någon separat avgift inte får tas ut av konsumenten när näringsidkaren fullgör sin lagstadgade informationsskyldighet, men med tanke på rättssäkerheten anses det motiverat att artikel 8 om kostnadsfritt tillhandahållande av information genomförs med en uttrycklig bestämmelse.  

9 §.Informationsskyldighet som gäller konsumentkrediter med bostad som säkerhet. I paragrafen föreskrivs det om informationsskyldighet som gäller konsumentkrediter med en bostad som säkerhet. På reklam för konsumentkrediter med en bostad som säkerhet tillämpas bestämmelserna i 7 kap. 8 § och på informationsskyldighet innan ett kreditavtal ingås bestämmelserna i 9—12 § i det kapitlet. Paragrafen baserar sig på den möjlighet som medlemsstaterna har enligt artikel 3.3 a i direktivet att tillämpa vissa bestämmelser om informationsskyldighet i konsumentkreditdirektivet på konsumentkrediter med en bostad som säkerhet. En redogörelse för orsakerna till att utnyttja medlemsstatsoptionen finns i avsnitt 5.2 i den allmänna motiveringen.  

Kreditgivaren och kreditförmedlaren ska dessutom vid lämnande av i 7 kap. 9 och 10 § avsedd information till konsumenten meddela huruvida kreditgivaren eller kreditförmedlaren tillhandahåller rådgivningstjänster. Genom bestämmelsen genomförs delvis artikel 22.1 i direktivet. Det bör dock observeras att en kreditgivare till följd av 4 § i lagförslag 2 inte har rätt att tillhandahålla rådgivningstjänster. 

Kreditgivarens skyldighet att handla ansvarsfullt vid lämnande av kredit 

10 §.Förfaranden och uppgifter vid bedömningen av konsumenternas kreditvärdighet. I 1 mom. föreskrivs det om kreditgivarens skyldighet att bestämma utifrån vilka uppgifter konsumenternas kreditvärdighet bedöms samt vilka förfaranden som iakttas vid bedömningen. Med förfaranden som iakttas vid bedömningen av kreditvärdigheten avses förutom de konkreta åtgärder genom vilka konsumentens kreditvärdighet bedöms också de sätt genom vilka riktigheten hos de uppgifter som används vid bedömning av kreditvärdigheten säkerställs. Momentet baserar sig på artikel 18.2 i direktivet. 

För klarhetens skull är det skäl att konstatera att det i bestämmelsen inte förutsätts att nämnda uppgifter hålls offentligt tillgängliga för kreditgivarens kunder. Uppgifterna och förfarandena kan innehålla omständigheter som bildar en del av kreditgivarens affärshemlighet.  

Paragrafens 2 mom. gäller ersättning till den personal hos kreditgivaren som svarar för bedömning av kreditvärdigheten. Bestämmelserna i momentet tillämpas både på de personer som i praktiken svarar för bedömningen av enskilda konsumenters kreditvärdighet och på dem som bestämmer de uppgifter och förfaranden som avses i 1 mom.  

Enligt momentet ska kreditgivarna när de utarbetar och tillämpar riktlinjer för ersättning till ovan nämnda personer se till att riktlinjerna förhindrar uppkomsten av intressekonflikter. I momentet nämns separat att beloppet av ersättningen till personalen inte får vara beroende av antalet eller andelen godkända kreditansökningar. Bestämmelserna i momentet kompletterar för kreditinstitutens del bestämmelserna i 8 kap. i kreditinstitutslagen. Genom momentet genomförs delvis artikel 7.3 b i direktivet. 

I 3 mom. innehåller ytterligare kriterier när det gäller riktlinjerna för ersättning. Genom momentet genomförs artikel 7.3 i direktivet. 

11 §.Skyldighet att bedöma en konsuments kreditvärdighet. Paragrafen innehåller bestämmelser om bedömning av en konsuments kreditvärdighet. Enligt 1 mom. ska kreditgivaren innan ett kreditavtal ingås noggrant bedöma en konsuments kreditvärdighet. Bedömningen av kreditvärdigheten ska grundas på behövliga, tillräckliga och proportionella uppgifter om konsumentens inkomster och utgifter samt övriga ekonomiska förhållanden. I fråga om principerna motsvarar momentet 7 kap. 14 §, som gäller andra konsumentkrediter, men är mer detaljerat. Genom momentet genomförs artikel 18.1 och artikel 20.1 i direktivet. 

Alla behövliga och betydelsefulla faktorer som kan inverka på konsumentens förmåga att återbetala krediten under kredittiden ska beaktas i bedömningen av kreditvärdigheten. Enbart kontroll av kreditupplysningarna är inte nog för att bedöma konsumentens kreditvärdighet, utan kreditgivaren bör inhämta också andra uppgifter om konsumentens ekonomiska ställning av konsumenten själv och från andra tillgängliga ändamålsenliga interna eller externa källor. Uppgifter som behövs för att bedöma konsumentens kreditvärdighet är t.ex. konsumentens inkomster, förmögenhet, utgifter, skulder och eventuella borgensansvar. För utredande av betalningsmånen bör också en eventuell höjning av ränteutgifterna för krediten beaktas. Likaså bör omständigheter som påverkar inkomsternas kontinuitet, såsom anställnings- eller tjänsteförhållandets karaktär, beaktas. Ju större lån det är fråga om, desto utförligare utredningar krävs. Uppgifterna bör samtidigt vara proportionella, dvs. de uppgifter som används för att bedöma kreditvärdigheten får inte vara oproportionellt omfattande i förhållande till det som eftersträvas. Uppgifterna ska också vara sådana att kreditgivaren enligt bestämmelserna om skydd av personuppgifter har rätt att registrera och använda sådana personuppgifter. 

De uppgifter som används ska vara tillförlitliga och kreditgivaren ska därför på behörigt sätt kontrollera att uppgifterna är korrekta. Exempelvis för att kontrollera uppgifterna om konsumentens inkomster ska konsumenten beroende på situationen uppmanas att lämna in t.ex. lönebesked eller pensionsbesked, eller i fråga om jordbrukare det senaste beskattningsbeslutet inklusive specifikationsdelen. Det är alltså inte nog att konsumenten endast i låneansökan ombeds att t.ex. med sin underskrift intyga att de givna inkomstuppgifterna är korrekta. Kreditgivaren ska bedöma om de uppgifter som konsumenten lämnat om sina utgifter är korrekta t.ex. genom att jämföra dem med de genomsnittliga levnadskostnaderna för liknande konsumenter. Vid behov kan kreditgivaren också kräva kunderna på ytterligare utredningar och dokumentation för att säkerställa att de givna uppgifterna om utgifter håller streck.  

Kreditgivaren ska på basis av ovan avsedda uppgifter, vars riktighet har kontrollerats på behörigt sätt, bedöma huruvida konsumenten förmår fullgöra sina skyldigheter enligt kreditavtalet. Såsom konstateras i artikel 18.3 i direktivet får kreditprövningen till övervägande del inte grunda sig på att värdet på den egendom som ställs som säkerhet för krediten överstiger kreditbeloppet eller antagandet att värdet kommer att överstiga kreditbeloppet i framtiden. Ett undantag utgör de situationer då konsumentens avsikt från början varit att skulden efter kredittidens utgång betalas med den köpesumma som försäljningen av egendomen inbringar, och inte på normalt sätt med inkomster under kreditförhållandets gång. 

Paragrafens 2 mom. gäller situationer då kreditbeloppet eller kreditgränsen höjs i ett senare skede. Enligt momentet är kreditgivaren då skyldig att försäkra sig om att informationen om konsumenten är aktuell. Om höjningen är betydande, ska konsumentens kreditvärdighet bedömas på nytt innan avtal ingås om höjningen. Bestämmelsen baserar sig på artikel 18.6 i direktivet och motsvarar 7 kap. 14 § 2 mom. 

I 3 mom. föreskrivs det om kreditgivarens skyldighet att bevara uppgifterna om de åtgärder som gäller bedömningen av konsumentens kreditvärdighet. Uppgifterna ska bevaras i fem år från det att krediten i sin helhet har förfallit till betalning. Om oenighet uppstår kring ett kreditavtal, ska uppgifterna dock bevaras till dess parterna har kommit överens om saken eller ärendet har avgjorts. Bevaringen kan ske antingen på papper eller i elektronisk form i kreditgivarens datasystem. Bestämmelsen baserar sig på artikel 18.2 i direktivet, men på grund av rättssäkerheten anses det befogat att föreskriva också om hur länge uppgifterna ska bevaras. Bevaringstiden motsvarar den tid som föreskrivs i 7 kap. 16 § i fråga om identitetskontroll.  

12 §.Begäran om uppgifter från konsumenterna. I paragrafen föreskrivs det om uppgifter som konsumenterna ombeds lämna för bedömningen av kreditvärdigheten. Enligt den första meningen i 1 mom. ska kreditgivaren meddela konsumenten vilka uppgifter denne ska lämna kreditgivaren för bedömning av kreditvärdigheten samt inom vilken tid uppgifterna ska lämnas. Kreditgivaren ska specificera de uppgifter som behövs klart och koncist. Kreditgivaren kan behöva be också om intyg och andra handlingar för att säkerställa att uppgifterna är korrekta. Såsom även i övrigt vid bedömningen av kreditvärdigheten ska begäran om uppgifter vara proportionell och begränsas till vad som behövs för att en korrekt bedömning av kreditvärdigheten ska kunna göras. Kreditgivaren har möjlighet att be om ytterligare utredningar av konsumenten om kreditgivaren på basis av de uppgifter konsumenten lämnat inte kan göra bedömningen. Genom bestämmelsen genomförs artikel 20.3 i direktivet. 

Enligt den andra meningen i momentet ska konsumenten i samband med begäran om uppgifterna upplysas om att underlåtelse att lämna uppgifterna kan leda till att kredit inte beviljas. Om begäran om uppgifter görs av en kreditförmedlare i stället för av en kreditgivare, ska detta nämnas. Varningen kan ges konsumenten också i standardiserad form. Genom bestämmelsen genomförs artikel 20.4 i direktivet. 

Enligt 2 mom. ska kreditförmedlaren lämna uppgifterna från konsumenten till kreditgivaren på behörigt sätt, om konsumenten har lämnat de uppgifter som avses i 1 mom. till kreditförmedlaren. Genom momentet genomförs artikel 20.2 i direktivet. 

13 §.Former av säkerhet och värdering av egendom som godtas som säkerhet. I paragrafen föreskrivs det om omständigheter som gäller säkerhet för krediter. Bestämmelserna i paragrafen kompletterar i fråga om principerna vad som krävts av kreditinstitut redan tidigare i lagstiftningen om kreditinstitutens riskhantering och i de föreskrifter och anvisningar som Finansinspektionen utfärdat med stöd av den (Standard 4.4a, Hantering av kreditrisker, i synnerhet punkt 28).  

Enligt 1 mom. ska kreditgivaren ange vilka former av säkerhet som denne godtar som säkerhet för ett kreditavtal. Kreditgivaren ska ange huruvida den utöver realsäkerhet också godtar personsäkerhet och vilken slags egendom den godtar som realsäkerhet.  

Paragrafens 2 mom. gäller dem som värderar egendom samt värderingsstandarder. Genom det genomförs delvis artikel 19.1 och 19.2 i direktivet. Enligt momentet är kreditgivaren för det första skyldig att säkerställa att den som värderar bostadsegendom som ställs som säkerhet för ett kreditavtal är tillräckligt oberoende av kreditgivningsprocessen. En värderare ska inte anses tillräckligt oberoende, om han eller hon inte bara värderar den egendom som ställs som säkerhet utan också ensam fattar beslut om lämnande av kredit.  

I momentet förutsätts dessutom att tillförlitliga standardbaserade värderingsmetoder används vid värderingen. Bestämmelsen förutsätter inte att standarderna ska finnas offentligt tillgängliga för konsumenterna. För att anses tillförlitliga bör standardbaserade värderingsmetoder vara utformade med beaktande av internationellt erkända värderingsstandarder. Som sådana internationellt erkända standarder anses enligt skäl 26 i ingressen särskilt dem som utvecklats av International Valuation Standards Committee, European Group of Valuers' Associations eller Royal Institution of C¬hartered Surveyors.  

I 3 mom. föreskrivs det om bevaring av värderingen. Momentet baserar sig på artikel 19.2, men av rättssäkerhetsskäl föreslås det bestämmelser också om bevaringstiden. Värderingen ska bevaras i fem år från det att krediten i sin helhet har förfallit till betalning. Om oenighet uppstår kring ett kreditavtal, ska värderingen dock bevaras till dess parterna har kommit överens om saken eller ärendet har avgjorts. Värderingen kan bevaras antingen på papper eller i elektronisk form i kreditgivarens datasystem. Bevaringstiden motsvarar tiden för bevaring av uppgifter om bedömning av kreditupplysningar i 11 §. Såväl resultatet av värderingen som grunderna för värderingen och uppgift om värderaren ska bevaras.  

Ingående av kreditavtal 

14 §.Anbud om kredit. Paragrafen innehåller bestämmelser om anbud om kredit. Genom den genomförs artikel 14.3 och 14.11 i direktivet. Om en kreditgivare gör ett anbud, ska det enligt 1 mom. göras i varaktig form. Till skillnad från artikel 14.3 nämns det inte uttryckligen i momentet att kravet på varaktig form gäller de situationer då anbudet är bindande för kreditgivaren. Utgångspunkten enligt lagen om rättshandlingar på förmögenhetsrättens område (228/1929) är att ett anbud är bindande för den som avgivit anbudet, och därför behöver anbudets bindande natur inte uttryckligen nämnas i momentet. Bestämmelsen gäller således inte t.ex. lämnande av preliminära, icke-bindande uppgifter om de erbjudna kreditvillkoren till kunden. Bestämmelsen gäller inte heller fall då konsumenten lämnar kreditgivaren ett anbud om ingående av avtal.  

Anbudet ska enligt momentet innehålla alla villkor som gäller kreditavtalet. Ett kreditanbud tillsammans med villkoren motsvarar i sak ett utkast till kreditavtal och det finns därför inget behov att separat genomföra artikel 14.11, enligt vilken konsumenten ska erbjudas en kopia av utkastet till kreditavtal i samband med att ett anbud som är bindande för kreditgivaren lämnas. 

Enligt 2 mom. ska anbudet åtföljas av ESIS-blanketten, om inte konsumenten har fått blanketten redan tidigare eller om anbudet till innehållet avviker från vad som tidigare angetts på blanketten.  

15 §.Kreditavtal. Bestämmelser om ingående av kreditavtal baserar sig till största delen inte på direktivet utan utgör nationell reglering. Paragrafen motsvarar till innehållet 7 kap. 17 §.  

Enligt 1 mom. ska ett kreditavtal ingås skriftligen och konsumenten ska få ett exemplar av avtalet. För klarhetens skull nämns det särskilt i momentet att ett avtal får ingås också på elektronisk väg på ett sådant sätt att konsumenten kan bevara och återge avtalet i oförändrad form.  

I 2 mom. föreskrivs det om den information som ska nämnas i kreditavtalet. Sådan är utöver de uppgifter som ska ges innan avtalet ingås bl.a. uppgifter om parterna i kreditavtalet, uppgifter om de risker som är förenade med krediter i utländsk valuta och vilka möjligheter konsumenten har att begränsa dem, uppgifter om villkoren för utövandet av ångerrätten, uppgifter om uppsägning eller annan avslutning av kreditavtalet samt om rättsmedel och tillsynsmyndighet. Dessutom ska alla avtalsvillkor nämnas i kreditavtalet. Genom bestämmelsen om krediter i utländsk valuta genomförs delvis artikel 23.6 i direktivet.  

Paragrafens 3 mom. innehåller ett bemyndigande att utfärda närmare bestämmelser om den information som avtalet ska innehålla genom förordning av statsrådet.  

Enligt 4 mom. får sådan ränta och sådana avgifter som inte har överenskommits i kreditavtalet inte tas ut av konsumenten med anledning av kreditförhållandet.  

16 §.Avslag på ansökan om kredit. Enligt 1 mom. ska en konsument som ansökt om kredit underrättas om ett avslag på kreditansökan utan dröjsmål. Genom paragrafen genomförs artikel 18.5 c i direktivet. För att öka öppenheten i kreditgivningsprocessen föreslås det i momentet också att konsumenten på begäran ska underrättas om grunden för avslaget skriftligen. Denna skyldighet föreligger dock inte, om avslaget grundar sig på 26 § i lagen om förhindrande och utredning av penningtvätt och av finansiering av terrorism (503/2008).  

Det förutsätts inte att kreditgivaren ger en detaljerad utredning om grunden för avslaget redan av den anledningen att det i grunden kan ingå information som gäller t.ex. en affärshemlighet. För att informationsskyldigheten ska fullgöras är det tillräckligt att konsumenten underrättas om den huvudsakliga orsaken eller de huvudsakliga orsakerna till att kreditansökan har avslagits. Meddelandet ska dock vara individuellt och informativt i den mån att orsaken till att konsumentens kreditansökan avslagits klart framgår av det. 

I 2 mom. hänvisas det till kreditupplysningslagen, där det föreskrivs om uppgifter som ska lämnas, om avslaget grundar sig på personkreditsupplysningar ur kreditupplysningsregistret.  

Utövande av ångerrätt 

17 §.Ångerrätt. Paragrafen innehåller bestämmelser om konsumentens rätt att frånträda ett kreditavtal. Redan för närvarande har en konsument rätt att frånträda ett konsumentkreditavtal, men enligt 7 kap. 3 § 2 mom. gäller ångerrätten inte vid bostadskrediter, utom i sådana fall där bostadskrediterna bjuds ut genom distansförsäljning eller hemförsäljning. Ångerrätt enligt denna paragraf ska gälla såväl bostadskrediter som konsumentkrediter med en bostad som säkerhet.  

Genom paragrafen genomförs artikel 14.6 där medlemsstaterna förutsätts ange en tidsperiod på minst sju dagar för konsumentens beslutsfattande. Denna tidsperiod kan antingen innebära en betänketid innan kreditavtalet ingås eller en period för utövande av ångerrätt efter det att kreditavtalet ingåtts eller en kombination av de båda alternativen. En redogörelse för orsakerna till valet av ångerrätt finns i avsnitt 5.2 i den allmänna motiveringen.  

Enligt 1 mom. har konsumenten rätt att frånträda ett kreditavtal inom 14 dagar räknat från det att avtalet ingicks eller från den senare tidpunkt då konsumenten fick ett exemplar av kreditavtalet med den information som förutsätts i lagen. Kreditgivaren ska underrättas om frånträdet i varaktig form, dvs. t.ex. per brev eller e-post. Konsumenten behöver inte ange skäl för att utöva ångerrätten. Om flera konsumenter är solidariskt ansvariga för krediten och en gäldenär utövar sin ångerrätt, frånträds kreditavtalet samtidigt i fråga om de övriga gäldenärerna. 

I 2 mom. föreskrivs det om kreditgivarens rätt att kräva ersättning av konsumenten för frånträdelsen. Enligt momentet har kreditgivaren rätt att kräva räntan för krediten för den tid som konsumenten har kunnat förfoga över krediten. Dessutom har kreditgivaren rätt till ersättning av konsumenten för avgifter till myndigheterna, om de inte återbetalas vid frånträdelse. Andra avgifter, t.ex. utgifter för kontroll av kreditupplysningar, får inte tas ut av konsumenten vid frånträdelse. Om konsumenten inte på förhand har informerats om betalningsskyldigheten eller ränte- och avgiftsbeloppet eller, i det fall att räntan inte har kunnat meddelas på förhand, om grunderna för bestämmande av räntan, får inte ens ränta eller myndighetsavgifter tas ut av konsumenten.  

Enligt 3 mom. ska konsumenten utan dröjsmål och senast inom 30 dagar från det att meddelandet om utövandet av ångerrätten avsändes, återlämna medel och betala eventuella ersättningar enligt 2 mom. Om konsumenten försummar sin återlämningsskyldighet, förfaller frånträdelsen och kreditavtalet fortsätter att gälla. Konsumenten får dock låta bli att fullgöra betalningsskyldigheten tills kreditgivaren har fullgjort sin motsvarande skyldighet, dvs. återlämnat konsumentens betalningar i samband med kreditavtalet, minskat med de betalningar som kreditgivaren får behålla enligt 2 mom. Om det har ställts säkerhet för den kredit som dras tillbaka, ska säkerheten återlämnas när konsumenten till kreditgivaren återlämnar de medel som konsumenten har tagit emot i enlighet med kreditavtalet.  

18 §.Accessoriska avtal som inte är bindande. I bestämmelsen föreskrivs det om icke-bindande accessoriska avtal när en konsument frånträder ett kreditavtal. Bestämmelsen baserar sig inte på direktivet utan är nationell reglering. En motsvarande bestämmelse ingår i 7 kap. 21 §. Ofta är ett annat avtal som anknyter till ett kreditavtal, t.ex. en låneskyddsförsäkring, så starkt knutet till själva krediten att det inte skulle vara meningsfullt att hålla det i kraft när kreditavtalet frånträds. Enligt det föreslagna 1 mom. är konsumenten vid frånträdelse inte bunden av ett accessoriskt avtal, om kreditgivaren eller en tredje part tillhandahåller accessoriska tjänster på grundval av en överenskommelse eller andra arrangemang mellan den tredje parten och kreditgivaren. De accessoriska tjänster som avses i paragrafen kan vara tjänster som har erbjudits konsumenten som en del av ett samerbjudande tillsammans med krediten, eller på annat sätt i samband med krediten. Det bör för klarhetens skull nämnas att det med ett i paragrafen avsett annat avtal som anknyter till kreditavtalet inte avses förbindelser som gäller säkerhet för krediten och som förfaller sedan när krediten har återbetalats. 

Även om ett accessoriskt avtal inte är bindande för konsumenten, är det dock möjligt att det skulle vara i konsumentens intresse att hålla ett annat avtal som anknyter till kreditavtalet i kraft trots att kreditavtalet frånträds. I 2 mom. föreskrivs det därför om konsumentens rätt att, om han eller hon så önskar, hålla det accessoriska avtalet i kraft trots att kreditavtalet frånträtts. Av rättssäkerhetsskäl måste konsumenten underrätta kreditgivaren om detta inom 30 dagar från det att meddelandet om utövandet av ångerrätten sändes. Om konsumenten önskar att det accessoriska avtalet ska fortsätta att gälla, kan det ha effekt på villkoren i det avtal som gäller de accessoriska tjänsterna, om dessa tjänster har bjudits ut som en del av ett samerbjudande. Som ett exempel kan nämnas ett bostadskreditavtal som ingåtts enligt ett samerbjudande och där den hemförsäkring som tecknats i samband med bostadskrediten förblir i kraft när konsumenten frånträder kreditavtalet, men eventuellt på andra villkor än om konsumenten inte hade frånträtt bostadskreditavtalet.  

Betalning av kredit före förfallodagen 

19 §.Konsumentens rätt att betala en konsumentkredit som har samband med bostadsegendom innan krediten förfaller till betalning. Paragrafen motsvarar 7 kap. 27 §. I 1 mom. föreskrivs det om konsumentens rätt att betala en konsumentkredit som har samband med bostadsegendom eller en del av krediten före förfallodagen. Momentet baserar sig på artikel 25.1 i direktivet. 

I 2 mom. föreskrivs det om de kreditkostnader som ska dras av från kreditgivarens fordran och om kreditgivarens rätt att ta ut kostnaderna för uppläggningen av krediten. Momentet baserar sig på artikel 25.1 och 25.3 i direktivet.  

20 §.Rätt till kompensation när det gäller bostadskrediter. Enligt paragrafen har kreditgivaren rätt till kompensation när konsumenten betalar en bostadskredit eller en del av en bostadskredit i förtid. Paragrafens 1 mom. motsvarar i övrigt den första meningen i gällande 7 kap. 29 § 1 mom., men för klarhetens skull konstateras det nu att kreditgivaren har rätt till kompensation också när konsumenten betalar en del av en bostadskredit i förtid.  

Det nya är den andra meningen i momentet enligt vilken kreditgivaren efter att ha mottagit konsumentens begäran om återbetalning ska sända konsumenten en kalkyl i varaktig form med uppgift om beloppet av den kompensation som krävs och de grunder och antaganden som använts vid beräkningen. De grunder och antaganden som används ska vara rimliga och kunna motiveras. En kalkyl förutsätts redan för närvarande i Finansinspektionens föreskrifter och anvisningar om metoder för beräkning av maximibeloppet av den ersättning som kan krävas ut för förtida återbetalning av ett bolån (Föreskrifter och anvisningar 4/2011). I och med bestämmelsen utvidgas skyldigheten att gälla också andra kreditgivare än kreditinstitut.  

I 2 mom. föreskrivs det om kompensationens maximibelopp. Det bemyndigande för Finansinspektionen som ingår i paragrafen ersätter den bestämmelse som finns i gällande 7 kap. 29 §, med stöd av vilken Finansinspektionen har utfärdat ovan nämnda Föreskrifter och anvisningar 4/2011.  

Genom paragrafen och de föreskrifter av Finansinspektionen som anknyter till den genomförs artikel 25.3 och 25.4 i direktivet. 

21 §.Rätt till kompensation vid konsumentkrediter med bostad som säkerhet. I paragrafen föreskrivs det om på vilka villkor kreditgivaren har rätt att få kompensation när konsumenten i förtid återbetalar en konsumentkredit med en bostad som säkerhet. Det föreskrivs också om hur stor kompensationen kan vara som mest. Bestämmelsen baserar sig på artikel 25.3 i direktivet och motsvarar i sak 7 kap. 28 §.  

Enligt 1 mom. har kreditgivaren rätt till kompensation vid förtida återbetalning av krediten, om räntan på krediten är en fast ränta, dvs. om räntan för krediten inte har bundits till referensränta. Om räntan för krediten är fast en del av tiden och bunden till referensränta en del av tiden, har kreditgivaren rätt till kompensation vid förtida återbetalning endast i det fall att krediten återbetalas i förtid under den tid för vilken det avtalats om en fast ränta.  

Enligt 2 mom. får beloppet av kompensationen till kreditgivaren inte överstiga en procent av det kreditbelopp som återbetalats i förtid, om krediten återbetalas när det återstår minst ett år tills kreditavtalet löper ut. Om det däremot återstår mindre än ett år tills kreditavtalet löper ut, får kompensationen vara en halv procent av det återbetalda kreditbeloppet. Kompensationen får dock inte överstiga räntan för tiden mellan den förtida återbetalningen och den tidpunkt då kreditavtalet upphör att gälla.  

I 3 mom. föreskrivs det om de situationer då rätt till kompensation inte föreligger ens när räntan för krediten är fast. Kompensation får för det första inte krävas ut när det av krediten har betalats högst 10 000 euro i förtid under det senaste året. Huruvida tröskelvärdet överskrids bedöms ett år tillbaka från den förtida återbetalningen, och om de förtida betalningarna under denna tid överstiger 10 000 euro har kreditgivaren rätt att ta ut kompensation för den del som överskrider tröskelvärdet. Kompensation får inte heller utkrävas när återbetalningen sker med stöd av en låneskyddsförsäkring eller den kredit som återbetalas grundar sig på ett kreditavtal som är knutet till ett brukskonto.  

Krediter i utländsk valuta 

22 §.Begränsning av valutakursriskerna. Syftet med paragrafen är att skydda konsumenten för de risker som är förenade med krediter i utländsk valuta och som förorsakas av valutakursfluktuationer. Krediter i utländsk valuta definieras i 3 § 1 mom. 4 punkten. Genom paragrafen genomförs artikel 23.1 i direktivet.  

Enligt 1 mom. ska en kreditgivare i god tid innan ett kreditavtal ingås varna konsumenten för de risker som är förenade med krediten samt informera om tillgängliga arrangemang för att begränsa den risk som förorsakas av valutakursfluktuationer. Sådana arrangemang är t.ex. att konsumenten har rätt att när som helst få kreditavtalet konverterat till euro, få en försäkring för att skydda sig mot valutakursrisker eller ett valutaskydd som gäller krediten. Denna information kan ges t.ex. på ESIS-blanketten. I fråga om försäkringar och andra motsvarande produkter räcker det att konsumenten informeras om de alternativ som står till buds. I bestämmelsen förutsätts det inte att kreditgivaren eller dennes samarbetspart ska erbjuda dessa försäkringar eller andra produkter genom vilka konsumenten kan skydda sig mot valutakursrisker.  

Enligt 2 mom. har konsumenten rätt att när som helst få sitt kreditavtal konverterat till euro, om krediten erbjuds i någon annan valuta än euro. Konverteringen ska då ske enligt den officiella valutakursen den dag som utgör den tredje bankdagen från det att konsumentens meddelande om konvertering har anlänt till kreditgivaren. Som officiell valutakurs betraktas de av Europeiska centralbanken fastställda valutakurser som Finlands Bank dagligen publicerar på sin webbplats. 

23 §.Informationsskyldigheten under löptiden av ett avtal om kredit i utländsk valuta. Paragrafen innehåller bestämmelser om kreditgivarens informationsskyldighet medan ett avtal om kredit i utländsk valuta gäller. Om det återstående kreditbeloppet eller amorteringarnas storlek avviker med mer än 20 procent från vad det skulle vara om man tillämpade den valutakurs som gällde vid ingåendet av kreditavtalet, ska kreditgivaren enligt förslaget utan dröjsmål underrätta konsumenten om detta. Efter det ska konsumenten regelbundet underrättas om en avvikelse så länge den är större än 20 procent. För att kravet på regelbundenhet ska uppfyllas, är det nog att konsumenten får ett meddelande en gång per år. Om krediten lämnas i någon annan valuta än valutan i den stat där konsumenten är bosatt, görs det en jämförelse mellan valutan i den stat där konsumenten är bosatt och den valuta i vilken krediten har lämnats. Om konsumenten får sin utkomst i en annan valuta än den i vilken krediten har lämnats, görs jämförelsen mellan den valuta i vilken krediten har lämnats och den valuta i vilken konsumenten får sin utkomst och från vilken krediten enligt de uppgifter som legat till grund för värderingen av kreditvärdigheten ska återbetalas.  

Meddelandet ska ges i varaktig form. Meddelandet ska innehålla uppgift om att konsumenten har rätt att få kreditavtalet konverterat till en annan valuta, om villkoren för en konvertering samt om eventuella övriga arrangemang som begränsar de risker som förorsakas av valutakursfluktuationer. Genom paragrafen genomförs artikel 23.4 i direktivet.  

Vissa skyldigheter för kreditförmedlare 

24 §.Informationsskyldigheten innan kredit förmedlas. I paragrafen anges kreditförmedlarens informationsskyldigheter.  

I 1 mom. föreskrivs det om de uppgifter som kreditförmedlaren ska lämna konsumenten i god tid och i varaktig form innan konsumentkrediter som har samband med bostadsegendom förmedlas. Uppgifter som ska lämnas är bl.a. kreditförmedlarens namn och besöksadress samt det register som förmedlaren är införd i. Konsumenten ska informeras om huruvida förmedlaren är ombud för en eller flera kreditgivare och, i så fall, namnet på de kreditgivare för vars räkning förmedlaren agerar. Konsumenten ska också få veta vad förmedlingstjänsten innehåller, om förmedlaren inte är ombud för en kreditgivare. Det ska också anges huruvida kreditförmedlaren tillhandahåller rådgivningstjänster. Dessutom ska kreditförmedlaren lämna konsumenten information om de avgifter som tas ut för kreditförmedlingen, om förfaranden genom vilka konsumenten eller någon annan kan anföra klagomål mot förmedlarens verksamhet eller föra ärendet till ett tvistlösningsorgan utanför domstol för behandling, samt förekomsten av och beloppet av provision eller andra incitament som kreditgivaren eller tredje parter betalar till förmedlaren i samband med kreditavtalet. Syftet med den informationsskyldighet som gäller provision och andra incitament är att säkerställa öppenhet och förhindra missbruk som beror på eventuella intressekonflikter. Genom momentet genomförs delvis artikel 15.1 i direktivet. 

I 2 mom. finns det bestämmelser om hur de provisioner eller incitament som betalas till kreditförmedlaren ska uppges. Kreditförmedlaren ska underrätta konsumenten, om beloppen av de provisioner eller incitament som betalas förmedlaren varierar beroende på vilken kreditgivare konsumenten ingår ett kreditavtal med. Konsumenten ska också underrättas om möjligheten att på begäran få ytterligare information om hur beloppen av de provisioner och incitament som betalas förmedlaren varierar i fråga om de olika kreditavtal som erbjudits konsumenten. Genom momentet genomförs artikel 15.2 i direktivet. Eftersom en oberoende kreditförmedlare enligt 25 § inte får ta emot ersättning för kreditförmedlingen av någon annan än konsumenten, gäller momentet i praktiken inte sådana här kreditförmedlare. Bestämmelsen i momentet har i praktiken ingen betydelse heller i fråga om en kreditförmedlare som är ombud för en enda kreditgivare, eftersom den provision eller det andra incitament kreditförmedlaren får inte då kan variera på det sätt som avses i momentet.  

Enligt 3 mom. ska en kreditförmedlare vid lämnande av uppgifterna också meddela huruvida incitament eller provisioner som eventuellt betalas förmedlaren beaktas när den avgift som tas ut av konsumenten bestäms. Genom momentet genomförs artikel 15.3 i direktivet. 

25 §.Oberoende kreditförmedlare. Enligt paragrafen får en kreditförmedlare uppge sig vara oberoende kreditförmedlare endast i det fall att kreditförmedlaren förmedlar ett tillräckligt stort antal kreditavtal som bjuds ut på marknaden. Det ska alltså vara fråga om ett med beaktande av konsumentens behov och personliga förhållanden representativt urval av de kreditavtal som bjuds ut på marknaden. För att detta krav ska uppfyllas är det inte nog att kreditförmedlaren förmedlar krediter som bjuds ut av endast en kreditgivare eller koncern. Ett ytterligare krav för att vara oberoende kreditförmedlare är att denne inte tar emot ersättning för kreditförmedlingen av någon annan än konsumenten. Genom momentet genomförs artikel 15.1 c och delvis 22.4. 

26 §.Avgift som konsumenten ska betala för kreditförmedlingen. I 1 mom. föreskrivs det om kreditförmedlarens rätt att ta ut avgift för kreditförmedlingen av konsumenten. En förutsättning för att ta ut avgift är att konsumenten har informerats om avgiften på det sätt som förutsätts i lagen och att överenskommelse om detta har träffats med konsumenten i varaktig form. Bestämmelsen motsvarar 7 kap. 49 § 2 mom.  

Enligt 2 mom. ska kreditförmedlaren för beräkning av den effektiva räntan meddela kreditgivaren beloppet av den avgift som förmedlaren tar ut av konsumenten. Genom momentet genomförs artikel 15.4 i direktivet. 

27 §.Beaktande av konsumentens förhållanden. Enligt paragrafen ska kreditförmedlingen och tillhandahållandet av eventuella kompletterande tjänster grunda sig på uppgifter om konsumentens ekonomiska situation, på behov och förväntningar som konsumenten uppgett sig ha i fråga om krediten samt på relevanta antaganden om konsumentens risker under kreditavtalets giltighetstid. Uppgifterna motsvarar i huvuddrag de uppgifter som kreditgivaren använder vid bedömningen av konsumentens kreditvärdighet. Uppgifterna om konsumentens ekonomiska situation omfattar också sådana uppgifter om konsumentens personliga förhållanden som inverkar på den ekonomiska situationen. Genom paragrafen genomförs delvis artikel 7.1 i direktivet.  

Rådgivningstjänster 

28 §.Förhandsinformation till konsumenten. Paragrafen innehåller bestämmelser om en informationsskyldighet i fråga om rådgivningstjänster. Bestämmelser om rätt att tillhandahålla rådgivningstjänster finns i 4 § i lagförslag 2.  

Den som tillhandahåller rådgivningstjänster ska innan rådgivningstjänster börjar utföras eller innan ett avtal om rådgivningstjänster ingås ge konsumenten de uppgifter som anges i paragrafen. Enligt paragrafen ska konsumenten för det första ges information om de kreditgivare vars krediter har utvärderats i den rekommendation som ges. Också det sammanlagda beloppet av avgifter som konsumenten ska betala för rådgivningstjänsterna eller grunderna för bestämmande av avgifterna ska uppges. Informationen ska ges i varaktig form. Genom paragrafen genomförs artikel 22.2 a och b i direktivet. 

29 §.Rätt att ta ut avgift för rådgivningstjänster. Enligt 1 mom. har den som tillhandahåller rådgivningstjänster rätt att av konsumenten få ersättning för rådgivningstjänsterna eller det rekommenderade kreditavtalet endast om konsumenten har informerats om avgiften på det sätt som förutsätts i lagen och överenskommelse om avgiften har träffats med konsumenten i varaktig form. Bestämmelsen baserar sig inte på direktivet. Det anses ändamålsenligt att bestämmelsen om rådgivningstjänster i fråga om avgifterna motsvarar bestämmelsen om kreditförmedling i 26 §. 

Enligt 2 mom. får den som tillhandahåller rådgivningstjänster inte ta emot ersättning av någon annan än konsumenten för rådgivningstjänsterna eller det rekommenderade kreditavtalet. 

30 §.Utförande av rådgivningstjänster. I paragrafen föreskrivs det om de skyldigheter en tillhandahållare av rådgivningstjänster har vid utförandet av tjänsterna. Genom paragrafen genomförs delvis artikel 22.3 i direktivet.  

Enligt 1 mom. ska rådgivningstjänsterna grunda sig på uppgifter om konsumentens ekonomiska situation, på behov och förväntningar som konsumenten uppgett sig ha i fråga om krediten samt på relevanta antaganden om konsumentens risker under kreditavtalets giltighetstid. Uppgifterna motsvarar i huvuddrag de uppgifter som kreditgivaren använder vid bedömningen av konsumentens kreditvärdighet. Uppgifterna om konsumentens ekonomiska situation omfattar också sådana uppgifter om konsumentens personliga förhållanden som inverkar på den ekonomiska situationen. 

Enligt 2 mom. ska tillhandahållaren av rådgivningstjänster utvärdera ett tillräckligt stort antal kreditavtal på marknaden. Tillhandahållaren av rådgivningstjänster ska utgående från utvärderingen rekommendera ett eller flera kreditavtal som lämpar sig för konsumentens behov och förväntningar samt ekonomiska situation. Dessutom ska konsumenten få ett exemplar av rekommendationen i varaktig form.  

Enligt 3 mom. ska tillhandahållaren av rådgivningstjänster bevara rekommendationen i fem år från det att den lämnades. Om oenighet uppstår kring en rådgivningstjänst, ska rekommendationen dock bevaras till dess parterna har kommit överens om saken eller ärendet har avgjorts. Den bevaringstid som anges i momentet motsvarar bevaringstiden enligt 11 § 3 mom. och 13 § 3 mom. 

Övriga bestämmelser om konsumentkrediter som har samband med bostadsegendom 

31 §.Tillämpning av bestämmelserna om konsumentkrediter. I paragrafens 1 mom. anges vilka bestämmelser i 7 kap. som ska tillämpas på konsumentkrediter som har samband med bostadsegendom. 

Paragrafens 2 mom. innehåller ett undantag från den huvudregel som framgår av 7 kap. 24 § 1 mom., enligt vilken den ränta som konsumenten ska betala på krediten får förändras medan kreditavtalet gäller endast i enlighet med ändringarna av den referensränta som specificerats i avtalet, samt från den princip som framgår av paragrafens 2 mom., enligt vilken ränteändringar ska göras jämlikt och utan att diskriminera konsumenter. Enligt momentet kan man trots dessa bestämmelser i ett avtal om bostadskredit komma överens om att den ränta som konsumenten ska betala på krediten inte ändras, om referensräntans värde är mindre än noll. Kreditgivaren ska alltså också i situationer med en negativ referensränta ha en möjlighet att av konsumenten ta ut räntemarginalen i sin helhet.  

Tillsyn 

32 §.Påföljder. I paragrafen föreskrivs det om påföljderna vid brott mot bestämmelserna i 7 a kap. Början av 1 mom. motsvarar 7 kap. 50 §.  

Momentet innehåller en ny bestämmelse om förfarandet när en i lagförslag 2 avsedd utländsk kreditförmedlare bryter mot bestämmelserna i 7 a kap. Det kan vara fråga om förmedlare som har filial i Finland, eller förmedlare som är verksamma i Finland inom ramen för friheten att tillhandahålla tjänster. Då iakttas bestämmelserna i artikel 34.2 och 34.4 i direktivet om bostadskrediter. Genom paragrafen genomförs delvis nämnda punkter i direktivet.  

Paragrafens 2 mom. innehåller en hänvisningsbestämmelse till lagen om Finansinspektionen och till lagförslag 2 till den del det i dem föreskrivs om Finansinspektionens rätt att påföra påföljder. 

33 §.Tillsynsmyndigheter. I paragrafen föreskrivs det om de myndigheter som utövar tillsynen över att bestämmelserna i 7 a kap. följs och om deras rätt att få de uppgifter och handlingar som behövs för tillsynen. Paragrafen motsvarar med undantag för 3 mom. i sak huvudsakligen 7 kap. 51 §. Bestämmelser om tillsynsmyndigheternas befogenheter finns dessutom i lagen om Finansinspektionen, lagen om Konkurrens- och konsumentverket (661/2012) samt i lagförslag 2 och 3.  

I 3 mom. föreskrivs det om tillsynsmyndigheternas samarbete med utländska EES-tillsynsmyndigheter i ärenden som gäller konsumentkrediter som har samband med bostadsegendom. Enligt momentet är Finansinspektionen sådan kontaktpunkt som avses i artikel 36 i direktivet. Genom momentet genomförs artikel 36 och 37 i direktivet. 

Paragrafens 4 mom. motsvarar i sak det tidigare 3 mom.  

1.2  Lag om förmedlare av konsumentkrediter som har samband med bostadsegendom

1 §.Tillämpningsområde. I paragrafen anges lagens tillämpningsområde. Lagen ska tillämpas på förmedling av konsumentkrediter som har samband med bostadsegendom och som omfattas av tillämpningsområdet för 7 a kap. i lagförslag 1 samt på tillhandahållande av rådgivningstjänster med avseende på sådana krediter. Enligt 1 § 2 mom. i nämnda kapitel ska bestämmelserna i kapitlet inte tillämpas på krediter där ingen ränta eller andra avgifter tas ut eller på ett sådant omvänt bolån som uppfyller de närmare villkor som anges i 2 punkten i momentet och inte heller på vissa krediter som lämnas av pantlåneinrättningar. Förmedling av sådana krediter ska således inte heller omfattas av tillämpningsområdet för det nu aktuella lagförslaget.  

Förmedling av konsumentkrediter som har samband med bostadsegendom definieras i 2 § 1 mom. 1 punkten och rådgivningstjänster i 2 punkten i samma moment. Konsumentkrediter som har samband med bostadsegendom är bostadskrediter och konsumentkrediter med en bostad som säkerhet. Med bostadskredit avses i 7 a kap. i lagförslag 1 en kredit som en kreditgivare enligt avtal lämnar eller utfäster sig att lämna en konsument som lån, betalningsanstånd eller som något annat motsvarande ekonomiskt arrangemang för förvärv av bostadsegendom eller för bevarande av äganderätten till sådan (3 § 1 mom. 2 punkten). Med konsumentkredit med en bostad som säkerhet avses i samma kapitel en kredit som en kreditgivare enligt avtal lämnar eller utfäster sig att lämna en konsument som lån, betalningsanstånd eller som något annat motsvarande ekonomiskt arrangemang för något annat än ett ovan nämnt ändamål och där bostadsegendom ställs som säkerhet (3 § 1 mom. 3 punkten). Med bostadsegendom avses bostadsfastigheter, sådana andelar i en sammanslutning som ger rätt att besitta en bostadslägenhet samt bostadshus som är belägna på ett område som besitts med stöd av nyttjanderätt (3 § 1 mom. 1 punkten). 

2 §.Definitioner. Paragrafens 1 mom. 1 punkt innehåller en definition av förmedling av konsumentkrediter som har samband med bostadsegendom. Genom punkten genomförs artikel 4.5 i direktivet. Med förmedling av konsumentkrediter som har samband med bostadsegendom avses att mot ersättning presentera eller erbjuda kreditavtal som har samband med bostadsegendom till konsumenter och på annat sätt bistå konsumenter vid ingående av sådana kreditavtal så att kreditgivaren själv inte är aktör. Definitionen innefattar också ingående av sådana kreditavtal med konsumenter för kreditgivarens räkning.  

Enligt skäl 74 i direktivets ingress bör sådan verksamhet inte betraktas som kreditförmedling vars syfte endast är att upplysa en konsument om en kreditgivare eller en kreditförmedlare. Det anses inte vara kreditförmedling om t.ex. en fastighetsförmedlare ger sina kunder en viss kreditgivares kontaktinformation eller berättar om en typ av kredit som någon kreditgivare erbjuder utan att fastighetsförmedlaren aktivt är med om att presentera, i övrigt bjuda ut, utarbeta eller ingå kreditavtalet.  

Momentets 2 punkt innehåller en definition av rådgivningstjänster. Genom punkten genomförs artikel 4.21 i direktivet. Med rådgivningstjänster avses att tillhandahålla personligt anpassade rekommendationer till en konsument avseende ett kreditavtal som har samband med bostadsegendom. Det väsentliga i definitionen är att konsumenten tillhandahålls en personligt anpassad rekommendation. Med rådgivningstjänster avses däremot inte sådana åtgärder som kan anses sedvanliga, såsom presentation av kreditgivarens produkter, kartläggning av kundernas behov, marknadsföring eller lämnande av i lag angivna uppgifter eller utredningar.  

Momentets 3 punkt innehåller en definition av personal. Med personal avses var och en som är anställd hos en kreditförmedlare eller på annat sätt agerar för dennes räkning och som deltar i förmedling av konsumentkrediter som har samband med bostadsegendom. Definitionen omfattar dessutom var och en som direkt leder och övervakar de förstnämnda. Genom punkten genomförs delvis artikel 4.11 i direktivet. 

Momentets 4 punkt innehåller en definition av direktivet om bostadskrediter. I 5—7 punkten definieras finländska och utländska kreditförmedlare samt kreditförmedlare. En del av bestämmelserna i lagen gäller uteslutande finländska och en del utländska kreditförmedlare, och en del av bestämmelserna gäller både utländska och finländska kreditförmedlare. Momentets 8 punkt innehåller en definition av ombud för kreditgivare. Definitionen av ombud för en kreditgivare avviker från definitionen av anknuten kreditförmedlare i artikel 4.7 i direktivet såtillvida att det saknar betydelse hur stor andel av marknaden de kreditgivare som kreditförmedlaren företräder har. 

Paragrafens 2 mom. innehåller en definition av hemstat. Om kreditförmedlaren är en fysisk person avses med hemstat en sådan stat inom Europeiska ekonomiska samarbetsområdet där kreditförmedlarens huvudkontor är beläget. Om kreditförmedlaren är en juridisk person, är hemstaten i princip den EES-stat där kreditförmedlaren har sitt säte. Juridiska personer som är registrerade enligt finsk lag har sitt säte i Finland. På motsvarande sätt har en juridisk person som är registrerad i en annan EES-stat vanligen sitt säte i den EES-staten. Om en kreditförmedlare dock enligt den lag som är tillämplig inte har något säte, är kreditförmedlarens hemstat den EES-stat där kreditförmedlarens huvudkontor är beläget. Genom punkten genomförs artikel 4.19 i direktivet. 

3 §.Rätt att förmedla konsumentkrediter som har samband med bostadsegendom. I paragrafen föreskrivs det om rätt att förmedla konsumentkrediter som har samband med bostadsegendom. Enligt 1 mom. får en näringsidkare förmedla konsumentkrediter som har samband med bostadsegendom endast om näringsidkaren är registrerad som förmedlare av sådana krediter i enlighet med denna lag. Genom momentet genomförs artikel 29.1 i direktivet. 

I 2 mom. anges undantag från registreringsskyldigheten. Enligt 1 punkten gäller registreringsskyldigheten inte kreditinstitut och utländska EES-kreditinstitut enligt kreditinstitutslagen. Genom punkten genomförs artikel 29.9 i direktivet. Det är skäl att notera att undantaget däremot inte gäller de kreditgivare eller förmedlare av person-till-person-lån som omfattas av tillämpningsområdet för lagförslag 3. Förmedling av konsumentkrediter som har samband med bostadsegendom avviker från lämnande av kredit och förmedling av person-till-person-lån bl.a. i fråga om den yrkesskicklighet som krävs. Förutsättningarna för registrering i nämnda lagförslag är dessutom mindre strikta i den meningen att någon ansvarsförsäkring i syfte att trygga kundernas intressen inte krävs av den som bedriver verksamheten. Av dessa skäl anses det inte befogat att utvidga undantaget till att gälla sådana aktörer.  

Enligt 2 punkten gäller registreringsskyldigheten inte utländska kreditförmedlare. Utländska kreditförmedlare har definierats i 2 § 1 mom. 6 punkten. Med sådana avses fysiska personer eller juridiska personer som av en behörig myndighet i hemstaten i enlighet med artikel 29 i direktivet om bostadskrediter har beviljats rätt att förmedla konsumentkrediter som har samband med bostadsegendom. Genom momentet genomförs artikel 32.1 i direktivet. 

Enligt 3 punkten behöver en näringsidkare som förmedlar konsumentkrediter som har samband med bostadsegendom sporadiskt i samband med annan yrkesverksamhet som förutsätter tillstånd, registrering eller godkännande på förhand inte registrera sig i enlighet med denna lag. I bestämmelsen utnyttjas den möjlighet som medlemsstaterna har enligt artikel 29.8 att inte tillämpa denna artikel på förmedlingsverksamhet som bedrivs tillfälligt i samband med annan yrkesverksamhet, förutsatt att förmedlingsverksamhet inte förbjuds i de lagar eller etiska regler som avser yrkesverksamheten i fråga. En i punkten avsedd näringsidkare kan t.ex. vara en advokat eller någon annan person som enligt lagen om rättegångsbiträden med tillstånd (715/2011) har beviljats tillstånd att vara verksam som rättegångsombud eller rättegångsbiträde.  

Undantaget i momentet gäller endast bestämmelserna om registreringsskyldighet i 5—9 §. De aktörer som berörs av undantaget ska iaktta skyldigheterna i 11—14 § när de förmedlar konsumentkrediter som har samband med bostadsegendom eller tillhandahåller rådgivningstjänster med avseende på sådana krediter.  

Enligt 3 mom. ska kraven på kunskap och kompetens i 6 § 1 mom. 4 punkten också gälla personalen i en utländsk kreditförmedlares filial i Finland samt personalen hos en näringsidkare som avses ovan i 2 mom. 3 punkten. Kraven på kunskap och kompetens ska dessutom till vissa delar tillämpas på sådan personal hos en utländsk kreditförmedlare som i Finland inom ramen för friheten att tillhandahålla tjänster förmedlar konsumentkrediter som har samband med bostadsegendom.  

Genom momentet genomförs artikel 9.3 i direktivet. Här utnyttjas den möjlighet som reserverats för värdmedlemsstaten i den andra meningen i artikel 9.3 ii när det gäller att fastställa minimikrav på kunskap och kompetens i fråga om vissa krav som ingår i bilaga III till direktivet när tillhandahållandet sker inom ramen för friheten att tillhandahålla tjänster från en stat till en annan. Det är motiverat att alla förmedlare som är verksamma här har grundläggande kunskaper bl.a. i finsk lagstiftning när det gäller kreditavtal och om processen vid förvärv av bostäder i Finland. 

4 §.Rätt att tillhandahålla rådgivningstjänster. I paragrafen föreskrivs det om rätten att tillhandahålla rådgivningstjänster med avseende på konsumentkrediter som har samband med bostadsegendom. Sådana rådgivningstjänster får tillhandahållas endast av kreditförmedlare. Även om en näringsidkare alltså har för avsikt att endast vara verksam som tillhandahållare av rådgivningstjänster med avseende på konsumentkrediter som har samband med bostadsegendom, ska näringsidkaren låta registrera sig som kreditförmedlare i kreditförmedlarregister, om inget annat följer av den föreslagna 3 §.  

I paragrafen uppställs också ytterligare krav på den som tillhandahåller rådgivningstjänster. För att rådgivningstjänsterna ska vara opartiska gäller rätten att tillhandahålla sådana inte en kreditförmedlare som är ombud för en kreditgivare eller som hör till samma koncern som kreditgivaren. Bestämmelser om vilka som bildar en koncern finns i 6 § i bokföringslagen (1336/1997). Rätt att tillhandahålla rådgivningstjänster har inte heller en kreditförmedlare som är ägarintresseföretag eller intresseföretag enligt 7 eller 8 § i bokföringslagen i förhållande till kreditgivaren. De ytterligare förutsättningarna för tillhandahållare av rådgivningstjänster som ingår i paragrafen gäller också sådana näringsidkare som avses i 3 § 2 mom. 3 punkten.  

I paragrafen utnyttjas den möjlighet som medlemsstaterna har enligt artikel 22.4 att förbjuda användingen av termerna "rådgivning" och "rådgivare" eller liknande när rådgivningstjänsterna tillhandahålls konsumenten av kreditgivare eller anknutna kreditförmedlare. En redogörelse för orsakerna till att utnyttja optionen finns i avsnitt 5.2 i den allmänna motiveringen. 

5 §.Förmedlarregister och registeranmälan. Enligt 1 mom. är Finansinspektionen skyldig att föra register över finländska kreditförmedlare. Genom momentet genomförs delvis första stycket i artikel 29.4 i direktivet. 

I 2 mom. föreskrivs det om registeranmälan och vilka uppgifter som ska ingå i registeranmälan. Den som planerar att förmedla konsumentkrediter som har samband med bostadsegendom ska för anteckning i förmedlarregistret göra en anmälan till Finansinspektionen. Förmedling innefattar också tillhandahållande av rådgivningstjänster med avseende på bostadsegendom, dvs. också de som planerar att tillhandahålla rådgivningstjänster med avseende på konsumentkrediter som har samband med bostadsegendom ska göra en sådan anmälan som avses i paragrafen. 

Enligt 1 punkten ska en enskild näringsidkares fullständiga namn och personbeteckning nämnas i registeranmälan. Om en enskild näringsidkare saknar personbeteckning, ska födelsetiden uppges. Dessutom uppges firma, eventuell bifirma, företags- och organisationsnummer eller annan motsvarande beteckning, huvudkontor och besöksadress till de verksamhetsställen där verksamhet bedrivs. Om förmedlaren är en juridisk person, uppges i registeranmälan den juridiska personens firma, eventuell bifirma, företags- och organisationsnummer eller annan motsvarande beteckning, huvudkontor och besöksadress till de verksamhetsställen där verksamhet bedrivs. Enligt 1 punkten ska det i registeranmälan nämnas också om anmälaren är ombud för en eller flera kreditgivare och uppgift om dessa kreditgivare. I registeranmälan ska det också uppges huruvida anmälaren tillhandahåller rådgivningstjänster med avseende på konsumentkrediter som har samband med bostadsegendom. 

Enligt 2 punkten ska det i registeranmälan vid behov ingå en utredning över de omständigheter som nämns i 6 § 1 mom. 1 punkten. De uppgifter som avses i punkten framgår i allmänhet av andra i registret införda uppgifter. I vissa fall kan det dock behövas en utredning t.ex. om anmälarens hemstat eller att anmälaren de facto i huvudsak är verksam i Finland. Bestämmelsen behövs därför med tanke på sådana situationer. 

Om anmälaren är en juridisk person, ska anmälan enligt 3 punkten innehålla en utredning över de personer som avses i 7 § 2 mom. och vars tillförlitlighet ska bedömas. Av registeranmälan ska det alltså i fråga om den juridiska personen framgå t.ex. verkställande direktör och dennes ställföreträdare, medlemmar och ersättare i styrelsen samt vilka som direkt eller indirekt innehar minst en tiondel av aktierna i ett aktiebolag eller den rösträtt som aktierna medför eller motsvarande ägande- eller bestämmanderätt i en annan sammanslutning. 

Enligt 4 punkten ska anmälan dessutom innehålla en utredning över den utbildning och arbetserfarenhet som anmälaren och dennes personal har. Om anmälaren är en juridisk person, ska en motsvarande utredning ges också över dem som hör till den högsta ledningen enligt 6 § 2 mom. Till skillnad från 3 punkten behöver en utredning inte ges över en sammanslutnings ägare annat än i personbolag. Utredningar som behövs är t.ex. meritförteckning, examensbetyg och arbetsintyg samt intyg över deltagande i viktiga utbildningsprogram eller i yrkeskurser. 

Anmälaren ska dessutom enligt 5 punkten ge en utredning över att anmälaren har en ansvarsförsäkring eller annan säkerhet enligt 8 §. Om det är fråga om en försäkring, ska anmälaren sända försäkringsbrevet och försäkringsvillkoren till Finansinspektionen. Om det är fråga om någon annan säkerhet, ska anmälaren sända en utredning för att det ska kunna bedömas om säkerheten fyller kraven i 8 §, dvs. uppgifter om vem som ställt säkerheten, beloppet och andra villkor.  

I 3 mom. föreskrivs det om Finansinspektionens rätt att få ytterligare uppgifter av anmälaren. Uppgifterna ska vara nödvändiga för en bedömning av om förutsättningarna för registrering uppfylls. Det kan finnas behov att begära ytterligare uppgifter t.ex. när Finansinspektionen inte får de uppgifter som behövs för att utreda anmälarens tillförlitlighet direkt ur straffregistret. 

6 §.Förutsättningar för registrering. I 1 mom. föreskrivs det om förutsättningarna för att Finansinspektionen ska registrera anmälaren som förmedlare av konsumentkrediter som har samband med bostadsegendom. Enligt 1 punkten ska anmälarens hemstat vara Finland. Hemstat definieras i 2 § 2 mom. Om anmälaren är en fysisk person eller en juridisk person som enligt tillämplig lag inte har något säte, ska personen också de facto huvudsakligen vara verksam i Finland. Om anmälaren är en juridisk person som har sitt säte i Finland, ska också huvudkontoret vara i Finland. Genom punkten genomförs artikel 29.5 i direktivet.  

I 2 punkten förutsätts att anmälaren inte har försatts i konkurs. Om anmälaren är en fysisk person ska han eller hon ha uppnått myndighetsålder och inte fått sin handlingsbehörighet begränsad. 

Enligt 3 punkten ska anmälaren vara tillförlitlig. Närmare bestämmelser om tillförlitlighet finns i 7 §. 

Enligt 4 punkten ska anmälaren och dennes personal ha tillräcklig kunskap och kompetens i fråga om kreditverksamhet. När kunskapen och kompetensen i fråga om kreditverksamhet bedöms beaktas de minimikrav på kunskap och kompetens som ingår i bilaga III till direktivet om bostadskrediter. Om anmälaren är en juridisk person gäller kravet också personer som hör till dess högsta ledning. En definition av vilka personer som hör till den högsta ledningen finns i paragrafens 2 mom. och en definition av personal i 2 § 1 mom. 3 punkten. Genom bestämmelsen genomförs artikel 29.2 c i direktivet. 

Anmälaren ska enligt 5 punkten också ha en ansvarsförsäkring eller annan säkerhet enligt 8 §. Kravet grundar sig på artikel 29.2 a i direktivet. 

I 2 mom. definieras vilka som hör till den högsta ledningen enligt 1 mom. 4 punkten. Dessa är verkställande direktören och dennes ställföreträdare, medlemmar och ersättare i styrelsen och i jämförbara organ samt ansvariga bolagsmän. Bestämmelser om den kännedom om kreditverksamhet som fordras av den högsta ledningen och personalen utfärdas genom förordning av statsrådet. Momentet innehåller ett bemyndigande om detta.  

I 3 mom. finns det bestämmelser om när registrering vägras. Om det med beaktande av omständigheterna är uppenbart att den som gjort anmälan har för avsikt att förmedla konsumentkrediter som har samband med bostadsegendom såsom ombud för någon annan, får Finansinspektionen vägra registrering. Syftet med bestämmelsen är att förhindra att verksamhet enligt denna lag inte utövas av personer som t.ex. på grund av sin tvivelaktiga bakgrund förmodligen inte skulle uppfylla förutsättningarna för registrering, men som försöker komma in i branschen via mellanhänder. 

7 §.Tillförlitlighet. I 1 mom. definieras tillförlitlighet som avses i 6 § 1 mom. 3 punkten. Den som gör anmälan anses inte tillförlitlig om han eller hon genom en lagakraftvunnen dom har dömts till fängelsestraff under de fem senaste åren före en bedömning eller till bötesstraff under de tre senaste åren före bedömningen för ett brott som kan anses visa att personen i fråga är uppenbart olämplig för att förmedla sådana konsumentkrediter som omfattas av lagens tillämpningsområde. I dessa fall anses personen inte tillförlitlig heller att äga en sammanslutning som bedriver sådan verksamhet eller att vara styrelsemedlem eller ersättare, verkställande direktör eller ställföreträdande verkställande direktör eller på annat sätt medlem av högsta ledningen i en sådan sammanslutning. Grund för en sådan lagakraftvunnen dom som avses i momentet kan t.ex. vara brott vid förmedling av konsumentkrediter som har samband med bostadsegendom, vilket föreslås bli straffbart i 26 §, brott vid förmedling av person-till-person-lån eller kreditgivarbrott, vilka föreslås bli straffbara i 19 § i lagförslag 3, samt penningtvätts- eller bokföringsbrott, skattebedrägeri eller något annat brott med anknytning till ekonomisk verksamhet. 

Den som gör anmälan anses inte tillförlitlig heller om han eller hon annars genom sin tidigare verksamhet har visat sig uppenbart olämplig för en sådan uppgift. En motsvarande bestämmelse finns t.ex. i 5 § i lagförslag 3 och i 7 kap. 4 § i kreditinstitutslagen. En icke-lagakraftvunnen dom som gäller ett sådant brott som avses i momentet kan t.ex. visa att personen i fråga är uppenbart olämplig för uppgiften. Även ett näringsförbud som meddelats anmälaren med stöd av lagen om näringsförbud (1059/1985), även om näringsförbudet redan upphört, kan inverka på tillförlitlighetsbedömningen.  

I 2 mom. föreskrivs det om de personer som berörs av tillförlitlighetskravet i 6 § 1 mom. 3 punkten, om anmälaren är en juridisk person. För att tillförlitlighetskravet i fråga om en juridisk person ska uppfyllas, måste alla de aktörer som uppräknas i bestämmelsen vara tillförlitliga. 

8 §.Ansvarsförsäkring eller annan säkerhet. Enligt 1 mom. ska den som gör anmälan ha en ansvarsförsäkring eller någon annan motsvarande säkerhet för ersättande av skador som förorsakas av förmedling av konsumentkrediter som har samband med bostadsegendom och rådgivningstjänster med avseende på sådana krediter. Genom momentet genomförs artikel 29.2 a i direktivet.  

Anmälaren förutsätts ha en giltig ansvarsförsäkring, bankgaranti eller någon annan av Finansinspektionen godkänd motsvarande säkerhet. Försäkringen eller någon annan säkerhet ska minst uppgå till det belopp som förutsätts i de standarder för tillsyn som antagits med stöd av artikel 29.2 a i direktivet. Enligt artikel 1 i kommissionens delegerade förordning (EU) 1125/2014, vilken antagits med stöd av punkten i fråga, ska minimibeloppet avseende den för kreditförmedlare obligatoriska yrkesmässiga ansvarsförsäkringen eller jämförbara garantin vara 460 000 euro för varje enskild skada och totalt 750 000 euro per kalenderår för alla skador. 

I momentet förutsätts det dessutom att försäkringen eller någon annan säkerhet ska vara giltig på de EES-staters territorium där anmälaren förmedlar dessa konsumetkrediter eller tillhandahåller rådgivningstjänster med avseende på sådana krediter. I momentet förutsätts det också att försäkringsgivaren eller den som ställt någon annan säkerhet ska ha hemort i en stat inom Europeiska ekonomiska samarbetsområdet, om inte Finansinspektionen på ansökan beviljar undantag från detta. Den sistnämnda förutsättningen utgör nationell reglering och grundar sig inte på direktivet. 

I 2 mom. anges vilka villkor en ansvarsförsäkring dessutom ska uppfylla för att trygga en skadelidandes intressen. Villkoren är nationella bestämmelser och grundar sig inte på direktivet. Liknande villkor i fråga om ansvarsförsäkring gäller bl.a. för försäkringsmäklare. Bestämmelser om detta finns i 28 § i lagen om försäkringsförmedling (570/2005).  

Enligt 1 punkten ska försäkringsgivaren betala försäkringsersättningen till den skadelidande utan avdrag för självrisken också i det fall att försäkringen inbegriper självrisk. Enligt 2 punkten ska det av försäkringen ersättas en skada som har uppstått till följd av en gärning eller försummelse som inträffat under försäkringsperioden och beträffande vilken ersättningsanspråk har framställts skriftligen hos anmälaren, dvs. hos förmedlaren eller försäkringsgivaren under försäkringens giltighetstid eller inom tre år från det att försäkringen upphörde.  

9 §.Uppgifter som ska föras in i registret och anmälan om ändringar. Paragrafen innehåller bestämmelser om uppgifter som ska föras in i registret och anmälan om ändringar. Den motsvarar i huvuddrag 7 § i lagförslag 3. Enligt 1 mom. 1 punkten ska en enskild näringsidkares fullständiga namn och personbeteckning antecknas i registret. Om en enskild näringsidkare saknar personbeteckning, ska födelsetiden antecknas i registret. I registret införs dessutom firma, eventuell bifirma, företags- och organisationsnummer eller annan motsvarande beteckning, huvudkontor och besöksadress till de verksamhetsställen där verksamhet bedrivs. Om förmedlaren är en juridisk person antecknas enligt 2 punkten den juridiska personens firma, eventuell bifirma, företags- och organisationsnummer eller annan motsvarande beteckning, huvudkontor och besöksadress till de verksamhetsställen där verksamhet bedrivs. 

Enligt 3 punkten antecknas fullständigt namn och personbeteckning för de personer vars tillförlitlighet har kontrollerats i samband med handläggningen av registeranmälan. Om en sådan person saknar personbeteckning, ska födelsetiden antecknas i registret. Enligt 4 punkten antecknas fullständigt namn och personbeteckning för de personer som hör till den högsta ledningen och vars kännedom om kreditverksamhet har kontrollerats i samband med handläggningen av registeranmälan. Om en sådan person saknar personbeteckning, ska födelsetiden antecknas i registret.  

Enligt 5 punkten antecknas den som beviljat en i 8 § avsedd ansvarsförsäkring och försäkringsbeloppet eller, om någon annan säkerhet har ställts, vilket slag av säkerhet som ställts, av vem och till vilket belopp. 

Enligt 6 punkten antecknas också datum för registreringen.  

Enligt 7 punkten antecknas uppgift om att anmälaren är ombud för en eller flera kreditgivare. Om förmedlaren är ombud, ska det också antecknas uppgifter om de kreditgivare som förmedlaren är ombud för. Om den förmedlare som antecknas i registret inte är ombud, införs inga uppgifter till denna del. Genom punkten genomförs artikel 29.4 andra stycket led c i direktivet.  

Enligt 8 punkten antecknas uppgift om att anmälaren tillhandahåller rådgivningstjänster med avseende på konsumentkrediter som har samband med bostadsegendom. Enligt den föreslagna 4 § ska den som tillhandahåller rådgivningstjänster vara förmedlare, men förmedlare behöver självfallet inte vara tillhandahållare av rådgivningstjänster. 

Enligt 9 punkten antecknas också de EES-stater där anmälaren förmedlar konsumentkrediter som har samband med bostadsegendom eller tillhandahåller rådgivningstjänster med avseende på sådana krediter. Genom denna punkt genomförs artikel 29.4 andra stycket led b i direktivet.  

Enligt punkt 10 antecknas till anmälaren meddelade offentliga varningar och sådana förbud som förenats med vite. I registret antecknas också enligt 11 punkten skälet till strykning ur registret och när denna har skett. Bestämmelser om avregistrering tas in i 20 §. 

I registret antecknas enligt 2 mom. också uppgifter om dem som av Finansinspektionen har meddelats ett förbud att förmedla konsumentkrediter som har samband med bostadsegendom utan registrering eller tillhandahålla rådgivningstjänster med avseende på sådana krediter i strid med den föreslagna 4 §. Uppgifter om förbudet och uppgifter om påföljderna enligt 1 mom. 10 punkten ska strykas ur registret fem år efter utgången av det år då förbudet eller någon annan påföljd påfördes.  

Enligt 3 mom. ska en finländsk kreditförmedlare utan dröjsmål anmäla ändringar i de uppgifter som införts i registret till Finansinspektionen. Om ändringen gäller en uppgift som krävde en utredning till Finansinspektionen när registeranmälan gjordes, är det klart att motsvarande utredning behövs också när ändringen anmäls. 

Förmedlaren ska dessutom meddela Finansinspektionen om han eller hon under de föregående sex månaderna inte har förmedlat konsumentkrediter som har samband med bostadsegendom eller tillhandahållit rådgivningstjänster med avseende på sådana krediter eller om förmedlaren har upphört med sin verksamhet. Bestämmelser om påföljderna om skyldigheterna försummas tas in i 21 §.  

10 §.Uppgifters tillgänglighet. Enligt 16 § 3 mom. i lagen om offentlighet i myndigheternas verksamhet (621/1999) får uppgifter ur en myndighets personregister lämnas ut i form av en utskrift eller i elektronisk form endast om mottagaren enligt personuppgiftslagen (523/1999) har rätt att behandla de begärda personuppgifterna. Ett sådant villkor kan inte tillämpas när uppgifter hålls allmänt tillgängliga i ett elektroniskt datanät. I 1 mom. föreskrivs det om Finansinspektionens rätt att trots bestämmelserna i 16 § 3 mom. i nämnda lag lämna ut personuppgifter i form av utskrifter eller göra dem allmänt tillgängliga i ett elektroniskt datanät eller lämna ut dem på något annat sätt i elektronisk form. Personbeteckningar får dock lämnas ut endast om uppgiften lämnas i form av en utskrift eller i tekniskt lagringsform. En förutsättning för att uppgiften ska lämnas ut är då att mottagaren enligt 13 § i personuppgiftslagen eller någon annan lag har rätt att behandla uppgifter som gäller personbeteckningar. 

När det föreslagna 1 mom. gäller Finansinspektionens rätt att lämna ut personuppgifter och göra dem allmänt tillgängliga i ett elektroniskt datanät eller lämna ut dem på något annat sätt i elektronisk form, föreskrivs det i 2 mom. om de uppgifter som Finansinspektionen ska hålla allmänt tillgängliga i ett elektroniskt datanät. Bestämmelsen grundar sig delvis på första stycket i artikel 29.4 i direktivet. Skyldigheten att hålla uppgifterna allmänt tillgängliga i ett elektroniskt datanät gäller endast en del av de uppgifter som antecknas i registret, såsom näringsidkarens namn och uppgifter om den högsta ledningen. Med tanke på konsumenternas rättssäkerhet anses det också viktigt att Finansinspektionen i ett elektroniskt datanät tillhandahåller uppgifter också om offentliga varningar som meddelats anmälaren samt om sådana förbud som har förenats med vite. Till denna del är regleringen enbart nationell.  

11 §.Ledningens skyldigheter. Enligt paragrafen ska kreditförmedlaren se till att god kreditgivningssed iakttas i verksamheten och att verksamheten också i övrigt bedrivs i enlighet med lag. Bestämmelser om god kreditgivningssed finns i 7 kap. 13 § i konsumentskyddslagen. En motsvarande bestämmelse ingår i 9 § i lagförslag 3. Bestämmelser om kreditförmedling finns bl.a. i 7 a kap. 24—27 § i lagförslag 1. Om en kreditförmedlare tillhandahåller rådgivningstjänster, ska bestämmelserna i 28—30 § i nämnda kapitel iakttas i fråga om dem. Om kreditförmedlaren är en juridisk person, gäller kravet dess högsta ledning, som består av de personer som avses i 6 § 2 mom. i denna lag.  

Med tanke på konsumentens rättssäkerhet är det viktigt att förmedling av konsumentkrediter som har samband med bostadsegendom eller tillhandahållande av rådgivningstjänster med avseende på sådana krediter bedrivs på det sätt som förutsätts i lagen. Förmedlaren ska aktivt genom att utöva tillsyn och utfärda anvisningar se till att företagets hela personal följer lagens bestämmelser i verksamheten. Om verksamhet bedrivs i flera olika verksamhetssällen, ska förmedlaren sörja för att verksamheten är lagenlig i var och en av dem.  

12 §.Kundmedel. Paragrafen innehåller ett förbud mot att ta emot, inneha eller förmedla medel som tillhör en kund. Med medel avses förutom pengar t.ex. bostadsaktier eller andra värdepapper. En redogörelse för orsakerna till förbudet finns i avsnitt 5.2 i den allmänna motiveringen.  

13 §.Bevaring av handlingar och uppgifter som gäller kreditförmedling eller rådgivningstjänster. Enligt paragrafen ska kreditförmedlaren bevara handlingar och uppgifter som gäller kreditförmedling och rådgivningstjänster i fem år från det kundförhållandet upphörde. Om det uppkommit oenighet kring en tjänst, kreditförmedling eller rådgivningstjänster, ska handlingarna och uppgifterna i varje händelse bevaras till dess parterna har kommit överens om saken eller ärendet har avgjorts. Likaså ska förmedlaren iaktta skyldigheter som följer av eventuell annan lagstiftning när det gäller en längre bevaringstid för handlingar och uppgifter.  

Paragrafen baserar sig inte på direktivet utan är nationell reglering. En motsvarande bestämmelse ingår i 12 § i lagförslag 3. 

Bestämmelsen kompletterar de skyldigheter att bevara handlingar och uppgifter som finns någon annanstans i lag, t.ex. i konsumentskyddslagen, i lagen om förhindrande och utredning av penningtvätt och av finansiering av terrorism och i bokföringslagen. Syftet med bestämmelsen är att trygga Finansinspektionens rätt att få uppgifter för tillsynen över förmedlare.  

Bestämmelsen täcker alla faser av kundförhållandet och gäller all verksamhet som förmedlaren bedriver, allt från marknadsföring till utredning av eventuella problem. Med handlingar och uppgifter som gäller kreditförmedling och rådgivningstjänster avses t.ex. ett avtal om tjänsterna och material om konsumenten.  

14 §.Tystnadsplikt. I paragrafen föreskrivs det om tystnadsplikt i tillämpliga delar på samma sätt som bl.a. i 44 § i lagen om försäkringsförmedling. Tystnadsplikten ska gälla alla som vid förmedling av konsumentkrediter som har samband med bostadsegendom eller tillhandahållande av rådgivningstjänster med avseende på sådana krediter har fått veta något om en kunds eller någon annans ekonomiska ställning eller något som berör personliga förhållanden, såsom hälsotillstånd, eller en affärs- eller yrkeshemlighet. Tystnadsplikten innefattar såväl handlingssekretess som ett förbud att röja uppgifter som finns i annan än skriftlig form. Ett undantag utgör de situationer då den till vars förmån tystnadsplikten gäller ger sitt samtycke till att uppgifterna röjs eller då annat föreskrivs i lag. Brott mot tystnadsplikten kan bli bedömd t.ex. som ett sekretessbrott enligt 38 kap. 1 § eller som en sekretessförseelse enligt 38 kap. 2 § i strafflagen (39/1889). 

15 §.Etablering av filial och tillhandahållande av tjänster i utlandet. I paragrafen föreskrivs det om tillhandahållande av konsumentkrediter som har samband med bostadsegendom eller rådgivningstjänster med avseende på sådana i andra EES-stater. Enligt 1 mom. ska en finländsk kreditförmedlare som är införd i Finansinspektionens register meddela Finansinspektionen om förmedlaren avser att inleda förmedling av konsumentkrediter som har samband med bostadsegendom eller tillhandahållande av rådgivningstjänster med avseende på sådana i en eller flera andra EES-stater. Meddelandet ska lämnas till Finansinspektionen i god tid innan verksamheten inleds. I meddelandet ska nämnas vilka slags tjänster förmedlaren har för avsikt att tillhandahålla, i vilken stat eller i vilka stater de tillhandahålls samt om det sker genom etablering av filial. Momentet innehåller också ett bemyndigande att utfärda föreskrifter. Enligt det har Finansinspektionen rätt att utfärda närmare föreskrifter om sättet att lämna uppgifter och vilka uppgifter som meddelandet ska innehålla. Genom momentet genomförs första stycket i artikel 32.3 i direktivet. 

Enligt 2 mom. är Finansinspektionen skyldig att sända de uppgifter som förmedlaren lämnat Finansinspektionen till de behöriga myndigheterna i de mottagande staterna. Uppgifterna ska sändas inom en månad från det att Finansinspektionen mottagit förmedlarens meddelande. Utöver dessa uppgifter ska Finansinspektionen också informera myndigheterna om vilka kreditgivare förmedlaren är ombud för samt att kreditgivaren svarar för ombudets verksamhet. Förmedlaren ska utan dröjsmål underrättas om att uppgifterna har sänts till de mottagande staternas myndigheter. Genom momentet genomförs andra stycket i artikel 32.3 i direktivet. 

Enligt 3 mom. har förmedlaren rätt att inleda tillhandahållande av tjänster i en annan EES-stat en månad efter det att förmedlaren har fått ovannämnda meddelande från Finansinspektionen. Genom bestämmelsen genomförs tredje stycket i artikel 32.3 i direktivet. 

16 §.Verksamhet som en utländsk kreditförmedlare inleder i Finland. Paragrafen innehåller bestämmelser om verksamhet som en utländsk kreditförmedlare inleder i Finland. Enligt 1 mom. får en utländsk kreditförmedlare som av en behörig myndighet i hemstaten i enlighet med direktivet har beviljats rätt att förmedla konsumentkrediter som har samband med bostadsegendom, inleda motsvarande verksamhet i Finland en månad efter det att förmedlaren av den behöriga myndigheten i hemstaten har fått ett meddelande om att Finansinspektion har underrättats om att verksamhet kommer att inledas i Finland. Om en förmedlare enligt det tillstånd som myndigheten i hemstaten beviljat eller enligt registreringen har rätt att förmedla t.ex. bara krediter som kreditinstitut bjuder ut, ska motsvarande begränsning gälla också i Finland. Momentet gäller såväl filialer som dem som bedriver verksamhet inom ramen för friheten att tillhandahålla tjänster, och det grundar sig på artikel 32.3 i direktivet.  

De förutsättningar som anges i momentet lämpar sig också för utländska kreditförmedlare som har för avsikt att inleda tillhandahållande av rådgivningstjänster med avseende på konsumentkrediter som har samband med bostadsegendom i Finland. Utöver detta bör det dock beaktas vad som föreskrivs i den föreslagna 4 § om rätt att tillhandahålla rådgivningstjänster.  

I 2 mom. föreskrivs det om de situationer då en i 1 mom. avsedd utländsk förmedlare etablerar filial i Finland. Med filial avses enligt 2 § i lagen angående rättighet att idka näring (122/1919) en sådan del av en utländsk sammanslutning eller stiftelse som i Finland, från ett fast driftställe, fortlöpande driver rörelse eller utövar yrke i den utländska sammanslutningens eller stiftelsens namn och för dess räkning. 

Finansinspektionen ska meddela en sådan förmedlare på vilka villkor förmedlaren ska bedriva verksamhet i Finland i sådana ärenden som inte har harmoniserats i unionslagstiftningen. Finansinspektionen ska lämna meddelandet innan verksamheten i filialen inleds eller inom två månader från det att Finansinspektionen mottagit ett i 1 mom. avsett meddelande från den behöriga myndigheten i förmedlarens hemstat. Genom momentet genomförs artikel 32.4 i direktivet. 

Paragrafens 3 mom. gäller uppgifter som Finansinspektionen ska anteckna i registret när det gäller utländska kreditförmedlare med verksamhet i Finland. Momentet gäller såväl filialer som dem som bedriver verksamhet inom ramen för friheten att tillhandahålla tjänster, och det grundar sig på artikel 32.3 i direktivet. Enligt 1 punkten antecknas kreditförmedlarens namn och registernummer eller annan motsvarande beteckning och, om kreditförmedlaren är en fysisk person, också födelsetiden. Med registernummer avses en beteckning som individualiserar ett företag på samma sätt som ett finskt företags- och organisationsnummer. Enligt 2 punkten antecknas också adressen till kreditförmedlarens huvudkontor och eventuell annan kontaktinformation som lämnats till Finansinspektionen, såsom e-postadress och telefonnummer. Om det är fråga om en filial, ska motsvarande uppgifter antecknas också om den, förutsatt att kontaktinformationen är känd vid den tidpunkt då anmälan görs. Enligt 3 punkten ska också namnen på dem som ansvarar för ledningen av den föreslagna filialen antecknas i registret. Detta är självfallet möjligt endast när dessa personer är kända vid den tidpunkt då anmälan görs. I registret antecknas enligt den föreslagna 4 punkten också namnet på den behöriga myndigheten i kreditförmedlarens hemstat samt webbadressen till det kreditförmedlarregister i vilket kreditförmedlaren har införts. Enligt den föreslagna 5 punkten antecknas också de tjänster som kreditförmedlaren avser att tillhandahålla i Finland i den omfattning som de framgår av det meddelande som den behöriga myndigheten i hemstaten sänt till Finansinspektionen. Enligt den föreslagna 6 punkten antecknas namn och registernummer eller annan beteckning för en eller flera sådana kreditgivare som kreditförmedlaren är anknuten till eller för vars räkning kreditförmedlaren uteslutande agerar. Om sådana kreditgivare förekommer, ska de också bekräfta att de tar fullt och villkorslöst ansvar för kreditförmedlarens verksamhet. Det är klart att denna punkt inte gäller fall då kreditförmedlaren inte har bindningar till kreditgivare. Enligt den föreslagna 7 punkten antecknas i registret datum då den behöriga myndigheten i hemstaten enligt egen uppgift har lämnat ett meddelande enligt 1 mom. till kreditförmedlaren, dvs. ett meddelande om att Finansinspektionen har underrättats om att verksamhet kommer att inledas i Finland. 

17 §.Tillsyn. I paragrafen föreskrivs det om tillsynen över lagen. Enligt förslaget ska tillsyn över efterlevnaden av lagen utövas av Finansinspektionen. 

18 §.Rätt att få uppgifter ur bötes- och straffregistret. Paragrafen innehåller bestämmelser om Finansinspektionens rätt att få uppgifter ur bötes- och straffregistret. För att Finansinspektionen ska kunna bedöma förmedlares tillförlitlighet bör Finansinspektionen ha rätt att få behövliga uppgifter ur det bötesregister som avses i 46 § i lagen om verkställighet av böter (672/2002). Uppgifter ur straffregistret för att utreda en förmedlares tillförlitlighet får däremot lämnas med stöd av 4 a § i straffregisterlagen (770/1993). 

19 §.Kreditförmedling utan registrering och tillhandahållande av rådgivningstjänster i strid med lag. Enligt 1 mom. ska Finansinspektionen förbjuda förmedling av konsumentkrediter som har samband med bostadsegendom eller tillhandahållande av rådgivningstjänster med avseende på sådana krediter, om verksamheten bedrivs i strid med lag utan registrering eller innan den tid från mottagandet av meddelandet som avses i 15 § 3 mom. eller 16 § 1 mom. har löpt ut. Detsamma gäller också fall då förmedlaren över huvudtaget inte har mottagit ett sådant meddelande som avses i nämnda bestämmelser. Likaså ska Finansinspektionen förbjuda tillhandahållande av rådgivningstjänster, om rådgivningstjänsterna inte uppfyller förutsättningarna i 4 §, dvs. om t.ex. den som tillhandahåller rådgivningstjänsterna hör till samma koncern som en kreditgivare.  

I allmänhet gäller förbudet en sammanslutning eller en näringsidkare som är förmedlare. Av särskilda skäl kan Finansinspektionen rikta förbudet också till en person som är anställd hos någon som förmedlar konsumentkrediter som har samband med bostadsegendom eller tillhandahåller rådgivningstjänster med avseende på sådana eller till någon annan som agerar för dennes räkning. Ett förbud som riktar sig till en person kan vara befogat t.ex. när det är uppenbart att sammanslutningen i fråga inte kommer att följa förbudet och inte klarar av att betala vite som är förenat med förbudsbeslutet. Samma bedömning kan göras också i en situation då det finns skäl att tro att det förbud som meddelats förmedlaren kommer att kringgås på så sätt att den förbjudna verksamheten fortsätts i ett nytt företag. 

Eftersom syftet med förbudet är att avbryta lagstridig förmedling av konsumentkrediter som har samband med bostadsegendom eller lagstridigt tillhandahållande av rådgivningstjänster med avseende på sådana krediter, är det också befogat att ange en så kort tidsfrist som möjligt för efterlevnaden av förbudet. En allmän utgångspunkt är att den som bedriver olovlig verksamhet tillåts vidta endast sådana åtgärder efter förbudet som är nödvändiga för att avsluta verksamheten. 

Finansinspektionen har enligt 33 a § i lagen om Finansinspektionen behörighet att förena ett förbud med vite. Till skillnad från nämnda paragraf föreskrivs det i 2 mom. att Finansinspektionen är skyldig att förena ett förbud som avses i 1 mom. med vite, om det inte av särskilda skäl är onödigt.  

Enligt 10 § i lagen om Finansinspektionen är det Finansinspektionens direktion som dömer ut vite. Till den del något annat inte följer av nämnda lag tillämpas också bestämmelserna i viteslagen (1113/1990). 

I 2 mom. hänvisas det också till Finansinspektionens rätt att meddela offentlig varning. Bestämmelser om detta finns i lagen om Finansinspektionen. 

20 §.Avregistrering. Enligt 1 mom. 1 punkten ska Finansinspektionen utan ogrundat dröjsmål avföra en finländsk kreditförmedlare ur registret, om förmedlaren under de förgående sex månaderna inte har förmedlat konsumentkrediter som har samband med bostadsegendom eller tillhandahållit rådgivningstjänster med avseende på sådana krediter eller om förmedlaren har upphört med sin verksamhet. Genom denna punkt genomförs artikel 33.1 a i direktivet. Kravet att avregistreringen ska ske utan ogrundat dröjsmål baserar sig på artikel 33.3 i direktivet. 

Enligt 2 punkten ska en förmedlare avföras ur registret om denne har godkänts i registret på basis av felaktiga eller vilseledande uppgifter som förmedlaren själv lämnat. Genom denna punkt genomförs artikel 33.1 b i direktivet. De felaktiga eller vilseledande uppgifterna ska till sin natur vara sådana att anmälaren inte skulle ha godkänts för anteckning i registret i det fall att Finansinspektionen hade haft tillgång till korrekta uppgifter i stället för felaktiga.  

Enligt 3 punkten ska också en sådan förmedlare avregistreras som inte längre uppfyller förutsättningarna för registrering enligt 6 § 1 mom. 1—3 punkten. Genom denna punkt genomförs artikel 33.1 c i direktivet.  

En förmedlare ska enligt 4 punkten avregistreras om denne förmedlar konsumentkrediter som har samband med bostadsegendom såsom ombud för någon annan. Att vara ombud för någon annan är enligt 6 § 3 mom. också ett hinder för registrering. Punkten baserar sig inte på direktivet utan är nationell reglering. En motsvarande bestämmelse ingår i 18 § 1 mom. 3 punkten i lagförslag 3. 

Enligt 5 punkten ska Finansinspektionen avföra en förmedlare ur registret om förutsättningen för registrering i 6 § 1 mom. 4 punkten inte längre uppfylls och förmedlaren inte inom utsatt tid har anmält nya personer som uppfyller de föreskrivna kraven på kännedom om kreditverksamhet. En motsvarande bestämmelse ingår i 18 § 1 mom. 4 punkten i lagförslag 3. 

En förmedlare ska enligt 6 punkten avföras ur registret om förutsättningen för registrering i 6 § 1 mom. 5 punkten inte längre uppfylls och förmedlaren inom utsatt tid inte har ordnat en ansvarsförsäkring eller någon annan säkerhet som uppfyller förutsättningarna i 8 §. Bestämmelsen grundar sig på artikel 29.2 a i direktivet. 

Enligt 7 punkten ska en förmedlare avföras ur registret i det fall att förmedlaren redan tidigare har meddelats ett sådant verksamhetsförbud för viss tid som avses i 21 § 1 mom., men det i förmedlarens eller dess högsta lednings verksamhet förekommer allvarliga eller upprepade försummelser även efter det. En motsvarande bestämmelse ingår i 18 § 1 mom. 5 punkten i lagförslag 3. 

Enligt 2 mom. har Finansinspektionen i syfte att tillvarata kundernas intressen rätt att utfärda föreskrifter om vilka åtgärder förmedlaren ska vidta för att avsluta verksamheten. 

Enligt 3 mom. ska Finansinspektionen inom 14 dagar från det att en förmedlare av konsumentkrediter som har samband med bostadsegendom har avförts ur registret anmäla detta till de behöriga myndigheterna i de andra EES-stater där förmedlaren i enlighet med 15 § 1 mom. har uppgett sig ha verksamhet. 

21 §.Andra påföljder för finländska kreditförmedlare. I 1 mom. föreskrivs det om Finansinspektionens rätt att förbjuda en finländsk kreditförmedlare att fortsätta verksamheten, om förmedlaren i väsentlig grad försummar en skyldighet enligt 9 § 3 mom., 11—13 § eller 15 § 1 mom. i den föreslagna lagen och försummelsen inte har rättats till inom en av Finansinspektionen angiven skälig tid. Förbudet gäller tills försummelsen har rättats till. 

I 2 mom. upprepas för klarhetens skull att Finansinspektionen enligt 33 a § i lagen om Finansinspektionen har behörighet att förena förbudet med vite. Momentet innehåller också en hänvisning till lagen om Finansinspektionen till den del det i lagen föreskrivs om Finansinspektionens rätt att meddela offentlig varning. 

22 §.Påföljder för en utländsk kreditförmedlares filial. Om Finansinspektionen konstaterar att en utländsk kreditförmedlare med filial i Finland inte iakttar bestämmelserna i 6 § 1 mom. 4 punkten eller 11—13 §, ska Finansinspektionen enligt 1 mom. kräva att förmedlaren upphör med det förfarande som strider mot bestämmelserna. Genom momentet genomförs delvis andra stycket i artikel 34.2 i direktivet. 

I 2 mom. föreskrivs det om påföljderna om förmedlaren inte vidtar de åtgärder som krävs. Finansinspektionen får då påföra administrativa påföljder enligt 21 § 1 mom. eller enligt lagen om Finansinspektionen för att säkerställa att förmedlaren upphör med det förfarande som strider mot bestämmelserna. Finansinspektionen ska utan ogrundat dröjsmål i enlighet med artikel 34.2 i direktivet om bostadskrediter underrätta de behöriga myndigheterna i förmedlarens hemstat och kommissionen om de administrativa påföljder som det fattats beslut om. Genom momentet genomförs tredje och fjärde stycket i artikel 34.2 i direktivet. 

I 3 mom. föreskrivs det om det förfarande som ska iakttas om Finansinspektionen har grundad anledning att misstänka att en utländsk kreditförmedlares filial i Finland inte iakttar bestämmelserna för genomförande av de andra artiklar i direktivet om bostadskrediter än dem som nämns i andra stycket i artikel 34.2. Genom momentet genomförs delvis första stycket i artikel 34.4 i direktivet. 

I 4 mom. föreskrivs det om det förfarande som ska iakttas om den behöriga myndigheten i förmedlarens hemstat inte vidtar behövliga åtgärder inom en månad från det att den fick dessa uppgifter eller om förmedlaren trots de åtgärder som den behöriga myndigheten i hemstaten vidtagit fortsätter att handla på ett sätt som klart strider mot finländska konsumenters intressen eller hindrar marknaden att fungera på ett ändamålsenligt sätt i Finland. Genom momentet genomförs delvis andra stycket i artikel 34.4. 

23 §.Påföljder för andra utländska kreditförmedlare. I 1 mom. föreskrivs det på samma sätt som i 22 § 3 mom. om Finansinspektionens skyldighet att underrätta den behöriga myndigheten i en utländsk kreditförmedlarens hemstat, om Finansinspektionen har grundad anledning att misstänka att denna utländska kreditförmedlare som är verksam i Finland utan att ha filial inte följer de bestämmelser som utfärdats i förmedlarens hemstat för genomförandet av bestämmelserna i direktivet. Genom momentet genomförs delvis första stycket i artikel 34.4 i direktivet. 

I 2 mom. föreskrivs det på samma sätt som i 22 § 4 mom.om Finansinspektionens skyldigheter om den behöriga myndigheten i den utländska kreditförmedlarens hemstat inte vidtar behövliga åtgärder inom en månad från det att den fick dessa uppgifter eller om förmedlaren trots de åtgärder som den behöriga myndigheten i hemstaten vidtagit fortsätter att handla på ett sätt som klart strider mot finländska konsumenters intressen eller hindrar marknaden att fungera på ett ändamålsenligt sätt i Finland. Genom momentet genomförs delvis andra stycket i artikel 34.4 i direktivet. 

Finansinspektionen ska i sådana situationer först underrätta den behöriga myndigheten i hemstaten om saken. Efter det kan Finansinspektionen påföra sådana administrativa påföljder som avses i 22 § 2 mom. Kommissionen och Europeiska bankmyndigheten ska utan ogrundat dröjsmål underrättas om de administrativa påföljderna. Finansinspektionen har också möjlighet att föra ärendet till en banktillsynsmyndighet för behandling i enlighet med artikel 19 i förordning (EU) nr 1093/2010 om inrättande av en europeisk tillsynsmyndighet (Europeiska bankmyndigheten).  

24 §.Tillsynsbefogenheter. Paragrafen innehåller bestämmelser om Finansinspektionens tillsynsbefogenheter. Genom den genomförs femte stycket i artikel 34.2 samt 34.3 och 34.5. 

Enligt 1 mom. har Finansinspektionen i enlighet med 24 och 25 § i lagen om Finansinspektionen rätt att inspektera verksamheten i en filial som en finländsk kreditförmedlare har i en annan EES-stat. Lagens 24 § gäller granskningsrätt och 25 § innehåller ett undantag från rätten att få uppgifter och granska när det gäller rättegångsombud, rättegångsbiträden och advokater.  

Om Finansinspektionen inte godkänner åtgärder som vidtagits av en myndighet i en annan EES-stat i fråga om en finländsk kreditförmedlares filial i staten i fråga, får Finansinspektionen föra ärendet till en banktillsynsmyndighet för behandling i enlighet med artikel 19 i Europaparlamentets och rådets förordning (EU) nr 1093/2010 om inrättande av en europeisk tillsynsmyndighet (Europeiska bankmyndigheten). Genom momentet genomförs till denna del femte stycket i artikel 34.2 i direktivet.  

Enligt 2 mom. har Finansinspektionen rätt att av den utländska kreditförmedlaren få de uppgifter som behövs för att sköta tillsynsuppdraget eller de övriga uppgifter som föreskrivs i lag eller i direktivet om bostadskrediter. Finansinspektionen ska dock på förhand underrätta den behöriga myndigheten i den utländska kreditförmedlarens hemstat om saken. 

I 3 mom. föreskrivs det om Finansinspektionens rätt att inspektera verksamheten i den utländska kreditförmedlarens filial i Finland i syfte att sköta tillsynsuppdraget eller de övriga uppgifter som föreskrivs i lag eller i direktivet om bostadskrediter. Den behöriga myndigheten i den utländska kreditförmedlarens hemstat ska underrättas på förhand också om sådana inspektioner. 

När Finansinspektionen utövar sin rätt att få uppgifter och sin inspektionsrätt enligt 2 och 3 mom. tillämpas enligt 4 mom. vad som i 3 kap. i lagen om Finansinspektionen föreskrivs om rätt att få uppgifter och inspektionsrätt för andra finansmarknadsaktörer, samt vad som föreskrivs i 33 a § om rätten att förelägga vite och i 34 § om rätten att anlita utomstående sakkunniga i det kapitlet. Enligt den sistnämnda paragrafen kan Finansinspektionen för en utredning som behövs för tillsynen över ett tillsynsobjekt eller en annan finansmarknadsaktör och som kräver särskild sakkunskap anlita en revisor eller en annan utomstående sakkunnig. I samma paragraf föreskrivs det också bl.a. om den sakkunniges ansvar, oberoende ställning och arvode. 

25 §.Rätt till skadestånd. I paragrafen föreskrivs det om rätten till skadestånd för en konsument eller för någon annan vars rätt uppdraget eller kreditavtalet gäller. Det är klart att bestämmelsen kan bli tillämplig endast när finsk lag över huvudtaget blir tillämplig på fallet med stöd av Europaparlamentets och rådets förordning (EG) nr 593/2008 om tillämplig lag för avtalsförpliktelser (Rom I) eller Europaparlamentets och rådets förordning (EG) nr 864/2007 om tillämplig lag för utomobligatoriska förpliktelser (Rom II). 

Enligt 1 mom. är kreditförmedlaren skyldig att ersätta skada som hans eller hennes förfarande i strid med lag eller uppdragsavtalet orsakat en konsument eller någon annan vars rätt uppdraget eller kreditavtalet gäller. Sådana andra aktörer kan vara en borgensman, den som ställt tredjemanspant som säkerhet för krediten eller kreditgivaren. Kreditförmedlaren är dock fri från ansvar, om denne visar att han eller hon handlat med yrkesskicklighet och omsorg. 

I 2 mom. föreskrivs det om personligt ersättningsansvar för verkställande direktören, medlemmar i styrelsen eller jämförbara organ samt ansvariga bolagsmän i en sammanslutning som är kreditförmedlare när de brutit mot förbudet i 12 § mot att ta emot, inneha eller förmedla medel som tillhör en kund och detta har förorsakat skada för konsumenten eller någon annan vars rätt uppdraget eller kreditavtalet gäller. Skadeståndsyrkandet får också riktas till sammanslutningens verkställande direktör, medlemmar i styrelsen eller jämförbara organ samt ansvariga bolagsmän, om skadan har berott på att dessa uppsåtligen eller av oaktsamhet har underlåtit att se till att förbudet i 12 § iakttas i verksamheten. Detsamma gäller ersättare i styrelsen, om han eller hon har varit medlem när den ordinarie medlemmen varit förhindrad. En förutsättning för att de aktörer som nämns i bestämmelsen ska vara fria från skadeståndsansvar är att de har sett till att förfarandena och instruktionerna till personalen när det gäller att iaktta förbudet är ändamålsenligt utformade och att efterlevnaden av dem i tillräcklig utsträckning har övervakats. 

Enligt 3 mom. är avtalsvillkor som avviker från 1 eller 2 mom. till nackdel för konsumenten eller någon annan fysisk person som har rätt till skadestånd utan verkan. 

I 4 mom. hänvisas det till skadeståndslagen, där det i 2 och 6 kap. föreskrivs om jämkning av skadestånd och om fördelning av skadeståndsansvaret mellan två eller flera skadeståndsskyldiga. 

26 §.Straffbestämmelser. Enligt 1 mom. ska den som uppsåtligen utan registrering förmedlar konsumentkrediter som har samband med bostadsegendom eller tillhandahåller rådgivningstjänster med avseende på sådana krediter, om inte strängare straff för gärningen föreskrivs någon annanstans i lag, dömas för brott vid förmedling av konsumentkrediter som har samband med bostadsegendom. Straffet är böter eller fängelse i högst sex månader. 

Det förfarande som avses i det föreslagna brottsrekvisitet kan anses så klandervärt att ett straffrättsligt ansvar för det är motiverat. De föreslagna bestämmelserna är befogade också för att säkerställa en effektiv näringsrättslig reglering. Den föreslagna straffskalan motsvarar klandervärdheten i den typ av gärning som straffbeläggs och skalan är också i linje med andra straffbestämmelser som gäller gärningar av liknande slag och som har samband med näringsrättslig verksamhet. 

En stark grundläggande regel är att straffbestämmelser som är förenade med hot om fängelse ska placeras i strafflagen. Det krävs vägande skäl för att man ska kunna avvika från denna huvudregel. Bestämmelser av den typ som avses i den föreslagna straffbestämmelsen och som också innefattar ett lågt hot om fängelsestraff finns för närvarande i den materiellrättsliga lagstiftningen, och det anses därför lämpligt att också den föreslagna straffbestämmelsen placeras i en materiell lag, då brottet är ett förfarande i strid med den.  

Om Finansinspektionen har förenat det förbud som meddelats med stöd av 19 § 1 mom. med vite, föreskrivs det i 2 mom. i syfte att förhindra överlappningar att den som brutit mot förbudet då inte får dömas till straff för samma gärning, om vitet genom ett lagakraftvunnet beslut har dömts ut. Bestämmelsen motsvarar 19 § 3 mom. i lagförslag 3.  

27 §.Sökande av ändring i Finansinspektionens beslut. Enligt hänvisningsbestämmelsen i paragrafen får ändring i Finansinspektionens beslut sökas på det sätt som föreskrivs i lagen om Finansinspektionen.  

28 §.Ikraftträdande. Paragrafens 1 mom. innehåller en sedvanlig ikraftträdandebestämmelse.  

Enligt 2 mom. får Finansinspektionen ta upp en registeranmälan till behandling innan lagen träder i kraft. Den som gör anmälan får införas i registret över förmedlare av konsumentkrediter som har samband med bostadsegendom när lagen träder i kraft.  

29 §.Övergångsbestämmelser. Enligt 1 mom. får den som när denna lag träder i kraft bedriver verksamhet som enligt denna lag förutsätter registrering fortsätta med sin verksamhet i Finland utan registrering fram till den 21 mars 2017.  

I 2 mom. föreskrivs det om krav på kunskap och kompetens. Den som har börjat förmedla konsumentkrediter som har samband med bostadsegendom eller börjat tillhandahålla rådgivningstjänster med avseende på sådana krediter senast den 19 mars 2014, ska iaktta vad som i 3 § 3 mom. och 6 § 1 mom. 4 punkten föreskrivs om krav på kunskap och kompetens från och med den 21 mars 2017.  

1.3  Lag om registrering av vissa kreditgivare och kreditförmedlare

Allmänt. Lagen är ny, men motsvarar innehållsmässigt till största delen den gällande lagen om registrering av vissa kreditgivare. En redogörelse för lagens innehåll ges närmast när en bestämmelse i förslaget innehållsmässigt avviker från den gällande lagen. 

1 §.Tillämpningsområde. I paragrafen anges lagens tillämpningsområde. I den första meningen i 1 mom. görs det en teknisk ändring som beror på att bestämmelser om konsumentkrediter som har samband med bostadsegendom enligt lagförslag 1 ska ingå i 7 a kap. i konsumentskyddslagen. För närvarande regleras sådana i 7 kap. i konsumentskyddslagen. Lagen ska gälla näringsidkare som lämnar konsumentkrediter som omfattas av tillämpningsområdet för såväl 7 kap. som det nya 7 a kap. i konsumentskyddslagen. Konsumentkrediter som har samband med bostadsegendom är sådana bostadskrediter som avses i 7 a kap. 3 § 1 mom. 2 punkten i lagförslag 1 samt de konsumentkrediter med en bostad som säkerhet som avses i 3 punkten i samma moment. Lagens tillämpningsområde ändras alltså inte i sak i detta avseende. 

Enligt den andra meningen i 1 mom. ska tillämpningsområdet utvidgas till att gälla också näringsidkare som förmedlar krediter till konsumenter, om krediten lämnas av någon annan än en i 7 eller 7 a kap. i konsumentskyddslagen avsedd kreditgivare (person-till-person-lån). Med förmedling av krediter avses i bestämmelsen på motsvarande sätt som i 7 kap. 7 § 6 punkten i konsumentskyddslagen att presentera eller erbjuda kreditavtal till konsumenter eller på annat sätt bistå konsumenter vid ingåendet av kreditavtal eller ingå kreditavtal med konsumenter för kreditgivarens räkning. Vid person-till-person-lån är det alltså fråga om verksamhet där en näringsidkare fungerar som förmedlare för att möjliggöra uppkomsten av ett kreditförhållande mellan två fysiska personer eller mellan en fysisk person och en juridisk person som inte är yrkesmässiga kreditgivare.  

I 2 mom. anges det när lagen inte ska tillämpas. Dessa begränsningar motsvarar i stor utsträckning 1 § 2 mom. i den gällande lagen. Enligt 1 punkten ska lagen inte tillämpas på näringsidkare som Finansinspektionen utövar tillsyn över med stöd av 4 § i lagen om Finansinspektionen. Lagen ska alltså inte tillämpas t.ex. på inhemska kreditinstitut, i Finland etablerade filialer till kreditinstitut som är EES-tillsynsobjekt, tjänster som utländska tillsynsobjekt tillhandahåller i Finland utan att etablera filial eller på värdepappersföretag. En sådan begränsning behövs i syfte att undvika överlappningar. 

I 2 punkten föreskrivs det om ett undantag som gäller tillhandahållare av betaltjänster enligt 7 § i lagen om betalningsinstitut. Ett sådant undantag behövs eftersom det föreslås att lagförslag 3 ska tillämpas också på förmedlare av person-till-person-lån. I vissa fall kan förmedlare av person-till-person-lån höra till de övriga tillsynsobjekt som avses i 5 § i lagen om Finansinspektionen och syftet med begränsningen är därför att förhindra eventuella överlappningar.  

Enligt 3 punkten ska lagen inte tillämpas på pantlåneinrättningar. Bestämmelser om koncession som krävs för pantlåneinrättningar finns i lagen om pantlåneinrättningar. 

Enligt 4 punkten ska lagen inte gälla näringsidkare som lämnar konsumentkrediter endast för finansiering av köp av konsumtionsnyttigheter som de själva säljer. Det avgörande är om konsumenten kan använda den kredit som näringsidkaren har lämnat endast för köp av konsumtionsnyttigheter som näringsidkaren i fråga säljer eller om den kan användas också för något annat ändamål.  

Enligt 5 punkten ska lagen inte heller tillämpas på staten, kommunerna eller andra offentliga samfund. 

Enligt 6 punkten gäller lagen inte näringsidkare som är etablerade i en annan EES-stat och som tillfälligt erbjuder konsumentkrediter eller förmedlar person-till-person-lån i Finland. Med tillfälligt erbjudande av konsumentkrediter eller förmedling av person-till-person-lån avses erbjudande av tjänster utan att villkoren för etablering uppfylls. En redogörelse för villkoren för etablering finns i detaljmotiveringen för 1 § 2 mom. 4 punkten i den gällande lagen (RP 24/2010 rd, s. 47). 

2 §.Rätten att lämna konsumentkrediter och förmedla person-till-person-lån. Den första meningen i paragrafen motsvarar 2 § i den gällande lagen. I den andra meningen föreskrivs det att andra näringsidkare än de som avses i 1 § 2 mom. har rätt att förmedla person-till-person-lån endast om de är registrerade som förmedlare av person-till-person-lån eller som kreditgivare.  

3 §.Register över kreditgivare och förmedlare av person-till-person-lån samt registeranmälan. Enligt 1 mom. är Regionförvaltningsverket i Södra Finland skyldigt att föra ett register över kreditgivare och förmedlare av person-till-person-lån. Det nuvarande kreditgivarregistret ändras till ett register över kreditgivare och förmedlare av person-till-person-lån. I registret införs de kreditgivare och förmedlare av person-till-person-lån som omfattas av lagens tillämpningsområde. 

Paragrafens 2 mom. motsvarar till största delen 3 § 2 mom. i den gällande lagen, men där föreskrivs nu också att den som har för avsikt att förmedla person-till-person-lån är skyldig att för anteckning i registret göra en anmälan till Regionförvaltningsverket i Södra Finland. I registeranmälan ska ingå uppgift om huruvida anmälaren ansöker om att bli registrerad som kreditgivare eller som förmedlare av person-till-person-lån och, om det är fråga om registrering som kreditgivare, huruvida anmälaren avser att också lämna konsumentkrediter som har samband med bostadsegendom och som omfattas av tillämpningsområdet för 7 a kap. i lagförslag 1 eller förmedla person-till-person-lån. Det nya för såväl kreditgivare och förmedlare av person-till-person-lån är också att det i registeranmälan enligt 5 punkten ska ingå uppgift om huruvida anmälaren har för avsikt att ta emot kundmedel, och i så fall, en utredning över hur anmälaren avser att sköta bevaringen och hantering av kundmedel.  

Paragrafens 3 mom. motsvarar 3 § 3 mom. i den gällande lagen. 

4 §.Förutsättningar för registrering. Paragrafen motsvarar till största delen 4 § i den gällande lagen, men ska i fortsättningen också gälla förmedlare av person-till-person-lån och förmedling av sådana lån.  

5 §.Tillförlitlighet. Paragrafen motsvarar till största delen 5 § 1 mom. i den gällande lagen, men det görs vissa terminologiska ändringar som avser förmedling av person-till-person-lån. Dessutom stryks den felaktiga hänvisningen till stiftelse. 

6 §.En juridisk person som anmälare. Paragrafens 1 mom. motsvarar 5 § 2 mom. i den gällande lagen. Paragrafens 2 mom. motsvarar annars 6 § i den gällande lagen, men i den andra meningen tas det in ett omnämnande av förmedling av person-till-person-lån. 

7 §.Uppgifter som ska föras in i registret och anmälan om ändringar. Paragrafen motsvarar till största delen i sak 7 § i den gällande lagen. Det nya förutom ändringarna om förmedling av person-till-person-lån är att det enligt 1 mom. 3 punkten ska antecknas i registret huruvida näringsidkaren är kreditgivare eller förmedlare av person-till-person-lån och, om det är fråga om en kreditgivare, huruvida denne lämnar också konsumentkrediter som har samband med bostadsegendom och som omfattas av tillämpningsområdet för 7 a kap. i lagförslag 1 eller huruvida denne förmedlar person-till-person-lån.  

Det nya är enligt punkt 6 att det i registret antecknas huruvida kreditgivaren eller förmedlaren av person-till-person-lån har rätt att ta emot kundmedel. Om anmälaren enligt vad denne uppger inte avser att ta emot kundmedel eller om anmälaren inte beviljas tillstånd enligt 10 § att ta emot kundmedel, antecknas det i registret att kreditgivaren eller förmedlaren av person-till-person-lån inte har rätt att ta emot kundmedel. Om anmälaren beviljas rätt att ta emot kundmedel, antecknas på motsvarande sätt att anmälaren har denna rätt.  

8 §.Utlämnande av uppgifter. Paragrafen motsvarar 8 § i den gällande lagen. 

9 §.Skyldigheter för ledningen hos en kreditgivare och en förmedlare av person-till-person-lån. Paragrafens 1 mom. motsvarar annars i sak 9 § i den gällande lagen, men det gäller också ledningen hos förmedlare av person-till-person-lån.  

Det föreslagna 2 mom. är nytt. Det föreskrivs där om minimikrav på kunskap och kompetens hos kreditgivarens personal och personer som på annat sätt agerar för kreditgivarens räkning. I momentet sägs det att om kreditgivaren lämnar konsumentkrediter som omfattas av tillämpningsområdet för 7 a kap. i lagförslag 1, ska kreditgivarens personal och de personer som på annat sätt agerar för kreditgivarens räkning och deltar i lämnandet av krediter ha tillräcklig kunskap och kompetens i fråga om kreditverksamhet. Dessa krav gäller också personer under vars direkta ledning och tillsyn de personer som deltar i lämnande av kredit agerar, dvs. i praktiken de närmaste cheferna för de personer som deltar i lämnande av kredit. Bestämmelser om krav på kunskap och kompetens finns i bilaga III till direktivet om bostadskrediter. Avsikten är att bilagan ska genomföras genom en statsrådsförordning. Genom momentet genomförs delvis artikel 9.2 i direktivet.  

Genom paragrafens 3 mom. genomförs delvis artikel 19.2 i direktivet. Momentet är nytt. Det föreskrivs där om en skyldighet för en kreditgivare som lämnar konsumentkrediter som har samband med bostadsegendom eller, om det är fråga om en juridisk person, för kreditgivarens högsta ledning, att säkerställa att den som värderar bostadsegendom har tillräcklig yrkesskicklighet för värderingsuppdraget. Med tillräcklig yrkesskicklighet avses bl.a. kännedom om de områden i lagstiftningen som är av betydelse vid värdering av egendom, såsom lagstiftning som gäller byggande och förvärv av bostad, samt sådana tekniska kunskaper och färdigheter och andra kvalifikationer som behövs vid värdering.  

Tillräcklig yrkesskicklighet har t.ex. auktoriserade fastighetsvärderare (AKA) och av Centralhandelskammaren godkända fastighetsvärderare (KHK). Tillräcklig yrkesskicklighet kan också uppnås genom en examen som lämpar sig för värdering, såsom juris eller ekonomie kandidatexamen eller magisterexamen, diplomingenjörsexamen eller vicenotarie- eller rättsnotarieutbildning eller fullgjort prov för fastighetsförmedlare. Förutom genom examen eller prov kan tillräcklig yrkesskicklighet uppnås genom annan utbildning kombinerad med längre praktisk erfarenhet av värderingsuppdrag av motsvarande slag. Ju mer sällsynt eller ju mer krävande det objekt som värderas är, desto större är kraven på värderarens yrkesskicklighet i fråga om både utbildning och arbetserfarenhet. 

10 §.Rätt att ta emot kundmedel. Paragrafen om rätt att ta emot kundmedel är ny. Bestämmelserna baserar sig inte på direktivet utan är nationell reglering. 

Om anmälaren i registeranmälan har meddelat om sin avsikt att ta emot kundmedel, ska regionförvaltningsverket utreda huruvida anmälaren kan beviljas rätt till detta. Rätt att ta emot kundmedel ska enligt 1 mom. beviljas, om anmälaren för det första har lämnat regionförvaltningsverket en utredning om bevaring och hantering av kundmedel på det sätt som förutsätts i 11 § 1 mom. En förutsättning är alltså att anmälaren har lämnat en sådan utredning och att regionförvaltningsverket på basis av den gör bedömningen att bevaringen och hanteringen motsvarar det som krävs. I 1 mom. förutsätts det dessutom att anmälaren inte ska anses uppenbart olämplig att ta emot kundmedel.  

I 2 mom. föreskrivs det om vilka faktorer regionförvaltningsverket ska beakta då det bedömer om anmälaren är lämplig att ta emot kundmedel. För det första beaktas anmälarens ekonomiska ställning, dvs. t.ex. olika uppgifter i resultaträkningen och balansräkningen samt andra uppgifter som beskriver ekonomin, såsom konkurs- och företagssaneringsärenden. Viktiga uppgifter när en persons ekonomiska ställning bedöms är t.ex. uppgifter om inkomst och förmögenhet. Uppgifter som beskriver den ekonomiska ställningen i fråga om dem båda är också uppgifter som ingår i utsökningsregistret. För det andra ska regionförvaltningsverket när det bedömer olämplighet beakta hur anmälaren har fullgjort sina skyldigheter i fråga om skatter, lagstadgade pensionsförsäkrings-, olycksfallsförsäkrings- eller arbetslöshetsförsäkringsavgifter eller avgifter som tullen tar ut. Med skyldigheter i fråga om avgifter avses registerings-, anmälnings- och betalningsskyldighet. I praktiken kan regionförvaltningsverket när det samlar in uppgifter för bedömningen av olämplighet utnyttja en sådan fullgöranderapport som avses i 5 § i lagen om Enheten för utredning av grå ekonomi (1207/2010). 

Eftersom en förutsättning för att anmälaren ska vägras rätt att ta emot kundmedel är att anmälaren är uppenbart olämplig för detta, är det klart att försummelser eller ekonomiska problem som är obetydliga i förhållande till verksamheten inte får utgöra ett hinder för denna rätt eller en grund för att slopa den. När den ekonomiska ställningen bedöms ska det läggas vikt vid hur länge de ekonomiska svårigheterna varat och hur kännbara ekonomiska svårigheter det är fråga om. I fråga om skyldigheterna ska det läggas vikt vid antalet försummelser, i fråga om avgifterna beloppen i euro samt hur nyligen försummelserna har ägt rum. Anmälaren kan anses uppenbart olämplig att ta emot kundmedel t.ex. när anmälaren vid utmätning konstaterats vara medellös och det utgående från tillgängliga uppgifter inte finns anledning att anta att den ekonomiska situationen skulle ha försämrats enbart tillfälligt. Anmälaren kan anses uppenbart olämplig att ta emot kundmedel också t.ex. när anmälaren har flera efterföljande räkenskapsperioder med förlust bakom sig eller när skuldsättningen är betydande. Skuldsättningen ska vanligen anses betydande t.ex. när företagets skatteskuld i förhållande till omsättningen överstiger 10 procent och det inte har gjorts någon betalningsplan för skötseln av skatteskulden med skattemyndigheten. 

I 3 mom. uppräknas de aktörer i fråga om vilka en bedömning av olämplighet, dvs. i praktiken fullgöranderapporten eller motsvarande utredning, ska göras i det fall att anmälaren är en juridisk person. En bedömning av olämplighet ska då göras förutom av den juridiska personen också av verkställande direktören och dennes ställföreträdare, medlemmar och ersättare i styrelsen, förvaltningsrådet och jämförbara organ, ansvariga bolagsmän och andra som hör till den högsta ledningen och även den som direkt eller indirekt innehar minst en tiondel av aktierna i ett aktiebolag eller den rösträtt som aktierna medför eller motsvarande ägande- eller bestämmanderätt i en annan sammanslutning.  

I 4 mom. föreskrivs det om en skyldighet att vid bedömningen också beakta den ekonomiska ställningen och fullgörandet av skyldigheterna i de företag och sammanslutningar som har direkt eller indirekt koppling med anmälaren och dennes ansvariga personer. Till denna del ska utredningen göras för tiden tre år före anmälan. En utredning av äldre kopplingar än så behövs inte. 

Momentet innehåller en hänvisning till 3 § i företags- och organisationsdatalagen (244/2001), där de enheter uppräknas, dvs. företag och sammanslutningar, som ska registreras enligt den lagen. I lagen om Enheten för utredning av grå ekonomi används termen organisation för dem. Med ett företag eller en sammanslutning som har direkt koppling till ett företag eller en sammanslutning avses t.ex. ett aktiebolag som helt eller delvis äger företaget eller sammanslutningen eller ett aktiebolag som är bolagsman i ett öppet bolag. Ett företag eller en sammanslutning som har en indirekt koppling till ett företag eller en sammanslutning avser i sin tur t.ex. företag eller sammanslutningar som har koppling till företaget eller sammanslutningen via en ansvarig person eller ett annat företag eller en annan sammanslutning. Ett företag eller en sammanslutning som har en indirekt koppling till ett aktiebolag är t.ex. ett annat aktiebolag som uteslutande ägs av styrelsemedlemmarna i aktiebolaget i fråga eller ett systerbolag som ägs av moderbolaget. Med ett företag eller en sammanslutning som har en direkt koppling till en person avses ett företag eller en sammanslutning där personen verkar eller har verkat som ansvarig person. Ett företag eller en sammanslutning som har en indirekt koppling till en person avser ett företag eller en sammanslutning som har direkt eller indirekt koppling till personens direkta företags- eller sammanslutningskoppling, t.ex. ett moderbolag till vars dotterbolags styrelse personen hör. 

11 §.Bevaring och hantering av kundmedel. Paragrafen är ny. Det föreskrivs där om bevaring och hantering av kundmedel. Paragrafen grundar sig inte på direktivet utan är nationell reglering. Paragrafen gäller såväl förmedlare av person-till-person-lån som kreditgivare. I praktiken torde kreditgivare ta emot kundmedel endast när de förmedlar person-till-person-lån. 

Enligt 1 mom. ska en kreditgivare och en förmedlare av person-till-person-lån organisera bevaringen och hanteringen av de kundmedel som anförtrotts dem på ett tillförlitligt sätt. En sådan aktör ska se till att kundmedlen hålls åtskilda från aktörens egna medel. Kundmedlen ska också redovisas så att kundmedlen för varje kund är tillräckligt åtskilda från andra kunders medel. Kundmedlen ska sättas in på ett kundmedelskonto. 

För att kundens medel ska kunna anses bli bevarade på ett tillförlitligt sätt ska kundmedelskontot finnas i en inlåningsbank med koncession i Finland eller i någon annan EES-stat. Kreditgivaren eller förmedlaren av person-till-person-lån ska se till att inlåningsbanken inte kan använda medel på ett kundmedelskonto för att kvitta sina fordringar på kreditgivaren eller förmedlaren. Uppgiften att det är fråga om ett kundmedelskonto ska framgå t.ex. av ett kontoutdrag eller av kontovillkoren. 

Endast sådana medel eller avgifter som kunden betalat och som hänför sig till förmedlingen kan sättas in på och överföras via kundmedelskontot. I fråga om medel som hänför sig till eventuell annan affärsverksamhet ska den som bedriver verksamheten iaktta de bestämmelser och föreskrifter som gäller verksamheten i fråga. 

För att hanteringen ska vara tillförlitlig måste kundmedlen tas emot direkt på kundmedelskontot. Om detta i ett enskilt fall inte är möjligt, ska de sättas in på kontot utan dröjsmål. Kundmedel får inte ens tillfälligt överföras från kundmedelskontot, utan endast kundmedelskontot får användas för bevaring och förmedling av kundernas medel. 

I 2 mom. föreskrivs det om kundens rätt att få skadestånd också av någon annan än en kreditgivare, en förmedlare av person-till-person-lån eller någon annan skadeståndsskyldig. Kunden kan i vissa fall kräva ersättning för skada som förorsakats honom eller henne förutom av de ovan nämnda också av verkställande direktören, medlemmar i styrelsen eller ett jämförbart organ samt ansvariga bolagsmän i en sammanslutning som är kreditgivare eller förmedlare av person-till-person-lån. Ersättning kan krävas också av en ersättare i styrelsen, om han eller hon har varit medlem när den ordinarie medlemmen varit förhindrad.  

En förutsättning är att skadan har berott på att kreditgivaren eller förmedlaren av person-till-person-lån uppsåtligen eller av oaktsamhet har underlåtit att se till att bevaringen och hanteringen av kundmedel organiseras på det sätt som avses i 1 mom. En förutsättning för att de aktörer som nämns i bestämmelsen ska vara fria från skadeståndsansvar är att de har sett till att förfarandena och instruktionerna till personalen till denna del är ändamålsenligt utformade och att efterlevnaden av dem i tillräcklig utsträckning har övervakats.  

Bestämmelsen inskränker inte på en kunds rätt att få skadestånd av en kreditgivare, av en förmedlare av person-till-person-lån eller av någon annan skadeståndsskyldig. Bestämmelser om jämkning av skadestånd och om fördelning av skadeståndsansvaret finns i 2 och 6 kap. i skadeståndslagen.  

12 §.Bevaring av handlingar och uppgifter som gäller kreditgivning och förmedling av person-till-person-lån. Paragrafen motsvarar i andra avseenden 9 a § i den gällande lagen, men skyldigheten att bevara handlingar och uppgifter som gäller kreditgivningen och förmedlingen av person-till-person-lån ska i fortsättning gälla också förmedlare av person-till-person-lån. 

13 §.Tystnadsplikt. I paragrafen föreskrivs det om tystnadsplikt i tillämpliga delar på samma sätt som bl.a. i 44 § i lagen om försäkringsförmedling och i 14 § i lagförslag 2. Tystnadsplikten ska gälla alla som vid lämnande av konsumentkrediter eller vid förmedling av person-till-person-lån har fått veta något om en konsuments eller någon annans ekonomiska ställning eller något som berör personliga förhållanden, såsom hälsotillstånd, eller en affärs- eller yrkeshemlighet. Tystnadsplikten innefattar såväl handlingssekretess som ett förbud att röja uppgifter som finns i annan än skriftlig form. Ett undantag utgör de situationer då den till vars förmån tystnadsplikten gäller ger sitt samtycke till att uppgifterna röjs eller då annat föreskrivs i lag. Brott mot tystnadsplikten kan bli bedömd t.ex. som ett sekretessbrott enligt 38 kap. 1 § eller som en sekretessförseelse enligt 38 kap. 2 § i strafflagen. 

14 §.Tillsyn. Paragrafen motsvarar 10 § i den gällande lagen. 

15 §.Tillsynsmyndighetens rätt att få uppgifter. Paragrafen motsvarar annars 10 a § i den gällande lagen, men ska i fortsättningen också gälla förmedlare av person-till-person-lån.  

16 §.Rätt att få uppgifter ur vissa myndighetsregister. Paragrafens 1 mom. motsvarar 10 b § i den gällande lagen. Enligt det nya 2 mom. har regionförvaltningsverket rätt att avgiftsfritt av myndigheter och av dem som sköter offentliga uppdrag få de uppgifter som behövs för att bedöma huruvida anmälaren ska anses uppenbart olämplig att ta emot kundmedel. Det är klart att regionförvaltningsverket har motsvarande rätt också senare när det gäller att utreda om det skett förändringar i den registrerades förhållanden i detta avseende. 

Rätten att få uppgifter gäller inte sådana anmälare som inte har för avsikt att ta emot kundmedel. Också i det fall att anmälarens avsikt är att ta emot kundmedel, har regionförvaltningsverket inte rätt att använda dessa uppgifter för något annat ändamål än för att bedöma huruvida förutsättningarna för mottagande av kundmedel uppfylls.  

Enligt den andra meningen i momentet kan uppgifterna överlämnas till regionförvaltningsverket också genom teknisk anslutning eller på något annat elektroniskt sätt. Bestämmelsen behövs i synnerhet för att säkerställa att regionförvaltningsverket i sin uppgift kan utnyttja fullgöranderapporter som uppgjorts av Enheten för utredning av grå ekonomi. 

17 §.Tvångsmedel. Paragrafen motsvarar till övriga delar 11 § i den gällande lagen, men den ska också innehålla en bestämmelse om tvångsmedel som gäller förmedlare av person-till-person-lån. I fråga om både kreditgivare och förmedlare av person-till-person-lån föreskrivs det dessutom om tvångsmedel i de fall då kundmedel har tagits emot utan att regionförvaltningsverket beviljat tillstånd i enlighet med 10 § eller då kreditgivaren eller förmedlaren på grund av ändrade förhållanden har blivit uppenbart olämplig att ta emot kundmedel. I dessa fall ska regionförvaltningsverket enligt 1 mom. förbjuda mottagande av kundmedel. I det sammanhanget får regionförvaltningsverket i syfte att tillvarata kundernas intressen utfärda föreskrifter om vilka åtgärder kreditgivaren eller förmedlaren ska vidta för att avsluta verksamheten.  

Om ett av regionförvaltningsverket meddelat förbud mot mottagande av kundmedel inte iakttas, kan kreditgivaren eller förmedlaren av person-till-person-lån enligt 2 mom. meddelas ett verksamhetsförbud för viss tid. I momentet föreskrivs det också om fall då kreditgivaren eller förmedlaren har brutit mot bestämmelserna om bevaring och hantering av kundmedel i 11 § 1 mom. 

18 §.Avregistrering. Paragrafens 1 mom. motsvarar annars 12 § i den gällande lagen, men det föreskrivs nu också om avregistrering av förmedlare av person-till-person-lån. 

I 2 mom. föreskrivs det om regionförvaltningsverkets rätt att i samband med avregistreringen i syfte att tillvarata kundernas intressen utfärda föreskrifter om vilka åtgärder kreditgivaren eller förmedlaren ska vidta för att avsluta verksamheten. 

19 §.Straffbestämmelser. Paragrafens 1 mom. motsvarar 17 § 1 mom. i den gällande lagen. 

I 2 mom. föreskrivs det om brott vid förmedling av person-till-person-lån. Enligt förslaget ska den som uppsåtligen utan registrering förmedlar person-till-person-lån, om inte strängare straff för gärningen föreskrivs någon annanstans i lag, för brott vid förmedling av person-till-person-lån dömas till böter eller fängelse i högst sex månader. 

I fråga om 1 och 2 mom. hänvisas till vad som konstateras i 26 § 1 mom. i lagförslag 2 i fråga om regleringens nödvändighet och dess placering samt den föreslagna straffskalan. 

Paragrafens 3 mom. motsvarar i sak 13 § 2 mom. i den gällande lagen. 

20 §.Sökande av ändring i regionförvaltningsverkets beslut. De ändringar som gjorts i 14 § i lagen om registrering av vissa kreditgivare genom lagen 903/2015 (RP 230/2014 rd) har beaktats i den föreslagna paragrafen. Ändringarna trädde i kraft den 1 januari 2016.  

Enligt 1 mom. får ett beslut som regionförvaltningsverket fattat med stöd av 17 och 18 § överklagas genom besvär hos förvaltningsdomstolen på det sätt som anges i förvaltningsprocesslagen (586/1996). 

Enligt 2 mom. får omprövning begäras på det sätt som anges i förvaltningslagen (434/2003) i andra beslut som regionförvaltningsverket meddelat. Beslut som meddelas med anledning av en begäran om omprövning får överklagas genom besvär hos förvaltningsdomstolen på det sätt som anges i förvaltningsprocesslagen. 

Enligt 3 mom. får förvaltningsdomstolens beslut i ett ärende som gäller förbud enligt 17 § eller avregistrering enligt 18 § överklagas genom besvär på det sätt som anges i förvaltningsprocesslagen. Över andra beslut av förvaltningsdomstolen får besvär anföras endast om högsta förvaltningsdomstolen beviljar besvärstillstånd. 

Enligt 4 mom. ska ett beslut om avregistrering och om verksamhetsförbud för viss tid iakttas även om det överklagas.  

21 §.Ikraftträdande. Paragrafens 1 mom. innehåller en sedvanlig ikraftträdandebestämmelse.  

I 2 mom. föreskrivs det om upphävande om lagen om registrering av vissa kreditgivare. 

Enligt 3 mom. får Regionförvaltningsverket i Södra Finland ta upp en registeranmälan till behandling innan lagen träder i kraft. Den som gjort anmälan får införas i registret över kreditgivare och förmedlare av person-till-person-lån när lagen träder i kraft.  

22 §.Övergångsbestämmelser. Enligt 1 mom. ska uppgifter om en sådan kreditgivare som när denna lag träder i kraft är införd i kreditgivarregistret enligt lagen om registrering av vissa kreditgivare överföras till ett register enligt denna lag. En kreditgivare som är införd i kreditgivarregistret när lagen träder i kraft får alltså fortsätta verksamheten utan att ansöka om registrering enligt denna lag. Om en kreditgivare lämnar konsumentkrediter som har samband med bostadsegendom och som omfattas av tillämpningsområdet för 7 a kap. i lagförslag 1 eller förmedlar person-till-person-lån, ska kreditgivaren underrätta regionförvaltningsverket om detta inom sex månader från ikraftträdandet av lagen. En kreditgivare som förmedlar person-till-person-lån ska dessutom inom samma tid lämna in uppgifter och en eventuell utredning enligt 3 § 2 mom. 5 punkten till regionförvaltningsverket. 

Enligt 2 mom. får den som när denna lag träder i kraft bedriver sådan förmedling av person-till-person-lån som enligt denna lag förutsätter registrering fortsätta med sin verksamhet till dess beslut om införande i registret har fattats. En förutsättning för detta är dock att den registeranmälan som avses i 3 § 2 mom. görs inom sex månader från ikraftträdandet. 

I 3 mom. föreskrivs det om iakttagande av bestämmelserna om kännedom om kreditverksamhet. Den som har börjat lämna konsumentkrediter som har samband med bostadsegendom senast den 19 mars 2014, ska iaktta bestämmelserna i 9 § 2 mom. om kännedom om kreditverksamhet från och med den 21 mars 2017. 

1.4  Kreditinstitutslagen

8 kap. Ersättningar

3 §.Allmänna krav på ersättningssystem. Paragrafen innehåller en informativ hänvisning till 7 kap. 13 § 4 mom. och 7 a kap. 10 § 2 och 3 mom. i lagförslag 1. De gäller ersättningssystem. 

15 kap. Förfaranden vid kundtransaktioner

11 §.Maximal belåningsgrad. I 1 mom. görs det en teknisk ändring eftersom 7 kap. 7 § 4 punkten i konsumentskyddslagen, vilken nämns i momentet, enligt lagförslag 1 ska upphävas. I sak kvarstår tillämpningsområdet för bestämmelsen om maximal belåningsgrad oförändrat.  

12 a §.Yrkeskrav. Paragrafen är ny. Enligt 1 mom. ska ett kreditinstituts personal och personer som på annat sätt agerar för kreditinstitutets räkning och deltar i lämnande av krediter som omfattas av tillämpningsområdet för 7 a kap. i konsumentskyddslagen uppfylla de krav på kunskap och kompetens som anges i bilaga III till direktivet om bostadskrediter på det sätt som närmare föreskrivs genom förordning av statsrådet. Dessa krav gäller också var och en som direkt leder eller övervakar de förstnämnda. Genom paragrafen genomförs delvis artikel 9.2 i direktivet. 

I 2 mom. föreskrivs om den yrkesskicklighet som krävs av den som värderar bostadsegendom, när bostadsegendom som avses i 3 § 1 mom. 1 punkten i 7 a kap. i lagförslag 1 värderas i samband med lämnande av en konsumentkredit som omfattas av tillämpningsområdet för det kapitlet. En redogörelse för vad kravet på yrkesskicklighet innebär ges i motiveringen till 9 § 3 mom. i lagförslag 3. Genom momentet genomförs delvis artikel 9.2 i direktivet. 

18 kap. Särskilda bestämmelser om utländska kreditinstitut

6 §.Marknadsföring och avtalsvillkor samt andra förfaranden. Paragrafens 1 mom. motsvarar i andra avseenden den gällande lagen, men innehåller nu bestämmelser om tillämpningen av det nya 15 kap. 12 a § 1 mom. gällande yrkeskrav också på utländska kreditinstituts filialer samt på kreditinstitut som inom ramen för friheten att tillhandahålla tjänster tillhandahåller i 5 kap. 1 § i kreditinstitutslagen avsedda tjänster i Finland. På ett kreditinstitut som tillhandahåller tjänster här inom ramen för friheten att tillhandahålla tjänster tillämpas dock inte alla krav på kunskap och kompetens som anges i bilaga III till direktivet om bostadskrediter. Bestämmelsen baserar sig på artikel 9.3 i direktivet. Här utnyttjas den möjlighet som reserverats för värdmedlemsstaten i den andra meningen i artikel 9.3 ii när det gäller att fastställa minimikrav på kunskap och kompetens i fråga om vissa krav som ingår i bilaga III till direktivet när tillhandahållandet sker inom ramen för friheten att tillhandahålla tjänster från en stat till en annan.  

20 kap. Administrativa påföljder

1 §.Påföljdsavgift. Det föreslås att bestämmelserna om ersättning i 7 kap. 13 § 4 mom. och 7 a kap. 10 § 2 och 3 mom. i lagförslag 1 ska nämnas i 2 mom. 3 punkten. Det föreslås att bestämmelserna om yrkeskrav i 15 kap. 12 a § ska nämnas i momentets 5 punkt. Finansinspektionen ska alltså ha rätt att påföra påföljdsavgift också för överträdelse av dessa bestämmelser. 

1.5  Lagen om Finansinspektionen

1 kap. Allmänna bestämmelser

5 §.Andra finansmarknadsaktörer. En ny 28 punkt fogas till paragrafen. Enligt punkten är i lagförslag 2 avsedda finländska kreditförmedlare och filialer som utländska kreditförmedlare har i Finland sådana andra finansmarknadsaktörer som avses i lagen om Finansinspektionen. I 27 punkten görs det en teknisk ändring.  

5 kap. Tillsyn över kundskyddet

45 §.Tillämpningsområdet för bestämmelserna om tillsyn över kundskyddet. Paragrafens 1 mom. motsvarar i övrigt gällande 45 § 1 mom., men tillämpningsområdet för bestämmelserna om tillsyn över kundskyddet utökas med förmedlare av konsumentkrediter som har samband med bostadsegendom.  

Även paragrafens 2 mom. motsvarar i övrigt gällande 45 § 2 mom., men vad som föreskrivs i 1 mom. ska dessutom tillämpas på utländska förmedlare av konsumentkrediter som har samband med bostadsegendom. 

Genom paragrafen genomförs delvis första stycket i artikel 34.1 i direktivet. 

1.6  Lagen om Finansinspektionens tillsynsavgift

1 §.Avgiftsskyldiga. I paragrafens 1 mom. tas det in en ny 20 punkt enligt vilken skyldiga att betala tillsynsavgift till Finansinspektionen är finländska kreditförmedlare som är registrerade enligt 6 § i lagförslag 2 och utländska kreditförmedlare som har filial i Finland. I 19 punkten görs det en teknisk ändring.  

6 §.Grundavgift för övriga avgiftsskyldiga. Till 1 mom., som gäller grundavgiften i euro för andra avgiftsskyldiga än de som avses i 4 §, fogas finländska kreditförmedlare som är registrerade i enlighet med 6 § i lagförslag 2 och som inte är ombud för någon kreditgivare. Grundavgiften för en sådan förmedlare är 1 200 euro. Grundavgiften för utländska kreditförmedlare med filial i Finland är 400 euro.  

1.7  Lagen om förhindrande och utredning av penningtvätt och av finansiering av terrorism

2 §.Lagens tillämpningsområde. I 2 § 24 punkten görs det en teknisk ändring av den anledningen att paragrafen får en ny 25 och 26 punkt. I och med de sistnämnda punkterna tillämpas lagen också på i lagförslag 2 avsedda finländska kreditförmedlare och filialer som utländska kreditförmedlare har i Finland samt på näringsidkare som omfattas av tillämpningsområdet för lagförslag 3 när näringsidkaren förmedlar person-till-person-lån.  

1.8  Lagen om Enheten för utredning av grå ekonomi

6 §.Syftet med fullgöranderapporter. I 1 mom. 16 punkten görs det en teknisk ändring av den anledningen att momentet får en ny 17 punkt. Enligt den föreslagna 17 punkten utarbetas fullgöranderapporter till stöd för den uppgift som föreskrivs för regionförvaltningsverket i 10 § i lagförslag 3. Regionförvaltningsverket ska enligt nämnda paragraf utreda om en kreditgivare eller förmedlare av person-till-person-lån anses uppenbart olämplig att ta emot kundmedel. För att sköta denna uppgift kan regionförvaltningsverket be Enheten för utredning av grå ekonomi sammanställa en fullgöranderapport. Bestämmelser om omfattningen på regionförvaltningsverkets rätt till information och på fullgöranderapporten finns också i nämnda 10 §. 

Närmare bestämmelser och föreskrifter

Avsikten är att de detaljerade bestämmelser av teknisk natur som ingår i direktivet ska genomföras genom förordningar som bereds separat.  

Avsikten är att ESIS-blanketten i bilaga II till direktivet och anvisningarna för hur blanketten fylls i samt direktivets bestämmelser om information som ska ges när bostadskredit bjuds ut per telefon genomförs genom bestämmelser som tas in i statsrådets förordning om den information som ska lämnas till en konsument om ett kreditavtal. Avsikten är också att i samma förordning ta in närmare bestämmelser om den information som ska finnas i ett kreditavtal som gäller konsumentkredit som har samband med bostadsegendom. Bemyndigandena om informationsskyldighet ingår i 7 a kap. 6 § 2 mom., 7 § och 15 § 3 mom. i lagförslag 1. I statsrådsförordningen behövs det också tekniska ändringar eftersom förordningens nuvarande bestämmelser inte längre ska gälla alla konsumentkrediter. Ett utkast till ändring av statsrådsförordningen ingår som bilaga i propositionen. 

Bestämmelser om yrkeskrav för kreditgivare och kreditförmedlare i fråga om konsumentkrediter som har samband med bostadsegendom utfärdas genom förordning av statsrådet. Kraven på kunskap och kompetens ska motsvara minimikraven i bilaga III till direktivet. De ska tillämpas på personalen hos kreditgivare som lämnar konsumentkrediter som har samband med bostadsegendom och som omfattas av tillämpningsområdet för 7 a kap. i lagförslag 1 och på personalen hos dem som förmedlar sådana krediter. Kraven ska dessutom gälla den högsta ledningen hos förmedlare av konsumentkrediter som har samband med bostadsegendom. Bemyndiganden att utfärda förordning om kraven på kunskap och kompetens finns i 6 § i lagförslag 2, i 9 § i lagförslag 3 och i 15 kap. 12 a § i lagförslag 4. Ett utkast till statsrådsförordning om saken ingår som bilaga. 

Bestämmelserna i artikel 17 och bilaga I i direktivet om beräkning av den effektiva räntan och om antaganden som ska användas vid beräkningen ska i behövlig utsträckning tas in i justitieministeriets förordning om den effektiva räntan på konsumentkrediter. I justitieministeriets förordning ska det också medtas att bestämmelserna om konsumentkrediter som har samband med bostadsegendom och de övriga bestämmelserna om konsumentkrediter inte längre till alla delar är överensstämmande. Till följd av det stora antalet ändringar ska den gällande justitieministeriets förordning om den effektiva räntan på konsumentkrediter upphävas och ersättas med en ny förordning. Ett bemyndigande ingår i 7 a kap. 3 § 3 mom. i lagförslag 1. Ett utkast till justitieministeriets förordning ingår som bilaga. 

Finansinspektionen ska med stöd av 7 a kap. 5 § 2 mom. i lagförslag 1 utfärda närmare föreskrifter om kriterierna för att fastställa ett representativt exempel i reklam för bostadskrediter. Genom Finansinspektionens föreskrifter genomförs artikel 11.3 i direktivet.  

Ikraftträdande

Medlemsstaterna ska anta och offentliggöra de bestämmelser som utfärdats för att genomföra direktivet senast den 21 mars 2016. De ska tillämpa dem från och med samma datum. Av denna anledning föreslås lagarna träda i kraft så snart som möjligt efter det att de har antagits och blivit stadfästa.  

Kreditförmedlare som när lagförslag 2 träder i kraft bedriver verksamhet som enligt den lagen förutsätter registrering får fortsätta med sin verksamhet i Finland utan registrering fram till den 21 mars 2017. Förmedlare av person-till-person-lån som när lagförslag 3 träder i kraft bedriver sådan verksamhet som enligt den lagen förutsätter registrering får fortsätta med sin verksamhet till dess beslut om införande i registret har fattats, om registeranmälan görs inom sex månader från ikraftträdandet. Den som har börjat lämna konsumentkrediter som har samband med bostadsegendom senast den 19 mars 2014, ska iaktta de bestämmelser om kännedom om kreditverksamhet som ingår i lagförslag 3 och 4 från och med den 21 mars 2017. Ändringarna i de avtalsrättsliga bestämmelserna i lagförslag 1 kommer enbart att påverka sådana avtal som ingås efter ikraftträdandet. De föreslagna övergångsbestämmelserna baserar sig på bestämmelserna i artikel 43, med undantag för bestämmelserna om förmedlare av person-till-person-lån. Övergångsbestämmelsernas syfte i fråga om de sistnämnda är att reservera tillräckligt med tid för förmedlarna av person-till-person-lån att sköta registreringen utan att verksamheten behöver avbrytas.  

Förhållande till grundlagen samt lagstiftningsordning

Enligt lagförslag 2 ska förmedling av konsumentkrediter som har samband med bostadsegendom och som omfattas av tillämpningsområdet för 7 a kap. i konsumentskyddslagen samt tillhandahållande av rådgivningstjänster med avseende på sådana krediter utgöra en näring som förutsätter registrering. Enligt lagförslag 3 ska också förmedling av person-till-person-lån vara en näring som förutsätter registrering. Registrering som förutsättning för att få bedriva näringsverksamhet innebär ett ingrepp i den näringsfrihet som anges i 18 § 1 mom. i grundlagen och förslagen måste därför bedömas ur den synvinkeln. 

Enligt 18 § 1 mom. i grundlagen har var och en rätt att skaffa sig sin försörjning genom näring som han eller hon valt fritt. Grundlagsutskottet har i sin utlåtandepraxis behandlat förhållandet mellan tillstånd och näringsfrihet bl.a. i utlåtandena GrUU 33/2005 rd, GrUU 16/2003 rd och GrUU 67/2002 rd). Utskottet har betraktat näringsfriheten som huvudregel enligt grundlagen men ansett att den i undantagsfall kan göras beroende av tillstånd. En registreringsplikt likt den föreslagna har i grundlagsutskottets utlåtandepraxis jämställts med tillståndsplikt (GrUU 15/2008 rd, GrUU 45/2001 rd och GrUU 24/2000 rd). Kravet på registrering måste alltid skrivas in i en lag som uppfyller de generella villkoren för begränsning av de grundläggande fri- och rättigheterna. De i lag angivna begränsningarna i näringsfriheten måste för det första vara exakta och noggrant avgränsade. Deras omfattning och villkoren måste också framgå av lagen. Vad gäller innehållet har utskottet ansett det viktigt att bestämmelserna om villkoren för registrering och registreringens beständighet är så utformade att myndigheternas verksamhet är tillräckligt förutsägbar. I vilken utsträckning myndigheternas befogenheter bestäms utifrån bunden prövning respektive lämplighetsprövning spelar också en viss roll (GrUU 15/2008 rd, GrUU 33/2005 rd och GrUU 28/2000 rd). 

Registreringskravet för förmedlare av konsumentkrediter som har samband med bostadsegendom och tillhandahållare av rådgivningstjänster med avseende på sådana krediter baserar sig på direktivet om bostadskrediter. Det anses nödvändigt att dessa aktörer samt förmedlare av person-till-person-lån registreras för att deras yrkeskompetens och tillförlitlighet ska tryggas samt för att tillsynsmyndigheternas tillsynsarbete ska underlättas. Registrering av dessa aktörer kan dessutom förhindra att kreditförmedling utnyttjas för kriminella syften, såsom penningtvätt. Registreringen som förutsättning för förmedling av konsumentkrediter som har samband med bostadsegendom och tillhandahållande av rådgivningstjänster med avseende på sådana krediter samt för förmedling av person-till-person-lån kan därför anses vara påkallad av ett vägande samhälleligt behov. De föreslagna förutsättningarna för registrering är exakta och noggrant avgränsade. Ingen ändamålsenlighetsprövning är kopplad till registreringen, utan var och en som gör en registeranmälan ska antecknas i registret, om de i lag angivna förutsättningarna uppfylls. Ändring kan också sökas i ett beslut av Finansinspektionen eller Regionförvaltningsverket i Södra Finland om att inte bevilja registrering.  

I 20 § i lagförslag 2 och i 18 § i lagförslag 3 föreslås bestämmelser om förutsättningar för avregistrering. Grundlagsutskottet har i sin praxis ansett att avregistrering som myndighetsåtgärd är ett ingrepp med strängare verkningar för individens rättsliga ställning än vägrad registrering. Därför har utskottet ansett att det för att lagstiftningen ska vara proportionerlig är nödvändigt att möjligheten till avregistrering kopplas till allvarliga och väsentliga förseelser och försummelser och till att eventuella anmärkningar och varningar till den i registret införda inte har lett till att bristerna i verksamheten har korrigerats (t.ex. GrUU 43/2013 rd, GrUU 17/2012 rd, och GrUU 16/2003 rd). Dessa krav har beaktats i lagförslagen. 

Utöver att förmedling av person-till-person-lån föreslås bli en näring som fordrar registrering, ska dessa krediter enligt 7 kap. 1 § 3 mom. i lagförslag 1 jämställas med konsumentkrediter, på ett visst undantag när. Av denna anledning ska bestämmelsen om räntetak i 7 kap. 17 a § i konsumentskyddslagen tillämpas också på förmedling av person-till-person-lån. Den föreslagna prisregleringen ska bedömas som en begränsning av det egendomsskydd som tryggas i 15 § i grundlagen. 

Som det framgår av den allmänna motiveringen i avsnitt 1 har skuldproblemen bland privatpersonen ökat de senaste åren. Det kan anses finnas ett vägande samhälleligt behov för begränsningen av de rättigheter som gäller förmögenhetsvärde, eftersom syftet är att förhindra överskuldsättning och främja gäldenärernas möjligheter att klara sig. Med tanke på begränsningens proportionalitet är det av betydelse att förmedlingen av person-till-person-lån inte hindras av prisregleringen, utan att det ställs vissa nödvändiga specialvillkor på verksamheten. Förmedlingen av person-till-person-lån ska således omfattas av en likadan prisreglering som grundlagsutskottet i fråga om konsumentkrediter ansett möjlig med hänsyn till grundlagen (GrUU 28/2012) rd). Genom prisregleringen gynnas en situation där det på marknaden finns ett utbud av små krediter, som understiger 2000 euro, till skäliga villkor. 

Enligt grundlagsutskottets tolkningspraxis har prisreglering godkänts t.ex. i sådana situationer där man har strävat efter att trygga eller skapa konkurrensförutsättningar med beaktande av marknadens eller egendomens särdrag (teleföretag GrUU 32/2004 rd, elföretag GrUU 36/2004 rd), eller där man har strävat efter att hålla priserna på en för kunden skälig nivå (prissättning av läkemedel GrUU 49/2005 rd), eller där kunden har begränsade möjligheter att fritt välja vem som tillhandahåller tjänster eller göra prisjämförelser (priser för taxitrafik GrUU 31/2006 rd). Enligt grundlagsutskottets tolkningspraxis har det också godkänts begränsningar i egendomsskyddet för borgenärer för att främja gäldenärernas möjligheter att klara sig, bl.a. genom bestämmelser om de indrivningskostnader som gäldenären ska ersätta (GrUU 27/2004 rd) och verkställighetslagstiftningen i anslutning till gäldenärernas insolvens (GrUU 33/2002 rd). På basis av utskottets tidigare tolkningspraxis kan inte den föreslagna prisregleringen anses vara statsförvaltningsrättsligt problematisk.  

Prisregleringen ska tillämpas endast på sådana avtal som ingåtts efter lagens ikraftträdande, och genom prisregleringen ska därmed inte retroaktivt ingripas i avtalsförhållandenas innehåll. Bestämmelserna är därmed inte heller ur denna synvinkel problematisk i statsförvaltningsrättsligt hänseende.  

Av de skäl som anförts ovan uppfyller lagförslagen de krav som grundlagen ställer, och lagarna kan stiftas i vanlig lagstiftningsordning.  

Kläm 

Med stöd av vad som anförts ovan föreläggs riksdagen följande lagförslag: 

Lagförslag

1. Lag om ändring av konsumentskyddslagen 

I enlighet med riksdagens beslut  
upphävs i konsumentskyddslagen (38/1978) 7 kap. 6 § 2 mom. 1 punkten, 22 § 1 mom. 1 punkten och 29 §, sådana de lyder i lag 746/2010, 
ändras 6 a kap. 12 § 2 mom. och 7 kap., 1 §, 3 § 2 mom., 5 §, 7 § 4 punkten, 8 § 2 mom., 9 § 2 mom., 11 § 1 mom., och den svenska språkdräkten i mellanrubriken före 7 kap. 13 § samt 7 kap. 13 § 2 mom. 4 punkten, 23 § 1 mom., och 24 och 51 §, sådana de lyder, 6 a kap. 12 § 2 mom. och 7 kap. 1 §, 3 § 2 mom. 5 §, 8 § 2 mom., 9 § 2 mom., 11 § 1 mom., och den svenska språkdräkten i mellanrubriken före 7 kap. 13 § samt 7 kap. 23 § 1 mom., och 24 och 51 § i lag 746/2010 och 13 § 2 mom. 4 punkten i lag 207/2013, samt 
fogas till 6 a kap. en ny 11 a §, till 7 kap. 13 §, sådan den lyder i lag 207/2013, ett nytt 4 mom., till 7 kap. nya 13 a och 16 a § samt till lagen ett nytt 7 a kap. som följer: 
6 a kap. 
Distansförsäljning av finansiella tjänster och finansiella instrument 
11 a § Bostadskrediter  
En kreditgivare anses ha fullgjort informationsskyldigheten enligt 5—9 § på i 11 § föreskrivet sätt, om kreditgivaren ger konsumenten blanketten ”Standardiserat EU-faktablad” (ESIS-blanketten) i fråga om den erbjudna bostadskrediten innan ett avtal ingås.  
12 §  Ångerrätt 
Kläm 
Vad som i 1 mom. och 14—16 § föreskrivs om att frånträda avtal tillämpas inte på konsumentkrediter och försäkringar. På konsumentkrediter tillämpas inte heller 13 § 1 mom. Bestämmelser om konsumentens rätt att frånträda ett konsumentkreditavtal och betala konsumentkrediten i förtid finns i 7 och 7 a kap. Bestämmelser om försäkringstagarens rätt att frånträda eller säga upp ett försäkringsavtal finns i lagen om försäkringsavtal (543/1994). 
Kläm 
7 kap. 
Konsumentkrediter 
Allmänna bestämmelser 
1 § Tillämpningsområde 
I detta kapitel finns bestämmelser om konsumentkrediter. Med konsumentkredit avses en sådan kredit som en näringsidkare (kreditgivaren) enligt avtal lämnar eller utfäster sig att lämna en konsument som lån, betalningsanstånd eller som något annat motsvarande ekonomiskt arrangemang. 
Vid tillämpningen av bestämmelserna i detta kapitel likställs med konsumentkrediter hyresavtal och andra avtal som ger konsumenten besittningen till en vara, om varans kontantpris och kreditkostnaderna enligt avtalsvillkoren ska betalas under hyresperioden eller om det framgår av villkoren att konsumenten kan bli ägare till varan på annat sätt när avtalet går ut. 
Vid tillämpningen av andra bestämmelser i detta kapitel än 16 a § likställs med konsumentkrediter också sådan kredit som någon annan än kreditgivaren lämnar eller utfäster sig att lämna en konsument som lån, betalningsanstånd eller som något annat motsvarande ekonomiskt arrangemang, om krediten förmedlas till konsumenten av en näringsidkare. Den näringsidkare som förmedlar krediten till konsumenten ska då se till att bestämmelserna i fråga iakttas i kreditförhållandet.  
Vid tillämpningen av 40 § likställs en identifikator som berättigar till att använda ett konto, någon annan finansiell tjänst eller ett finansiellt instrument med en identifikator som berättigar till att använda en fortlöpande kredit. Bestämmelserna om kreditgivaren tillämpas i dessa fall på den näringsidkare som har ingått avtalet om identifikatorn med konsumenten. 
Bestämmelserna i detta kapitel tillämpas inte på 
1) konsumentkrediter där ingen ränta eller andra avgifter tas ut, 
2) krediter som bygger på ett avtal enligt vilket konsumenten har rätt att i poster betala priset på en nyttighet som levereras fortlöpande under avtalets löptid, 
3) krediter som lämnas av pantlåneinrättningar, 
4) krediter som lämnas med stöd av lagen om social kreditgivning (1133/2002), 
5) sådana bostadskrediter och sådana konsumentkrediter med en bostad som säkerhet som omfattas av tillämpningsområdet för 7 a kap., om inte annat föreskrivs i det kapitlet. 
3 §  Begränsningar i fråga om tillämpningen i vissa andra fall 
Kläm 
Bestämmelserna i 15 och 16 § tillämpas inte på nyttighetsbundna engångskrediter.  
Kläm 
5 § Bestämmelsernas tvingande natur 
Avtalsvillkor som avviker från bestämmelserna i detta kapitel till nackdel för konsumenten är ogiltiga. Ogiltiga är också sådana avtalsvillkor i kreditavtal enligt 1 § 3 mom. som avviker från bestämmelserna i detta kapitel till nackdel för konsumenten.  
7 § Övriga definitioner 
I detta kapitel avses med 
 En icke ändrad del av lagtexten har utelämnats 
4) personal var och en som är anställd hos en kreditgivare eller kreditförmedlare eller på annat sätt agerar för dennes räkning och som deltar i lämnande eller förmedling av konsumentkrediter och var och en som direkt leder och övervakar de förstnämnda. 
 En icke ändrad del av lagtexten har utelämnats 
8 §  Information som ska lämnas i reklam för konsumentkrediter 
Kläm 
Den effektiva räntan och de övriga i 1 mom. avsedda uppgifterna ska lämnas i reklamen på ett klart, väl synligt och koncist sätt och ska motsvara de kreditvillkor som kreditgivaren normalt erbjuder. 
Kläm 
9 §  Information som ska lämnas innan ett kreditavtal ingås 
Kläm 
I fråga om nyttighetsbundna engångskrediter på högst 100 euro kan förhandsinformation också ges i någon annan varaktig form än på blanketten. Närmare bestämmelser om förhandsinformationen och blanketten utfärdas genom förordning av statsrådet. 
11 §  Vissa andra bestämmelser om skyldigheten att lämna förhandsinformation 
Om ett avtal på konsumentens begäran ingås per telefon eller genom ett annat medium för distanskommunikation som inte gör det möjligt att överlämna blanketten "Standardiserad europeisk konsumentkreditinformation" i varaktig form innan avtalet ingås, ska blanketten ges till konsumenten utan dröjsmål och i varaktig form efter det att avtalet har ingåtts. I fråga om nyttighetsbundna engångskrediter på högst 100 euro ska förhandsinformationen ges konsumenten utan dröjsmål på blanketten eller i annan varaktig form efter det att avtalet har ingåtts, om avtalet på konsumentens begäran ingås per telefon eller genom ett annat medium för distanskommunikation som inte gör det möjligt att ge förhandsinformationen i varaktig form innan avtalet ingås. 
Kläm 
Kreditgivarens skyldighet att handla ansvarsfullt 
13 §  God kreditgivningssed 
Kläm 
Det förutsätts särskilt att kreditgivaren 
 En icke ändrad del av lagtexten har utelämnats 
4) ger konsumenten en sådan tillräcklig och klar utredning innan kreditavtalet tecknas som gör det möjligt för konsumenten att bedöma om krediten och de kompletterande tjänster som eventuellt erbjuds lämpar sig för hans eller hennes behov och ekonomiska situation, samt uppgift om huruvida konsumenten kan säga upp ett avtal om kompletterande tjänster separat och vilka påföljder en uppsägning har för honom eller henne, 
 En icke ändrad del av lagtexten har utelämnats 
Ersättningssystemen för kreditgivarnas och kreditförmedlarnas personal får inte vara sådana att de hindrar personalen från att iaktta vad som föreskrivs 1 och 2 mom. vid kreditgivning, kreditförmedling eller tillhandahållande av rådgivningstjänster.  
13 a §  Förbud mot bindningsförfarande 
Ett villkor för ett kreditanbud får inte vara att konsumenten också ingår ett avtal om någon annan finansiell tjänst eller tjänst av annat slag eller ett finansiellt instrument som erbjuds av kreditgivaren själv eller av någon annan näringsidkare på grundval av ett avtal eller annat arrangemang med kreditgivaren.  
16 a §  Lämnande av kredit 
En kreditgivare ska ange sina principer för lämnande av konsumentkrediter.  
Kreditgivaren får lämna kredit till en konsument endast om bedömningen av konsumentens kreditvärdighet visar att de skyldigheter som följer av ett kreditavtal sannolikt kommer att fullgöras på det sätt som avtalet förutsätter.  
23 §  Konsumentens rätt till en amorteringstabell på begäran 
Om ett konsumentkreditavtal har ingåtts för en viss tid och skulden enligt avtalsvillkoren ska skötas genom avbetalningar, ska kreditgivaren medan avtalsförhållandet fortgår utan avgift ge konsumenten en amorteringstabell alltid när denne begär en sådan.  
Kläm 
24 § Ändringar av ränta och avgifter 
Den ränta som konsumenten ska betala på krediten får förändras medan kreditavtalet gäller endast i enlighet med ändringarna av den referensränta som specificerats i avtalet och förutsatt att överenskommelse om detta har träffats i konsumentkreditavtalet. Den referensränta som tillämpas ska vara offentligt tillgänglig och den ska bygga på faktorer som är oberoende av kreditgivarens ensidiga bestämmanderätt. Kreditgivaren ska bevara uppgifterna om referensräntans storlek i fem år från det att krediten i sin helhet har förfallit till betalning. Om oenighet uppstår kring ett kreditavtal, ska uppgifterna dock bevaras till dess parterna har kommit överens om saken eller ärendet har avgjorts. 
Ränteändringar ska göras jämlikt och utan att diskriminera konsumenter. Konsumenten ska informeras om varje ändring i varaktig form innan ändringen träder i kraft. I samband med meddelandet om en ändring ska avbetalningens storlek efter ränteändringen anges och, om avbetalningarnas antal och frekvens förändras, uppdaterade uppgifter om detta. 
Om informationen om ny referensränta offentliggörs på tillbörligt sätt och finns att tillgå hos kreditgivaren, får informationen enligt 2 mom. trots vad som föreskrivs i det momentet ges till konsumenten med jämna mellanrum enligt vad som överenskommits i avtalet, dock minst en gång om året. 
De avgifter som tas ut med anledning av kreditavtalet får ändras endast på grunder som specificerats i avtalet. En avgiftshöjning får inte vara större än den faktiska ökning som kreditgivaren haft i de kostnader på grund av vilka avgift enligt kreditavtalet tas ut. På informationen om ändringar i avgifterna ska vad som i 2 och 3 mom. föreskrivs om informationen om ränteändringar tillämpas. 
51 § Tillsynsmyndigheter 
Tillsynen över att bestämmelserna i detta kapitel följs utövas av konsumentombudsmannen, av Konkurrens- och konsumentverket och av regionförvaltningsverken såsom distriktsförvaltningsmyndigheter underställda Konkurrens- och konsumentverket, samt av Finansinspektionen när kreditgivaren är en aktör som avses i 4 § 2—5 mom. i lagen om Finansinspektionen (878/2008). 
Tillsynsmyndigheterna ska samarbeta på lämpligt sätt. Vid tillsynen över att 15 § iakttas ger Kommunikationsverket på begäran tillsynsmyndigheten ett utlåtande om huruvida den metod för elektronisk identitetskontroll som kreditgivaren använder uppfyller kraven i 8 § i lagen om stark autentisering och elektroniska signaturer. 
Kreditgivare och kreditförmedlare är skyldiga att till tillsynsmyndigheterna överlämna för tillsynen behövliga handlingar som hänför sig till konsumentkrediter. 
7 a kap.  
Konsumentkrediter som har samband med bostadsegendom 
Allmänna bestämmelser 
1 § Tillämpningsområde 
I detta kapitel finns bestämmelser om konsumentkrediter som har samband med bostadsegendom.  
Bestämmelserna i detta kapitel tillämpas inte på 
1) krediter där ingen ränta eller andra avgifter tas ut,  
2) omvänt bolån som enligt kreditavtalet lämnas eller utlovas bli lämnat i utbyte mot medel som fås vid en försäljning av bostadsegendom och som kreditgivaren har rätt att kräva återbetalning av först när låntagaren uppnår en i kreditavtalet angiven ålder eller avlider, 
3) krediter som lämnas av pantlåneinrättningar och som används av konsumenten som en tillfällig lösning under högst ett år under övergången till ett annat finansiellt arrangemang för bostadsegendomen. 
2 §  Bestämmelsernas tvingande natur 
Avtalsvillkor som avviker från bestämmelserna i detta kapitel till nackdel för konsumenten är ogiltiga. 
3 §  Definitioner 
I detta kapitel avses med 
1) bostadsegendom bostadsfastigheter, sådana andelar i en sammanslutning som ger rätt att besitta en bostadslägenhet samt bostadshus som är belägna på ett område som besitts med stöd av nyttjanderätt,  
2) bostadskredit kredit som en näringsidkare (kreditgivaren) enligt avtal lämnar eller utfäster sig att lämna en konsument som lån, betalningsanstånd eller som något annat motsvarande ekonomiskt arrangemang för förvärv av bostadsegendom eller för bevarande av äganderätten till sådan,  
3) konsumentkreditmed en bostad som säkerhet kredit som en kreditgivare enligt avtal lämnar eller utfäster sig att lämna en konsument som lån, betalningsanstånd eller som något annat motsvarande ekonomiskt arrangemang för något annat än ett i 2 punkten nämnt ändamål och där bostadsegendom ställs som säkerhet, 
4) kredit i utländsk valuta en bostadskredit eller en konsumentkredit med en bostad som säkerhet som lämnas eller utlovas bli lämnad i någon annan valuta än valutan i den medlemsstat i Europeiska unionen eller den stat inom Europeiska ekonomiska samarbetsområdet där konsumenten är bosatt eller i någon annan valuta än valutan i den stat där konsumenten får sin utkomst eller där han eller hon har de tillgångar från vilka krediten ska återbetalas, 
5) rådgivningstjänster tillhandahållande av personligt anpassade rekommendationer till en konsument avseende en bostadskredit eller en konsumentkredit med en bostad som säkerhet,  
6) kreditförmedlare en näringsidkare som inte är kreditgivaren och som presenterar eller erbjuder i 2 eller 3 punkten avsedda krediter till konsumenter, som på annat sätt bistår konsumenter vid ingående av avtal som gäller sådana krediter eller som ingår avtal om dessa krediter med konsumenter för kreditgivarens räkning, 
7) personal var och en som är anställd hos en kreditgivare eller kreditförmedlare eller på annat sätt agerar för dennes räkning och som deltar i lämnande eller förmedling av konsumentkrediter som har samband med bostadsegendom och var och en som direkt leder och övervakar de förstnämnda, 
8) lämnande av information i varaktig form lämnande av information till konsumenten personligen antingen skriftligen eller elektroniskt så att konsumenten kan bevara och återge informationen i oförändrad form. 
Med kreditkostnad avses i detta kapitel summan av räntor, kostnader och andra avgifter som är kända för kreditgivaren och som konsumenten ska betala med anledning av kreditförhållandet. Som kreditkostnader betraktas också kostnaderna för försäkringar och andra kompletterande tjänster som är knutna till kreditavtalet, om ett avtal om en kompletterande tjänst är en förutsättning för att krediten ska lämnas på de marknadsförda villkoren. Till kreditkostnaderna räknas inte avgifter som konsumenten måste betala till följd av ett eventuellt avtalsbrott, eller notariatsavgifter. 
Med effektiv ränta avses i detta kapitel den räntesats som erhålls när kreditkostnaderna omräknas till årlig ränta på kreditbeloppet med beaktande av amorteringarna. Bestämmelser om hur den effektiva räntan beräknas och om de antaganden som ska användas vid beräkningen utfärdas genom förordning av justitieministeriet. 
Informationsskyldighet 
4 §  Allmän informationsskyldighet 
Utöver vad som föreskrivs om informationsskyldighet någon annanstans i lag ska kreditgivare samt kreditförmedlare som är ombud för kreditgivare tillhandahålla tydlig och övergripande allmän information om de krediter de erbjuder på papper eller i elektronisk form. Av informationen ska framgå åtminstone följande: 
1) kreditgivarens eller kreditförmedlarens namn och besöksadress, 
2) det ändamål för vilket konsumenten får använda krediten, 
3) de former av säkerhet som kreditgivaren godkänner och uppgift om huruvida kreditgivaren godkänner egendom utomlands som säkerhet för krediten, 
4) kreditavtalets löptid, 
5) typer av tillgänglig kreditränta och en kort beskrivning av deras kännetecken och vad de innebär för konsumenten, 
6) vilka konsekvenser en kredit i utländsk valuta har för konsumenten och uppgift om de utländska valutor i vilka kredit lämnas, 
7) ett representativt exempel på kreditbeloppet eller kreditgränsen, konsumentens kostnader för krediten, det sammanlagda beloppet av den kredit och de kreditkostnader som konsumenten ska betala och den effektiva räntan, 
8) eventuella ytterligare kostnader som inte ingår i kreditkostnaderna och som konsumenten ska betala i samband med ett kreditavtal, 
9) eventuella kompletterande tjänster som konsumenten måste köpa för att erhålla krediten på de marknadsförda villkoren och uppgift om att de kompletterande tjänsterna kan köpas från en tillhandahållare som inte är kreditgivaren,  
10) de olika alternativen för återbetalning av krediten, inklusive amorteringarnas antal, belopp och frekvens, samt vid behov uppgift om att det att villkoren i kreditavtalet iakttas inte garanterar att det totala kreditbeloppet enligt kreditavtalet och kreditkostnaderna blir återbetalda, 
11) eventuella villkor som gäller återbetalning i förtid, 
12) huruvida egendomsvärdering behövs och, vid behov, uppgift om vem som är ansvarig för att värderingen utförs och huruvida kostnader uppstår för konsumenten, 
13) en varning för de följder som en försummelse att fullgöra skyldigheterna enligt kreditavtalet medför. 
5 §  Information som ska lämnas i reklam för bostadskrediter 
I reklam för bostadskrediter ska den effektiva räntan anges, om räntan för krediten, någon annan sifferuppgift som beskriver kostnaderna för krediten eller någon annan information om villkoren i kreditavtalet framgår av reklamen. I detta fall ska dessutom följande framgå av reklamen: 
1) kreditgivarens eller den eventuella kreditförmedlarens namn,  
2) vid behov uppgift om att andelar i en sammanslutning som ger rätt att besitta en bostadslägenhet, en bostadsfastighet eller nyttjanderätten till en fastighet ska lämnas som säkerhet för kreditavtalet, 
3) krediträntan och övriga kreditkostnader, 
4) kreditbeloppet eller kreditgränsen, 
5) kreditavtalets löptid, 
6) amorteringarnas storlek och antal, 
7) kreditbeloppet och kreditkostnaderna sammanlagt, 
8) vid behov en varning om att valutakursfluktuationer kan påverka det belopp som ska betalas av konsumenten. 
Den effektiva räntan och den övriga information som avses i 1 mom. ska ges på ett klart, koncist och väl synligt sätt med hjälp av ett representativt exempel. Finansinspektionen ska utfärda närmare föreskrifter om kriterierna för hur ett representativt exempel ställs upp. Den effektiva räntan ska anges i reklamen minst lika synligt som de övriga siffror som beskriver kreditkostnaderna.  
När en kredit kan lämnas på de villkor som anges i reklamen endast om konsumenten ingår ett avtal om försäkring eller om någon annan kompletterande tjänst och kostnaderna för en sådan kompletterande tjänst inte går att bestämma på förhand, ska detta villkor anges i reklamen tillsammans med den effektiva räntan. 
6 § Information som ska lämnas innan ett bostadskreditavtal ingås 
Utöver vad som föreskrivs om informationsskyldighet någon annanstans i lag ska kreditgivaren och kreditförmedlaren utan ogrundat dröjsmål efter det att konsumenten har gett uppgifter om sina förväntningar och behov när det gäller krediten samt om sina ekonomiska förhållanden, och i god tid innan ett bostadskreditavtal ingås, på ESIS-blanketten i varaktig form ge konsumenten information om följande: 
1) kreditgivaren, 
2) kreditförmedlaren, 
3) den typ av kredit som erbjuds, kreditkostnaderna och återbetalningen av krediten, 
4) konsumentens övriga skyldigheter, 
5) konsumentens lagbestämda rättigheter, 
6) rådgivningstjänster, 
7) påföljderna vid avtalsbrott, 
8) rättsmedel och tillsynsmyndigheter. 
Närmare bestämmelser om förhandsinformationen och blanketten utfärdas genom förordning av statsrådet. 
7 § Anbud om bostadskredit per telefon 
Utöver vad som föreskrivs om förhandsinformation vid distansförsäljning i 6 a kap. 10 § 1 mom. och 2 mom. 1 och 3—6 punkten ska kreditgivaren och kreditförmedlaren vid telefonförsäljning ge information om den bostadskredit som erbjuds, om räntan och andra kostnader samt om återbetalningen av krediten. Närmare bestämmelser om den information som ska lämnas utfärdas genom förordning av statsrådet. 
8 §  Avgiftsfrihet 
För i detta kapitel avsedd information får det inte tas ut någon avgift av konsumenten.  
9 §  Informationsskyldighet som gäller konsumentkrediter med bostad som säkerhet 
På reklam för konsumentkrediter med en bostad som säkerhet tillämpas bestämmelserna i 7 kap. 8 § och på informationsskyldighet innan ett kreditavtal ingås bestämmelserna i 7 kap. 9—12 §. Kreditgivare och kreditförmedlare ska vid lämnande av i 7 kap. 9 och 10 § avsedd information till konsumenten samtidigt meddela huruvida de tillhandahåller rådgivningstjänster. 
Kreditgivarens skyldighet att handla ansvarsfullt vid lämnande av kredit 
10 §  Förfaranden och uppgifter vid bedömningen av konsumenternas kreditvärdighet 
Kreditgivaren ska bestämma utifrån vilka uppgifter konsumenternas kreditvärdighet bedöms samt vilka förfaranden som iakttas vid bedömningen.  
Kreditgivarna ska när de utarbetar och tillämpar riktlinjer för ersättning till personal som ansvarar för bedömning av konsumenternas kreditvärdighet säkerställa att riktlinjerna förhindrar uppkomsten av intressekonflikter. En särskild förutsättning är att beloppet av ersättningen till personalen inte är beroende av antalet eller andelen godkända kreditansökningar.  
Riktlinjerna ska främja en ändamålsenlig och effektiv riskhantering och får inte locka till risktagande som går utöver den risknivå som kreditgivaren godtar. Riktlinjerna ska också följa kreditgivarens affärsstrategi, mål, värderingar och långsiktiga intressen. Dessa riktlinjer ska tillämpas på ett sätt och i en omfattning som står i proportion till kreditgivarens storlek, organisation samt till verksamhetens art, omfattning och grad av komplexitet. 
11 §  Skyldighet att bedöma en konsuments kreditvärdighet 
Innan ett kreditavtal ingås ska kreditgivaren noggrant bedöma en konsuments kreditvärdighet. Bedömningen ska grundas på behövliga, tillräckliga och proportionella uppgifter om konsumentens inkomster och utgifter samt övriga ekonomiska förhållanden. Uppgifternas riktighet ska kontrolleras på behörigt sätt.  
Om parterna efter det att kreditavtalet har ingåtts kommer överens om att höja kreditbeloppet eller kreditgränsen, ska kreditgivaren försäkra sig om att informationen om konsumenten är aktuell och, om kreditbeloppet eller kreditgränsen höjs betydligt, bedöma konsumentens kreditvärdighet på nytt innan avtal ingås om höjningen. 
Kreditgivaren ska bevara uppgifterna om de åtgärder som har vidtagits för bedömningen av konsumentens kreditvärdighet i fem år från det att krediten i sin helhet har förfallit till betalning. Om oenighet uppstår kring ett kreditavtal, ska uppgifterna om bedömning av kreditvärdigheten dock bevaras till dess parterna har kommit överens om saken eller ärendet har avgjorts. 
12 § Begäran om uppgifter från konsumenterna 
Kreditgivaren ska meddela konsumenten vilka uppgifter denne ska lämna kreditgivaren för bedömning av kreditvärdigheten samt inom vilken tid uppgifterna ska lämnas. Konsumenten ska upplysas om att underlåtelse att lämna uppgifterna kan leda till att kredit inte beviljas.  
Om konsumenten har lämnat de uppgifter enligt 1 mom. som behövs för bedömningen av kreditvärdigheten till kreditförmedlaren, ska denne lämna uppgifterna till kreditgivaren på behörigt sätt.  
13 §  Former av säkerhet och värdering av egendom som godtas som säkerhet 
Kreditgivaren ska ange vilka former av säkerhet som denne godtar som säkerhet för ett kreditavtal.  
Kreditgivaren ska säkerställa att den som värderar bostadsegendom som ställs som säkerhet för ett kreditavtal är tillräckligt oberoende av kreditgivningsprocessen och att tillförlitliga standardbaserade värderingsmetoder används vid värderingen. 
Värderingen ska bevaras i fem år från det att krediten i sin helhet har förfallit till betalning. Om oenighet uppstår kring ett kreditavtal, ska värderingen dock bevaras till dess parterna har kommit överens om saken eller ärendet har avgjorts. 
Ingående av kreditavtal 
14 § Anbud om kredit 
En kreditgivares anbud om kredit ska göras i varaktig form. Anbudet ska innehålla alla villkor som gäller kreditavtalet. 
Anbudet ska åtföljas av ESIS-blanketten, om inte konsumenten har fått blanketten redan tidigare eller om anbudet till innehållet avviker från vad som tidigare angetts på blanketten.  
15 § Kreditavtal 
Ett kreditavtal ska ingås skriftligen och konsumenten ska få ett exemplar av avtalet. Ett avtal får också ingås på elektronisk väg på ett sådant sätt att konsumenten kan bevara och återge avtalet i oförändrad form. 
Ett kreditavtal ska innehålla följande: 
1) uppgifter om parterna i kreditavtalet, 
2) uppgifter om de omständigheter som avses i 6 § eller, om det är fråga om konsumentkredit med en bostad som säkerhet, om de omständigheter som avses i 7 kap. 9 §, 
3) övriga avtalsvillkor, 
4) uppgifter om de risker som är förenade med krediter i utländsk valuta och vilka möjligheter konsumenten har att begränsa dem, 
5) uppgifter om villkoren för utövande av ångerrätten, 
6) uppgifter om uppsägning eller annan avslutning av kreditavtalet, 
7) uppgifter om rättsmedel och tillsynsmyndighet. 
Närmare bestämmelser om de uppgifter som avtalet ska innehålla utfärdas genom förordning av statsrådet.  
Sådan ränta och sådana avgifter som inte har överenskommits i det i 1 avsedda avtalet får inte tas ut av konsumenten med anledning av kreditförhållandet. 
16 §  Avslag på ansökan om kredit 
Om en ansökan om kredit avslås, ska den konsument som ansökt om kredit underrättas om avslaget utan dröjsmål. Konsumenten ska på begäran underrättas om grunden för avslaget skriftligen, om inte avslaget grundar sig på 26 § i lagen om förhindrande och utredning av penningtvätt och av finansiering av terrorism (503/2008). 
I kreditupplysningslagen (527/2007) föreskrivs det dessutom om uppgifter som ska lämnas om ett avslag grundar sig på personkreditsupplysningar ur kreditupplysningsregistret. 
Utövande av ångerrätt 
17 §  Ångerrätt 
Konsumenten har rätt att frånträda ett kreditavtal genom att meddela detta till kreditgivaren i varaktig form inom 14 dagar räknat från det att avtalet ingicks eller från den senare tidpunkt då konsumenten fick ett skriftligt eller elektroniskt exemplar av kreditavtalet med den information som avses i 15 §. 
Om konsumenten frånträder avtalet, får räntan för krediten krävas i ersättning av konsumenten för den tid som han eller hon kunnat förfoga över krediten. Kreditgivaren har också rätt till ersättning av konsumenten för avgifter som kreditgivaren eventuellt har inbetalat till myndigheterna till följd av att kreditavtalet ingåtts och som inte återbetalas vid frånträdelse. Ränta och avgifter får dock inte utkrävas om kreditgivaren inte på förhand har informerat konsumenten om betalningsskyldigheten eller ränte- och avgiftsbeloppet eller, i det fall att räntan inte har kunnat meddelas på förhand, om grunderna för bestämmande av räntan. 
Konsumenten ska utan dröjsmål och senast inom 30 dagar från det att meddelandet om utövandet av ångerrätten avsändes, till kreditgivaren återlämna de medel som konsumenten har tagit emot i enlighet med kreditavtalet samt betala ersättning enligt 2 mom. Om konsumenten inte fullgör sin betalningsskyldighet, upphör ångerrätten. Konsumenten får dock låta bli att fullgöra sin betalningsskyldighet tills kreditgivaren har fullgjort sin motsvarande skyldighet. 
18 §  Accessoriska avtal som inte är bindande 
Ett till kreditavtalet anknutet avtal om accessoriska tjänster som tillhandahålls av kreditgivaren är inte bindande för konsumenten, om han eller hon frånträder kreditavtalet. Konsumenten är inte heller bunden av ett accessoriskt avtal, om en tredje part tillhandahåller tjänsterna på grundval av en överenskommelse eller andra arrangemang mellan kreditgivaren och den tredje parten. 
Om konsumenten önskar att det accessoriska avtalet ska fortsätta att gälla trots att kreditavtalet frånträtts, ska konsumenten underrätta kreditgivaren om detta inom 30 dagar från det att meddelandet om utövandet av ångerrätten avsändes. 
Betalning av kredit före förfallodagen 
19 § Konsumentens rätt att betala en konsumentkredit som har samband med bostadsegendom innan krediten förfaller till betalning 
Konsumenten har rätt att betala en konsumentkredit som har samband med bostadsegendom eller en del av krediten före förfallodagen. 
Om konsumenten betalar krediten eller en del av den i förtid, ska från den återstående delen av kreditgivarens fordran avdras den del av kreditkostnaderna som gäller den outnyttjade kredittiden. Kreditgivaren får emellertid i sin helhet ta ut de i kreditavtalet angivna faktiska kostnaderna för uppläggningen av krediten. 
20 § Rätt till kompensation när det gäller bostadskrediter 
Kreditgivaren har rätt till kompensation från konsumenten när konsumenten betalar en bostadskredit eller en del av en bostadskredit i förtid, om krediten är större än 20 000 euro och räntan på krediten inte har bundits till referensränta (fast ränta) eller den period för vilken referensräntan bestäms är minst tre år. Om kreditgivaren utnyttjar sin rätt till kompensation, ska denne utan dröjsmål efter att ha mottagit en begäran om återbetalning, i varaktig form sända konsumenten en kalkyl med uppgift om beloppet av den kompensation som krävs och de grunder och antaganden som använts vid beräkningen. 
Som kompensation får kreditgivaren kräva ut högst ett belopp som motsvarar den förlust som uppkommer till följd av en sänkt räntenivå under den återstående kreditperioden med fast ränta eller under den period för vilken referensränta har bestämts. Finansinspektionen utfärdar närmare föreskrifter om förlustberäkningen.  
21 § Rätt till kompensation vid konsumentkrediter med bostad som säkerhet 
Kreditgivaren får kräva ut kompensation vid förtida betalning av en konsumentkredit med en bostad som säkerhet eller en del av krediten, om räntan på krediten är en fast ränta. Om kreditgivaren utnyttjar sin rätt till kompensation, ska denne utan dröjsmål efter att ha mottagit en begäran om återbetalning, sända konsumenten en kalkyl i varaktig form med uppgift om beloppet av den kompensation som krävs och de grunder som använts vid beräkningen. 
Beloppet av kompensationen får inte överstiga en procent av det återbetalda kreditbeloppet eller, om det vid tiden för den förtida betalningen återstår mindre än ett år tills kreditavtalet löper ut, en halv procent av det återbetalda kreditbeloppet. Som kompensation får dock högst krävas ut ränta för tiden mellan den förtida återbetalningen och den tidpunkt då kreditavtalet upphör att gälla. 
Kreditgivaren har dock inte rätt till kompensation, om 
1) det av krediten har betalats högst 10 000 euro i förtid under det senaste året, 
2) återbetalningen sker med stöd av en låneskyddsförsäkring, eller 
3) den kredit som återbetalas grundar sig på ett kreditavtal som är knutet till ett brukskonto. 
Krediter i utländsk valuta 
22 § Begränsning av valutakursriskerna 
En kreditgivare ska i god tid innan ett kreditavtal som gäller kredit i utländsk valuta ingås varna konsumenten för de risker som är förenade med krediten och informera konsumenten om dennes rätt enligt 2 mom. att få kreditavtalet konverterat till euro och om tillgängliga försäkringar eller andra arrangemang genom vilka konsumenten kan begränsa den risk som förorsakas av valutakursfluktuationer. 
Om en kredit erbjuds i någon annan valuta än euro, har konsumenten rätt att när som helst få sitt kreditavtal konverterat till euro. Konverteringen ska ske enligt den officiella valutakursen den dag som utgör den tredje bankdagen från det att konsumentens meddelande om konvertering har anlänt till kreditgivaren.  
23 § Informationsskyldigheten under löptiden av ett avtal om kredit i utländsk valuta 
Om det återstående kreditbeloppet eller amorteringarnas storlek avviker med mer än 20 procent från vad det skulle vara om man tillämpade den valutakurs som gällde vid ingåendet av kreditavtalet, ska kreditgivaren utan dröjsmål och därefter så länge avvikelsen är större än 20 procent regelbundet underrätta en konsument som har en kredit i utländsk valuta om detta. Meddelandet ska ges i varaktig form och innehålla uppgift om att konsumenten eventuellt har rätt att få kreditavtalet konverterat till en annan valuta, om villkoren för en konvertering samt om de övriga arrangemang som avses i 22 § 1 mom. 
Vissa skyldigheter för kreditförmedlare  
24 § Informationsskyldigheten innan kredit förmedlas  
En kreditförmedlare ska i god tid innan konsumentkrediter som har samband med bostadsegendom förmedlas lämna konsumenten åtminstone följande uppgifter i varaktig form: 
1) förmedlarens namn och besöksadress, 
2) det register förmedlaren är införd i och registernummer eller någon annan motsvarande beteckning i registret i fråga samt hur en sådan registrering kan kontrolleras, 
3) huruvida förmedlaren är ombud för en eller flera kreditgivare och, i så fall, namnet på de kreditgivare för vars räkning förmedlaren agerar,  
4) vad förmedlingstjänsten innehåller, om förmedlaren inte är ombud för en kreditgivare, 
5) huruvida kreditförmedlaren tillhandahåller rådgivningstjänster, 
6) det sammanlagda beloppet av avgifter som tas ut av konsumenten för kreditförmedlingen eller, om ett exakt belopp inte kan anges, grunderna för bestämmande av avgifterna, 
7) förfaranden genom vilka konsumenten eller någon annan kan anföra klagomål mot förmedlarens verksamhet eller föra ärendet till ett tvistlösningsorgan utanför domstol för behandling, 
8) förekomsten av och beloppet av provision eller andra incitament som kreditgivaren eller tredje parter betalar till förmedlaren i samband med kreditavtalet eller, om ett exakt belopp inte är känt, uppgift om att beloppet anges senare i ESIS-blanketten.  
Om beloppen av de i 1 mom. 8 punkten avsedda provisionerna eller incitamenten varierar beroende på vilken kreditgivare konsumenten ingår ett kreditavtal med, ska kreditförmedlaren underrätta konsumenten om detta och om möjligheten att på begäran få ytterligare information om hur beloppen av de provisioner eller incitament som betalas förmedlaren varierar i fråga om de olika kreditavtal som erbjudits konsumenten.  
Om en kreditförmedlare tar ut en avgift för kreditförmedling av konsumenten och dessutom får provision eller något annat incitament av kreditgivaren eller en tredje part, ska förmedlaren när denne lämnar de uppgifter som avses i 1 mom. meddela konsumenten huruvida provisionen eller incitamentet beaktas när avgiften bestäms. 
25 §  Oberoende kreditförmedlare 
En kreditförmedlare får uppge sig vara oberoende kreditförmedlare endast om kreditförmedlaren förmedlar ett tillräckligt stort antal kreditavtal som bjuds ut på marknaden och inte tar emot ersättning för kreditförmedlingen av någon annan än konsumenten. 
26 § Avgift som konsumenten ska betala för kreditförmedlingen 
En kreditförmedlare har rätt att ta ut en avgift för kreditförmedling av konsumenten endast om konsumenten har informerats om avgiften på det sätt som föreskrivs i 24 § 1 mom. 6 punkten och överenskommelse om avgiften har träffats med konsumenten i varaktig form.  
Kreditförmedlaren ska för beräkningen av den effektiva räntan meddela kreditgivaren beloppet av den avgift som tas ut av konsumenten. 
27 § Beaktande av konsumentens förhållanden  
Kreditförmedlingen och tillhandahållandet av eventuella kompletterande tjänster ska grunda sig på uppgifter om konsumentens ekonomiska situation, på behov och förväntningar som konsumenten uppgett sig ha i fråga om krediten samt på relevanta antaganden om konsumentens risker under kreditavtalets giltighetstid.  
Rådgivningstjänster 
28 §  Förhandsinformation till konsumenten 
Den som tillhandahåller rådgivningstjänster ska i god tid innan rådgivningstjänster börjar utföras eller innan ett avtal om rådgivningstjänster ingås ge konsumenten information om de kreditgivare vars krediter har utvärderats i den rekommendation som ges samt om det sammanlagda beloppet av avgifter som konsumenten ska betala för rådgivningstjänsterna eller, om ett exakt belopp inte kan anges, grunderna för bestämmande av avgifterna. Informationen ska ges konsumenten i varaktig form. 
29 § Rätt att ta ut avgift för rådgivningstjänster 
Den som tillhandahåller rådgivningstjänster har rätt att ta ut en avgift av konsumenten för sina rådgivningstjänster och det rekommenderade kreditavtalet endast om konsumenten har informerats om avgiften på det sätt som föreskrivs i 28 § och överenskommelse om avgiften har träffats med konsumenten i varaktig form.  
Den som tillhandahåller rådgivningstjänster får inte ta emot ersättning av någon annan än konsumenten för sina rådgivningstjänster eller det rekommenderade kreditavtalet.  
30 § Utförande av rådgivningstjänster 
Rådgivningstjänsterna ska grunda sig på uppgifter om konsumentens ekonomiska situation, på behov och förväntningar som konsumenten uppgett sig ha i fråga om krediten samt på relevanta antaganden om konsumentens risker under kreditavtalets giltighetstid.  
Tillhandahållaren av rådgivningstjänster ska utvärdera ett tillräckligt stort antal kreditavtal på marknaden och utgående från utvärderingen rekommendera ett eller flera kreditavtal som lämpar sig för konsumentens behov och förväntningar samt ekonomiska situation. Konsumenten ska få ett exemplar av rekommendationen i varaktig form.  
Tillhandahållaren av rådgivningstjänster ska bevara rekommendationen i fem år från det att den lämnades. Om oenighet uppstår kring en rådgivningstjänst, ska rekommendationen dock bevaras till dess parterna har kommit överens om saken eller ärendet har avgjorts.  
Övriga bestämmelser om konsumentkrediter som har samband med bostadsegendom 
31 § Tillämpning av bestämmelserna om konsumentkrediter 
På konsumentkrediter som har samband med bostadsegendom tillämpas dessutom 7 kap. 1 § 3 och 4 mom. och 13, 13 a, 15, 16, 16 a, 17 a, 18, 19 och 23 §, 24 § 1, 2 och 4 mom. och 25, 26 och 30–35 §. På konsumentkrediter med en bostad som säkerhet tillämpas dessutom 39 och 40 § i det kapitlet. 
Trots bestämmelserna i 7 kap. 24 § 1 och 2 mom. kan man dock i ett avtal om bostadskredit komma överens om att den ränta som konsumenten ska betala på krediten inte ändras, om referensräntans värde är mindre än noll. 
Tillsyn 
32 §  Påföljder 
Kreditgivare och kreditförmedlare som bryter mot bestämmelserna i detta kapitel kan, om det behövs med hänsyn till konsumentskyddet, förbjudas att fortsätta eller upprepa sådant förfarande eller därmed jämförbart förfarande. Bestämmelser om meddelande av förbud och förenande av förbud med vite finns i 2 och 3 kap. Om en i lagen om förmedlare av konsumentkrediter som har samband med bostadsegendom ( / ) avsedd utländsk kreditförmedlare bryter mot bestämmelserna, ska förbudet meddelas med iakttagande av bestämmelserna i artikel 34.2 och 34.4 i Europaparlamentets och rådets direktiv 2014/17/EU om konsumentkreditavtal som avser bostadsfastighet och om ändring av direktiven 2008/48/EG och 2013/36/EU och förordning (EU) nr 1093/2010 (direktivet om bostadskrediter).  
Bestämmelser om Finansinspektionens rätt att påföra påföljder finns i lagen om Finansinspektionen och i lagen om förmedlare av konsumentkrediter som har samband med bostadsegendom.  
33 §  Tillsynsmyndigheter 
Tillsynen över att bestämmelserna i detta kapitel följs utövas av konsumentombudsmannen, av Konkurrens- och konsumentverket och av regionförvaltningsverken såsom förvaltningsmyndigheter underställda Konkurrens- och konsumentverket, samt av Finansinspektionen när kreditgivaren eller kreditförmedlaren är en aktör som avses i 4 § 2–5 mom. i lagen om Finansinspektionen eller en i 5 § 28 punkten i den lagen avsedd annan aktör. 
Tillsynsmyndigheterna ska samarbeta på lämpligt sätt. När efterlevnaden av 7 kap. 15 § övervakas med stöd av 31 § i detta kapitel ger Kommunikationsverket på begäran tillsynsmyndigheten ett utlåtande om huruvida den metod för elektronisk identitetskontroll som kreditgivaren använder uppfyller kraven i 8 § i lagen om stark autentisering och elektroniska signaturer. 
Tillsynsmyndigheterna ska bedriva ändamålsenligt samarbete med de utländska EES-tillsynsmyndigheterna i ärenden som gäller konsumentkrediter som har samband med bostadsegendom på de sätt som anges i artikel 36 och 37 i direktivet om bostadskrediter. Finansinspektionen är sådan kontaktpunkt som avses i artikel 36 i det direktivet. 
Kreditgivare och kreditförmedlare är skyldiga att till tillsynsmyndigheterna överlämna för tillsynen behövliga handlingar om konsumentkrediter som har samband med bostadsegendom.  
 Paragraf eller bestämmelse om ikraftträdande börjar 
Denna lag träder i kraft den 20 . 
På avtal som har ingåtts före ikraftträdandet av denna lag tillämpas de bestämmelser som gällde vid ikraftträdandet. 
 Slut på lagförslaget 

2. Lag om förmedlare av konsumentkrediter som har samband med bostadsegendom 

I enlighet med riksdagens beslut föreskrivs: 
1 § Tillämpningsområde 
Denna lag gäller förmedling av konsumentkrediter som har samband med bostadsegendom och som omfattas av tillämpningsområdet för 7 a kap. i konsumentskyddslagen (38/1978) samt tillhandahållande av rådgivningstjänster med avseende på sådana krediter.  
2 § Definitioner 
I denna lag avses med 
1) förmedling av konsumentkrediter som har samband med bostadsegendom att mot ersättning presentera eller erbjuda kreditavtal som har samband med bostadsegendom till konsumenter och på annat sätt bistå konsumenter vid ingående av sådana kreditavtal så att kreditgivaren själv inte är aktör samt att ingå sådana kreditavtal med konsumenter för kreditgivarens räkning,  
2) rådgivningstjänster att tillhandahålla personligt anpassade rekommendationer till en konsument avseende ett kreditavtal enligt 1 punkten, 
3) personal var och en som är anställd hos en kreditförmedlare eller på annat sätt agerar för dennes räkning och som deltar i förmedling av konsumentkrediter som har samband med bostadsegendom och var och en som direkt leder och övervakar de förstnämnda, 
4) direktivetom bostadskrediter Europaparlamentets och rådets direktiv 2014/17/ЕU om konsumentkreditavtal som avser bostadsfastighet och om ändring av direktiven 2008/48/EG och 2013/36/EU och förordning (EU) nr 1093/2010, 
5) finländska kreditförmedlare näringsidkare som är registrerade som förmedlare av krediter som har samband med bostadsegendom i enlighet med denna lag, 
6) utländska kreditförmedlare fysiska personer eller juridiska personer vars hemstat finns i en annan stat inom Europeiska ekonomiska samarbetsområdet (EES-stat) än Finland och som av en behörig myndighet i hemstaten i enlighet med artikel 29 i direktivet om bostadskrediter har beviljats rätt att förmedla konsumentkrediter som har samband med bostadsegendom, 
7) kreditförmedlare finländska och utländska kreditförmedlare, 
8) ombud för kreditgivare kreditförmedlare som förmedlar konsumentkrediter som har samband med bostadsegendom för kreditgivarens räkning och på kreditgivarens ansvar. 
Med hemstat avses den EES-stat där kreditförmedlarens huvudkontor är beläget, om kreditförmedlaren är en fysisk person. Om kreditförmedlaren är en juridisk person, avses med hemstat den EES-stat där kreditförmedlaren har sitt säte eller, om kreditförmedlaren enligt den lag som är tillämplig inte har något säte, den EES-stat där kreditförmedlarens huvudkontor är beläget. 
3 § Rätt att förmedla konsumentkrediter som har samband med bostadsegendom 
En näringsidkare får förmedla konsumentkrediter som har samband med bostadsegendom endast om näringsidkaren är registrerad som förmedlare av sådana krediter i enlighet med denna lag.  
Bestämmelserna om registreringsskyldighet i 5–9 § tillämpas inte på 
1) kreditinstitut och utländska EES-kreditinstitut enligt kreditinstitutslagen (610/2014), 
2) utländska kreditförmedlare, 
3) näringsidkare som förmedlar konsumentkrediter som har samband med bostadsegendom sporadiskt i samband med annan yrkesverksamhet som förutsätter tillstånd, registrering eller godkännande på förhand. 
Kraven på kunskap och kompetens i 6 § 1 mom. 4 punkten i denna lag gäller dock också personalen i en utländsk kreditförmedlares filial i Finland samt personalen hos en näringsidkare som avses i 2 mom. 3 punkten i denna paragraf. Till den del de krav som avses i punkt 1 led b, c, e och f i bilaga III till direktivet om bostadskrediter genomförs genom dessa krav på kunskap och kompetens gäller de också sådan personal hos en utländsk kreditförmedlare som i Finland inom ramen för friheten att tillhandahålla tjänster förmedlar konsumentkrediter som har samband med bostadsegendom.  
4 §  Rätt att tillhandahålla rådgivningstjänster 
Rådgivningstjänster med avseende på konsumentkrediter som har samband med bostadsegendom får tillhandahållas endast av kreditförmedlare. Rätt att tillhandahålla rådgivningstjänster har dock inte den som är ombud för en kreditgivare eller den som på det sätt som avses i 6 § i bokföringslagen (1336/1997) hör till samma koncern som kreditgivaren, inte heller en kreditförmedlare som är ägarintresseföretag eller intresseföretag enligt 7 eller 8 § i bokföringslagen i förhållande till kreditgivaren. Med motsvarande begränsningar har också en näringsidkare enligt 3 § 2 mom. 3 punkten rätt att tillhandahålla rådgivningstjänster.  
5 § Förmedlarregister och registeranmälan 
Finansinspektionen för register över finländska kreditförmedlare. 
Den som har för avsikt att förmedla konsumentkrediter som har samband med bostadsegendom ska för anteckning i registret göra en anmälan till Finansinspektionen. I registeranmälan ska ingå 
1) de uppgifter som avses i 9 § 1 mom. 1, 2, 7 och 8 punkten, 
2) vid behov en utredning över de omständigheter som nämns i 6 § 1 mom. 1 punkten, 
3) en utredning över de personer som avses i 7 § 2 mom. och vars tillförlitlighet ska bedömas, om anmälaren är en juridisk person, 
4) en utredning över den utbildning och arbetserfarenhet som anmälaren och dennes anställda har och, om anmälaren är en juridisk person, samma utredning över dem som hör till den högsta ledningen enligt 6 § 2 mom.,  
5) en utredning över att anmälaren har en ansvarsförsäkring eller annan säkerhet enligt 8 §. 
Anmälaren ska på begäran av Finansinspektionen lämna också andra uppgifter som behövs för att bedöma om förutsättningarna för registrering uppfylls. 
6 § Förutsättningar för registrering 
Finansinspektionen ska registrera den som gör en registeranmälan som förmedlare av konsumentkrediter som har samband med bostadsegendom, om 
1) anmälarens hemstat är Finland och, om anmälaren är en fysisk person eller en juridisk person som enligt tillämplig lag inte har något säte, huvudsakligen är verksam i Finland och, om anmälaren är en juridisk person som har sitt säte i Finland, också har sitt huvudkontor i Finland, 
2) anmälaren inte har försatts i konkurs och, om anmälaren är en fysisk person, har uppnått myndighetsålder och inte har fått sin handlingsbehörighet begränsad, 
3) anmälaren är tillförlitlig, 
4) anmälaren och dennes personal samt, om anmälan är en juridisk person, de som hör till dess högsta ledning har tillräcklig kunskap och kompetens i fråga om kreditverksamhet med beaktande av de krav som anges i bilaga III till direktivet om bostadskrediter, 
5) anmälaren har en ansvarsförsäkring eller annan säkerhet enligt 8 §. 
De som anses höra till den högsta ledningen enligt 1 mom. 4 punkten är verkställande direktören och dennes ställföreträdare, medlemmar och ersättare i styrelsen och i jämförbara organ samt ansvariga bolagsmän. Närmare bestämmelser om den kännedom om kreditverksamhet som fordras av anmälaren, den högsta ledningen och personalen utfärdas genom förordning av statsrådet.  
Finansinspektionen får vägra registrering, om det med beaktande av omständigheterna är uppenbart att den som gjort anmälan har för avsikt att förmedla konsumentkrediter som har samband med bostadsegendom såsom ombud för någon annan. 
7 § Tillförlitlighet 
Den som gör anmälan anses inte tillförlitlig i den mening som avses i 6 § 1 mom. 3 punkten om han eller hon genom en lagakraftvunnen dom har dömts till fängelsestraff under de fem senaste åren före en bedömning eller till bötesstraff under de tre senaste åren före bedömningen för ett brott som kan anses visa att personen i fråga är uppenbart olämplig för att förmedla konsumentkrediter som har samband med bostadsegendom eller för att äga en sammanslutning som bedriver sådan verksamhet eller för att vara styrelsemedlem eller ersättare, verkställande direktör eller ställföreträdande verkställande direktör eller på annat sätt medlem av högsta ledningen i en sådan sammanslutning, eller om han eller hon annars genom sin tidigare verksamhet har visat sig uppenbart olämplig för en sådan uppgift. 
Om anmälaren är en juridisk person, gäller tillförlitlighetskravet verkställande direktören och dennes ställföreträdare, medlemmar och ersättare i styrelsen, förvaltningsrådet och jämförbara organ, ansvariga bolagsmän, andra som hör till den högsta ledningen och den som direkt eller indirekt innehar minst en tiondel av aktierna i ett aktiebolag eller den rösträtt som aktierna medför eller motsvarande ägande- eller bestämmanderätt, om det är fråga om en annan sammanslutning än ett aktiebolag. 
8 § Ansvarsförsäkring eller annan säkerhet 
Den som gör anmälan ska ha en giltig ansvarsförsäkring, bankgaranti eller någon annan av Finansinspektionen godkänd motsvarande säkerhet för ersättande av skador som förorsakas av förmedling av konsumentkrediter som har samband med bostadsegendom och rådgivningstjänster med avseende på sådana krediter. Försäkringen eller någon annan säkerhet ska minst uppgå till det belopp som förutsätts i de standarder för tillsyn som antagits med stöd av artikel 29.2 a i direktivet om bostadskrediter och ska vara giltig på de staters territorium inom Europeiska ekonomiska samarbetsområdet där anmälaren tillhandahåller förmedling av konsumentkrediter som har samband med bostadsegendom eller rådgivningstjänster med avseende på sådana krediter. Försäkringsgivaren eller den som ställt någon annan säkerhet ska ha hemort i en EES-stat, om inte Finansinspektionen på ansökan beviljar undantag från detta.  
Försäkringen ska dessutom uppfylla följande villkor: 
1) om försäkringen inbegriper självrisk, ska försäkringsgivaren betala försäkringsersättningen till den skadelidande utan avdrag för självrisken, 
2) av försäkringen ska det ersättas en skada som har uppstått till följd av en gärning eller försummelse som inträffat under försäkringsperioden och beträffande vilken ersättningsanspråk har framställts skriftligen hos anmälaren eller försäkringsgivaren under försäkringens giltighetstid eller inom tre år från det att försäkringen upphörde.  
9 § Uppgifter som ska föras in i registret och anmälan om ändringar 
I registret antecknas 
1) en enskild näringsidkares fullständiga namn och personbeteckning eller, om sådan saknas, födelsetid samt firma, eventuell bifirma, företags- och organisationsnummer eller annan motsvarande beteckning, huvudkontor och besöksadress till de verksamhetsställen där det förmedlas konsumentkrediter som har samband med bostadsegendom eller tillhandahålls rådgivningstjänster med avseende på sådana krediter, 
2) en juridisk persons firma, eventuell bifirma, företags- och organisationsnummer eller annan motsvarande beteckning, huvudkontor och besöksadress till de verksamhetsställen där det förmedlas konsumentkrediter som har samband med bostadsegendom eller tillhandahålls rådgivningstjänster med avseende på sådana krediter, 
3) fullständigt namn och personbeteckning eller, om sådana saknas, födelsetid för de personer vars tillförlitlighet har kontrollerats i samband med handläggningen av registeranmälan, 
4) fullständigt namn och personbeteckning eller, om sådana saknas, födelsetid för de personer som hör till den högsta ledningen och vars kännedom om kreditverksamhet har kontrollerats i samband med handläggningen av registeranmälan, 
5) den som beviljat en i 8 § avsedd ansvarsförsäkring och försäkringsbeloppet eller, om någon annan säkerhet har ställts, vilket slag av säkerhet som ställts, av vem och till vilket belopp, 
6) datum för registreringen, 
7) uppgift om att anmälaren är ombud för en eller flera kreditgivare och uppgift om dessa kreditgivare, 
8) uppgift om att anmälaren tillhandahåller rådgivningstjänster med avseende på konsumentkrediter som har samband med bostadsegendom, 
9) de EES-stater där anmälaren förmedlar konsumentkrediter som har samband med bostadsegendom eller tillhandahåller rådgivningstjänster med avseende på sådana krediter, 
10) till anmälaren meddelade offentliga varningar och sådana förbud som förenats med vite, 
11) skälet till strykning ur registret och när denna har skett. 
I registret antecknas också uppgifter om dem som har meddelats ett förbud enligt 19 § 1 mom. att förmedla konsumentkrediter som har samband med bostadsegendom utan registrering eller tillhandahålla rådgivningstjänster med avseende på sådana krediter i strid med 4 §. Dessa uppgifter och uppgifter om påföljderna enligt 1 mom. 10 punkten ska avföras ur registret fem år efter utgången av det år då förbudet eller någon annan påföljd påfördes. 
En finländsk kreditförmedlare ska utan dröjsmål anmäla ändringar i de uppgifter som införts i registret till Finansinspektionen. Förmedlaren ska dessutom meddela Finansinspektionen att han eller hon under de föregående sex månaderna inte har förmedlat konsumentkrediter som har samband med bostadsegendom eller tillhandahållit rådgivningstjänster med avseende på sådana krediter eller har upphört med sin verksamhet. 
10 § Uppgifters tillgänglighet 
Trots bestämmelserna i 16 § 3 mom. i lagen om offentlighet i myndigheternas verksamhet (621/1999) får personuppgifter lämnas ut ur registret i form av utskrifter, göras allmänt tillgängliga i ett elektroniskt datanät eller lämnas ut på något annat sätt i elektronisk form. Personbeteckningar får dock lämnas ut med stöd av denna lag endast om uppgiften lämnas i form av en utskrift eller i teknisk lagringsform och mottagaren med stöd av 13 § i personuppgiftslagen (523/1999) eller med stöd av någon annan lag har rätt att behandla personbeteckningar. 
Följande i registret införda uppgifter ska Finansinspektionen dock hålla allmänt tillgängliga i ett elektroniskt datanät: 
1) en enskild näringsidkares namn samt firma, eventuell bifirma, företags- och organisationsnummer eller annan motsvarande beteckning, huvudkontor och besöksadress till de verksamhetsställen där det förmedlas konsumentkrediter som har samband med bostadsegendom eller tillhandahålls rådgivningstjänster med avseende på sådana krediter, 
2) en juridisk persons firma, eventuell bifirma, företags- och organisationsnummer eller annan motsvarande beteckning, huvudkontor och besöksadress till de verksamhetsställen där det förmedlas konsumentkrediter som har samband med bostadsegendom eller tillhandahålls rådgivningstjänster med avseende sådana krediter, 
3) namn på verkställande direktören och dennes ställföreträdare, medlemmar och ersättare i styrelsen och i jämförbara organ samt ansvariga bolagsmän, 
4) datum för registreringen, 
5) uppgift om att anmälaren är ombud för en eller flera kreditgivare och uppgift om dessa kreditgivare, 
6) de EES-stater där anmälaren förmedlar konsumentkrediter som har samband med bostadsegendom eller tillhandahåller rådgivningstjänster med avseende på sådana krediter, 
7) till anmälaren meddelade offentliga varningar och sådana förbud som förenats med vite. 
11 § Ledningens skyldigheter 
Kreditförmedlaren eller, om förmedlaren är en juridisk person, dess högsta ledning enligt 6 § 2 mom. ska se till att god kreditgivningssed iakttas i verksamheten och att verksamheten också i övrigt bedrivs i enlighet med lag.  
12 § Kundmedel 
En kreditförmedlare får inte ta emot, inneha eller förmedla medel som tillhör en kund (kundmedel). 
13 § Bevaring av handlingar och uppgifter som gäller kreditförmedling eller rådgivningstjänster 
Om inte bestämmelser om en längre bevaringstid finns någon annanstans i lag, ska kreditförmedlaren bevara handlingar och uppgifter som gäller kreditförmedling och rådgivningstjänster i fem år från det kundförhållandet upphörde. Om oenighet uppstår kring en tjänst, ska handlingarna och uppgifterna dock bevaras till dess parterna har kommit överens om saken eller ärendet har avgjorts. 
14 § Tystnadsplikt 
Den som vid förmedling av konsumentkrediter som har samband med bostadsegendom eller vid tillhandahållande av rådgivningstjänster med avseende på sådana krediter har fått veta något om en kunds eller någon annans ekonomiska ställning eller något som berör personliga förhållanden eller en affärs- eller yrkeshemlighet får inte röja detta för utomstående, om inte den till vars förmån tystnadsplikten gäller ger sitt samtycke till att uppgifterna röjs eller om inte något annat föreskrivs i lag. 
15 § Etablering av filial och tillhandahållande av tjänster i utlandet 
En finländsk förmedlare som har för avsikt att inleda förmedling av konsumentkrediter som har samband med bostadsegendom eller tillhandahållande av rådgivningstjänster med avseende på sådana krediter i en eller flera andra EES-stater, ska i god tid innan verksamheten inleds meddela Finansinspektionen vilka slags tjänster förmedlaren avser att tillhandahålla, i vilken stat eller i vilka stater de tillhandahålls samt om det sker genom etablering av filial. Finansinspektionen kan utfärda närmare föreskrifter om sättet att lämna uppgifter och vilka uppgifter som meddelandet ska innehålla. 
Finansinspektionen ska inom en månad efter att meddelandet tagits emot sända ovan nämnda uppgifter till de behöriga myndigheterna i de mottagande staterna. Dessa myndigheter ska också informeras om vilka kreditgivare förmedlaren är ombud för samt att kreditgivaren svarar för ombudets verksamhet. Finansinspektionen ska utan dröjsmål meddela förmedlaren att uppgifterna har sänts till de mottagande staternas myndigheter. 
Förmedlaren har rätt att inleda tillhandahållande av tjänster i en annan EES-stat en månad från det att förmedlaren i enlighet med 2 mom. har fått ett meddelande från Finansinspektionen.  
16 § Verksamhet som en utländsk kreditförmedlare inleder i Finland 
En utländsk kreditförmedlare som av en behörig myndighet i hemstaten har beviljats rätt att förmedla konsumentkrediter som har samband med bostadsegendom i enlighet med artikel 29 i direktivet om bostadskrediter får inleda förmedling av sådana konsumentkrediter i Finland en månad efter det att förmedlaren av den behöriga myndigheten i sin hemstat har fått ett meddelande om att Finansinspektionen har underrättats om att verksamhet kommer att inledas i Finland. En utländsk kreditförmedlare får på motsvarande villkor inleda tillhandahållanade också av rådgivningstjänster med avseende på konsumentkrediter som har samband med bostadsegendom i Finland, dock med beaktande av de begränsningar för tillhandahållande av rådgivningstjänster som anges i 4 §. 
Om en utländsk kreditförmedlare etablerar filial i Finland, ska Finansinspektionen innan verksamheten i filialen inleds eller inom två månader från det att ett meddelande enligt 1 mom. från den behöriga myndigheten i förmedlarens hemstat mottagits meddela förmedlaren på vilka villkor verksamhet i Finland ska bedrivas i sådana ärenden för vilka harmoniserade bestämmelser saknas. 
Finansinspektionen ska anteckna följande uppgifter om utländska kreditförmedlare med verksamhet i Finland i registret: 
1) kreditförmedlarens namn och registernummer eller annan motsvarande beteckning och, om kreditförmedlaren är en fysisk person, födelsetiden, 
2) adressen till kreditförmedlarens huvudkontor och eventuell annan kontaktinformation som lämnats till Finansinspektionen samt, om det är fråga om en filial, motsvarande uppgifter om den, 
3) om det är fråga om en filial, namnet på de personer som ansvarar för dess ledning, 
4) namnet på den behöriga myndigheten i kreditförmedlarens hemstat samt webbadressen till det kreditförmedlarregister i vilket kreditförmedlaren har införts, 
5) de tjänster som kreditförmedlaren avser att tillhandahålla i Finland i den omfattning som de framgår av det meddelande som den behöriga myndigheten i hemstaten sänt till Finansinspektionen, 
6) vid behov namn och registernummer eller annan beteckning för en eller flera sådana kreditgivare som kreditförmedlaren är anknuten till eller för vars räkning kreditförmedlaren uteslutande agerar samt anteckning om att dessa kreditgivare har bekräftat att de tar fullt och villkorslöst ansvar för kreditförmedlarens verksamhet, 
7) datum då den behöriga myndigheten i hemstaten enligt egen uppgift har lämnat ett meddelande enligt 1 mom. till kreditförmedlaren. 
17 § Tillsyn 
Tillsyn över efterlevnaden av denna lag utövas av Finansinspektionen.  
18 § Rätt att få uppgifter ur bötes- och straffregistret 
Finansinspektionen har rätt att ur det bötesregister som avses i 46 § i lagen om verkställighet av böter (672/2002) få de uppgifter som behövs för att utreda tillförlitligheten i fråga om en person som avses i 7 §. Bestämmelser om rätten att få uppgifter ur straffregistret finns i straffregisterlagen (770/1993). 
19 § Kreditförmedling utan registrering och tillhandahållande av rådgivningstjänster i strid med lag 
Finansinspektionen ska förbjuda förmedling av konsumentkrediter som har samband med bostadsegendom eller tillhandahållande av rådgivningstjänster med avseende på sådana krediter om verksamheten bedrivs i strid med denna lag utan registrering eller innan den tid som avses i 15 § 3 mom. eller 16 § 1 mom. har löpt ut. Likaså ska Finansinspektionen förbjuda tillhandahållandet av rådgivningstjänster med avseende på konsumentkrediter som har samband med bostadsegendom, om det sker i strid med 4 §. Om det finns särskilda skäl, får förbudet också meddelas så att det gäller en anställd hos den som bedriver sådan verksamhet eller någon annan som agerar för dennes räkning. 
Förbudet ska förenas med vite, om det inte av särskilda skäl är onödigt. Bestämmelser om Finansinspektionens rätt att meddela offentlig varning finns i lagen om Finansinspektionen (878/2008). 
20 § Avregistrering 
Finansinspektionen ska utan ogrundat dröjsmål avföra en finländsk kreditförmedlare ur registret om 
1) förmedlaren under de föregående sex månaderna inte har förmedlat konsumentkrediter som har samband med bostadsegendom eller tillhandahållit rådgivningstjänster med avseende på sådana krediter eller om förmedlaren har upphört med sin verksamhet, 
2) förmedlaren har godkänts i registret på basis av felaktiga eller vilseledande uppgifter som förmedlaren lämnat, 
3) förutsättningarna för registrering i 6 § 1 mom. 1—3 punkten inte längre uppfylls, 
4) förmedlaren förmedlar konsumentkrediter som har samband med bostadsegendom som ombud för någon annan, 
5) förutsättningen för registrering i 6 § 1 mom. 4 punkten inte längre uppfylls och förmedlaren inte inom den tid som angivits i Finansinspektionens uppmaning har anmält nya personer som uppfyller kraven på kännedom om kreditverksamhet,  
6) förutsättningen för registrering i 6 § 1 mom. 5 punkten inte längre uppfylls och förmedlaren inte inom den tid som angivits i Finansinspektionens uppmaning har ordnat en ansvarsförsäkring eller någon annan säkerhet som uppfyller förutsättningarna i 8 §, 
7) det i förmedlarens eller dess högsta lednings verksamhet förekommer allvarliga eller upprepade försummelser och förmedlaren redan tidigare har meddelats ett verksamhetsförbud enligt 21 § 1 mom. 
I samband med avregistreringen får Finansinspektionen i syfte att tillvarata kundernas intressen utfärda föreskrifter om vilka åtgärder förmedlaren ska vidta för att avsluta verksamheten. 
Om Finansinspektionen avregistrerar en förmedlare av konsumentkrediter som har samband med bostadsegendom, ska Finansinspektionen anmäla avregistreringen inom 14 dagar till de behöriga myndigheterna i de andra EES-stater där förmedlaren i enlighet med 15 § 1 mom. har uppgett sig ha verksamhet. 
21 § Andra påföljder för finländska kreditförmedlare 
Om en finländsk kreditförmedlare i väsentlig grad försummar en skyldighet enligt 9 § 3 mom., 11—13 § eller 15 § 1 mom. och försummelsen inte har rättats till inom en av Finansinspektionen angiven skälig tid, får Finansinspektionen förbjuda förmedlaren att fortsätta verksamheten tills försummelsen har rättats till.  
Finansinspektionen får förena förbudet med vite.  
Bestämmelser om Finansinspektionens rätt att meddela offentlig varning finns i lagen om Finansinspektionen. 
22 § Påföljder för en utländsk kreditförmedlares filial  
Om Finansinspektionen konstaterar att en utländsk kreditförmedlares filial i Finland inte iakttar bestämmelserna i 6 § 1 mom. 4 punkten eller 11—13 §, ska Finansinspektionen kräva att förmedlaren upphör med det förfarande som strider mot bestämmelserna. 
Om en utländsk kreditförmedlares filial i Finland inte vidtar de åtgärder som krävs, får Finansinspektionen påföra administrativa påföljder enligt 21 § 1 mom. eller enligt lagen om Finansinspektionen för att säkerställa att förmedlaren upphör med det förfarande som strider mot bestämmelserna. De behöriga myndigheterna i förmedlarens hemstat och Europeiska kommissionen ska i enlighet med artikel 34.2 i direktivet om bostadskrediter underrättas om de administrativa påföljder som det fattats beslut om. 
Om Finansinspektionen har grundad anledning att misstänka att en utländsk kreditförmedlares filial i Finland inte iakttar bestämmelserna för genomförande av de andra artiklar i direktivet om bostadskrediter än dem som nämns i andra stycket i artikel 34.2, ska Finansinspektionen underrätta den behöriga myndigheten i förmedlarens hemstat om detta. 
Om den behöriga myndigheten i förmedlarens hemstat inte vidtar behövliga åtgärder inom en månad från det att den fick meddelandet eller om förmedlaren trots de åtgärder som vidtagits fortsätter att handla på ett sätt som klart strider mot finländska konsumenters intressen eller hindrar marknaden att fungera på ett ändamålsenligt sätt i Finland, får Finansinspektionen, efter att först ha underrättat den behöriga myndigheten i hemstaten om saken, påföra de administrativa påföljder som avses i 2 mom. Europeiska kommissionen och Europeiska bankmyndigheten ska utan ogrundat dröjsmål underrättas om de administrativa påföljderna. Finansinspektionen får också föra ärendet till en banktillsynsmyndighet för behandling i enlighet med artikel 19 i Europaparlamentets och rådets förordning (EU) nr 1093/2010 om inrättande av en europeisk tillsynsmyndighet (Europeiska bankmyndigheten), om ändring av beslut nr 716/2009/EG och om upphävande av kommissionens beslut 2009/78/EG. 
23 § Påföljder för andra utländska kreditförmedlare 
Om Finansinspektionen har grundad anledning att misstänka att en utländsk kreditförmedlare som är verksam i Finland utan att ha filial inte följer bestämmelserna för genomförande av bestämmelserna i direktivet om bostadskrediter, ska Finansinspektionen underrätta den behöriga myndigheten i förmedlarens hemstat om detta. 
Om den behöriga myndigheten i den utländska kreditförmedlarens hemstat inte vidtar behövliga åtgärder inom en månad från det att den fick dessa uppgifter eller om förmedlaren trots de åtgärder som den behöriga myndigheten i hemstaten vidtagit fortsätter att handla på ett sätt som klart strider mot finländska konsumenters intressen eller hindrar marknaden att fungera på ett ändamålsenligt sätt i Finland, får Finansinspektionen, efter att först ha underrättat den behöriga myndigheten i förmedlarens hemstat om saken, påföra de administrativa påföljder som avses i 22 § 2 mom. Europeiska kommissionen och Europeiska bankmyndigheten ska utan ogrundat dröjsmål underrättas om de administrativa påföljderna. Finansinspektionen får också föra ärendet till en banktillsynsmyndighet för behandling i enlighet med artikel 19 i Europaparlamentets och rådets förordning (EU) nr 1093/2010 om inrättande av en europeisk tillsynsmyndighet (Europeiska bankmyndigheten), om ändring av beslut nr 716/2009/EG och om upphävande av kommissionens beslut 2009/78/EG. 
24 § Tillsynsbefogenheter 
Utöver vad som föreskrivs om Finansinspektionens tillsynsbefogenheter i lagen om Finansinspektionen, har Finansinspektionen i enlighet med bestämmelserna i 24 och 25 § i den lagen rätt att inspektera verksamheten i en filial som en finländsk kreditförmedlare har i en annan EES-stat. Dessutom får Finansinspektionen i enlighet med artikel 19 i Europaparlamentets och rådets förordning (EU) nr 1093/2010 om inrättande av en europeisk tillsynsmyndighet (Europeiska bankmyndigheten), om ändring av beslut nr 716/2009/EG och om upphävande av kommissionens beslut 2009/78/EG, föra en administrativ påföljd som påförts av en myndighet i en annan EES-stat och som gäller en finländsk kreditförmedlares filial i utlandet till en banktillsynsmyndighet för behandling. 
Finansinspektionen har, efter att på förhand ha underrättat den behöriga myndigheten i den utländska kreditförmedlarens hemstat om saken, rätt att av den utländska kreditförmedlaren få de uppgifter som behövs för att sköta tillsynsuppdraget eller de övriga uppgifter som föreskrivs i lag eller i direktivet om bostadskrediter. 
För att kunna sköta de uppgifter som avses i 2 mom. har Finansinspektionen dessutom, efter att på förhand ha underrättat den behöriga myndigheten i den utländska kreditförmedlarens hemstat om saken, rätt att inspektera verksamheten i den utländska kreditförmedlarens filial i Finland. 
När Finansinspektionen utövar rätt att få uppgifter och inspektionsrätt enligt 2 och 3 mom. tillämpas vad som i 3 kap. i lagen om Finansinspektionen föreskrivs om rätt att få uppgifter och inspektionsrätt för andra finansmarknadsaktörer samt vad som föreskrivs i 33 a § om rätten att förelägga vite och i 34 § om rätten att anlita utomstående sakkunniga i det kapitlet.  
25 § Rätt till skadestånd 
Kreditförmedlaren är skyldig att ersätta skada som hans eller hennes förfarande i strid med lag eller uppdragsavtalet orsakat en konsument eller någon annan vars rätt uppdraget eller kreditavtalet gäller. Kreditförmedlaren är dock fri från ansvar, om förmedlaren visar att han eller hon handlat med yrkesskicklighet och omsorg. 
En konsument eller någon annan vars rätt uppdraget eller kreditavtalet gäller har rätt att kräva ersättning för skada som förorsakats honom eller henne också av verkställande direktören, medlemmar i styrelsen eller jämförbara organ samt ansvariga bolagsmän i en sammanslutning som är kreditförmedlare, om skadan har berott på att dessa uppsåtligen eller av oaktsamhet har underlåtit att se till att det förbud som avses i 12 § iakttas i verksamheten.  
Avtalsvillkor som avviker från 1 eller 2 mom. till nackdel för konsumenten eller någon annan fysisk person som har rätt till skadestånd är utan verkan. 
På jämkning av skadestånd och på fördelning av skadeståndsansvaret mellan två eller flera skadeståndsskyldiga tillämpas vad som föreskrivs i 2 och 6 kap. i skadeståndslagen (412/1974). 
26 § Straffbestämmelser 
Den som uppsåtligen utan registrering förmedlar konsumentkrediter som har samband med bostadsegendom eller tillhandahåller rådgivningstjänster med avseende på sådana krediter ska, om inte strängare straff för gärningen föreskrivs någon annanstans i lag, för brott vid förmedling av konsumentkrediter som har samband med bostadsegendom dömas till böter eller fängelse i högst sex månader.  
Den som bryter mot ett förbud som har meddelats med stöd av 19 § och förenats med vite får inte dömas till straff för samma gärning, om vitet genom ett lagakraftvunnet beslut har dömts ut.  
27 § Sökande av ändring i Finansinspektionens beslut 
Bestämmelser om sökande av ändring i Finansinspektionens beslut finns i lagen om Finansinspektionen. 
28 § Ikraftträdande 
Denna lag träder i kraft den 20 . 
En registeranmälan får tas upp till behandling innan denna lag träder i kraft och den som gör anmälan får införas i registret över förmedlare av konsumentkrediter som har samband med bostadsegendom när denna lag träder i kraft. 
29 § Övergångsbestämmelser 
Den som när denna lag träder i kraft bedriver verksamhet som enligt denna lag förutsätter registrering får fortsätta med sin verksamhet i Finland utan registrering fram till den 21 mars 2017. 
Den som har börjat förmedla konsumentkrediter som har samband med bostadsegendom eller börjat tillhandahålla rådgivningstjänster med avseende på sådana krediter senast den 19 mars 2014, ska iaktta vad som i 3 § 3 mom. och 6 § 1 mom. 4 punkten föreskrivs om krav på kunskap och kompetens från och med den 21 mars 2017. 
 Slut på lagförslaget 

3. Lag om registrering av vissa kreditgivare och kreditförmedlare  

I enlighet med riksdagens beslut föreskrivs: 
1 § Tillämpningsområde 
Denna lag gäller näringsidkare som lämnar konsumentkrediter som omfattas av tillämpningsområdet för 7 eller 7 a kap. i konsumentskyddslagen (38/1978). Lagen gäller också näringsidkare som förmedlar krediter till konsumenter, om krediten lämnas av någon annan än en i 7 eller 7 a kap. i konsumentskyddslagen avsedd kreditgivare (person-till person-lån). 
Lagen gäller inte 
1) näringsidkare som Finansinspektionen utövar tillsyn över med stöd av 4 § i lagen om Finansinspektionen (878/2008), 
2) tillhandahållare av betaltjänster enligt 5 § 23 punkten i lagen om Finansinspektionen, 
3) pantlåneinrättningar, 
4) näringsidkare som lämnar konsumentkrediter endast för finansiering av köp av konsumtionsnyttigheter som de själva säljer, 
5) staten, kommunerna eller andra offentliga samfund, 
6) näringsidkare som är etablerade i en annan stat inom Europeiska ekonomiska samarbetsområdet och som tillfälligt erbjuder konsumentkrediter eller förmedlar person-till-person-lån i Finland. 
2 § Rätten att lämna konsumentkrediter och förmedla person-till-person-lån 
Andra näringsidkare än de som avses i 1 § 2 mom. får lämna konsumentkrediter endast om de är registrerade som kreditgivare enligt denna lag. Sådana näringsidkare får förmedla person-till-person-lån endast om de är registrerade som förmedlare av person-till-person-lån eller som kreditgivare enligt denna lag. 
3 § Register över kreditgivare och förmedlare av person-till-person-lån samt registeranmälan 
Regionförvaltningsverket i Södra Finland för ett register över kreditgivare och förmedlare av person-till-person-lån (register över kreditgivare och förmedlare av person-till-person-lån). 
Den som har för avsikt att tillhandahålla konsumentkrediter eller förmedla person-till-person-lån ska för anteckning i registret göra en anmälan till regionförvaltningsverket. I registeranmälan ska ingå 
1) de uppgifter som avses i 7 § 1 mom. 1 och 2 punkten, 
2) uppgift om huruvida anmälaren ansöker om att bli registrerad som kreditgivare eller som förmedlare av person-till-person-lån och, om det är fråga om registrering som kreditgivare, huruvida anmälaren avser att också lämna konsumentkrediter och som har samband med bostadsegendom och som omfattas av tillämpningsområdet för 7 a kap. i konsumentskyddslagen eller förmedla person-till-person-lån, 
3) en utredning över de personer som avses i 6 § 1 mom. och vars tillförlitlighet ska bedömas, om anmälaren är en juridisk person, 
4) en utredning över anmälarens utbildning och arbetserfarenhet eller, om anmälaren är en juridisk person, en utredning över den utbildning och arbetserfarenhet som de personer har som avses i 6 § 2 mom., 
5) uppgift om huruvida anmälaren har för avsikt att ta emot kundmedel och en utredning över hur anmälaren avser att sköta bevaringen och hanteringen av kundmedel. 
Anmälaren ska på begäran av regionförvaltningsverket lämna också andra uppgifter som behövs för att bedöma om förutsättningarna för registrering uppfylls. 
4 § Förutsättningar för registrering 
Regionförvaltningsverket ska registrera den som gör en registeranmälan som kreditgivare eller som förmedlare av person-till-person-lån, om 
1) anmälaren har rätt att utöva näring i Finland, 
2) anmälaren inte har försatts i konkurs och, om anmälaren är en fysisk person, har uppnått myndighetsålder och inte har fått sin handlingsbehörighet begränsad, 
3) anmälaren är tillförlitlig, 
4) anmälaren har sådan kännedom om kreditverksamhet som behövs med beaktande av arten och omfattningen av den kreditverksamhet eller den förmedling av person-till-person-lån som bedrivs. 
Regionförvaltningsverket får vägra registrering, om det med beaktande av omständigheterna är uppenbart att anmälaren har för avsikt att tillhandahålla konsumentkrediter eller förmedla person-till-person-lån.  
5 § Tillförlitlighet 
Den som gör anmälan anses inte tillförlitlig i den mening som avses i 4 § 1 mom. 3 punkten om han eller hon genom en lagakraftvunnen dom har dömts till fängelsestraff under de fem senaste åren före en bedömning eller till bötesstraff under de tre senaste åren före bedömningen för ett brott som kan anses visa att personen i fråga är uppenbart olämplig för att tillhandahålla konsumentkrediter, för att förmedla person-till-person-lån eller för att äga en sammanslutning som bedriver sådan verksamhet eller för att vara styrelsemedlem eller ersättare, verkställande direktör eller ställföreträdande verkställande direktör eller på annat sätt medlem av högsta ledningen i en sådan sammanslutning, eller om han eller hon annars genom sin tidigare verksamhet har visat sig uppenbart olämplig för en sådan uppgift. 
6 § En juridisk person som anmälare 
Om den som gör anmälan är en juridisk person, gäller tillförlitlighetskravet i 4 § 1 mom. 3 punkten verkställande direktören och dennes ställföreträdare, medlemmar och ersättare i styrelsen, förvaltningsrådet och jämförbara organ, ansvariga bolagsmän, andra som hör till den högsta ledningen och den som direkt eller indirekt innehar minst en tiondel av aktierna i ett aktiebolag eller den rösträtt som aktierna medför eller motsvarande ägande- eller bestämmanderätt, om det är fråga om en annan sammanslutning än ett aktiebolag. 
Om anmälaren är en juridisk person, gäller kravet i 4 § 1 mom. 4 punkten om kännedom om kreditverksamhet den högsta ledningen. Om anmälaren bedriver också annan affärsverksamhet än att tillhandahålla konsumentkrediter eller förmedla person-till person-lån, gäller kravet de personer som de facto svarar för kreditverksamheten eller förmedlingen av person-till person-lån. 
7 § Uppgifter som ska föras in i registret och anmälan om ändringar 
I registret över kreditgivare och förmedlare av person-till-person-lån antecknas 
1) en enskild näringsidkares fullständiga namn och personbeteckning eller, om sådan saknas, födelsetid samt firma, eventuell bifirma, företags- och organisationsnummer eller annan motsvarande beteckning och besöksadress till de verksamhetsställen där det bedrivs kreditverksamhet eller förmedling av person-till-person-lån, 
2) en juridisk persons firma, eventuella bifirma, företags- och organisationsnummer eller annan motsvarande beteckning och besöksadress till de verksamhetsställen där det bedrivs kreditverksamhet eller förmedling av person-till-person-lån, 
3) huruvida näringsidkaren är kreditgivare eller förmedlare av person-till-person-lån och, om det är fråga om en kreditgivare, huruvida denne lämnar också konsumentkrediter som har samband med bostadsegendom och som omfattas av tillämpningsområdet för 7 a kap. i konsumentskyddslagen eller förmedlar person-till-person-lån, 
4) fullständigt namn och personbeteckning eller, om sådana saknas, födelsetid för de personer vars tillförlitlighet har kontrollerats i samband med handläggningen av registeranmälan, 
5) fullständigt namn och personbeteckning eller, om sådana saknas, födelsetid för de personer vars kännedom om kreditverksamhet har kontrollerats i samband med handläggningen av registeranmälan, 
6) huruvida kreditgivaren eller förmedlaren har rätt att ta emot kundmedel, 
7) datum för registreringen, 
8) till kreditgivaren eller förmedlaren med stöd av 17 § 2 mom. meddelade varningar och sådana uppmaningar och förbud som förenats med vite, 
9) skälet till strykning ur registret och när denna har skett. 
I registret antecknas också uppgifter om dem som har meddelats ett förbud enligt 17 § 1 mom. att tillhandahålla konsumentkrediter eller förmedla person-till-person-lån utan registrering. Dessa uppgifter och uppgifter om sanktionerna enligt 1 mom. 8 punkten ska strykas ur registret fem år efter utgången av det år då förbudet eller någon annan sanktion påfördes. 
Kreditgivaren och förmedlaren ska utan dröjsmål anmäla ändringar i de införda uppgifterna till regionförvaltningsverket. När verksamheten upphör ska kreditgivaren och förmedlaren anmäla även detta till regionförvaltningsverket. 
8 § Utlämnande av uppgifter 
Trots bestämmelserna i 16 § 3 mom. i lagen om offentlighet i myndigheternas verksamhet (621/1999) får personuppgifter lämnas ut ur registret i form av utskrifter, göras allmänt tillgängliga i ett elektroniskt datanät eller lämnas ut på något annat sätt i elektronisk form. Personbeteckningar får dock lämnas ut med stöd av denna lag endast om uppgiften lämnas i form av en utskrift eller i teknisk lagringsform och mottagaren med stöd av 13 § i personuppgiftslagen (523/1999) eller med stöd av någon annan lag har rätt att behandla personbeteckningar. 
9 § Skyldigheter för ledningen hos en kreditgivare och en förmedlare av person-till-person-lån 
En kreditgivare och en förmedlare av person-till-person-lån eller, om kreditgivaren eller förmedlaren är en juridisk person, dess högsta ledning ska se till att god kreditgivningssed iakttas i verksamheten och att verksamheten också i övrigt bedrivs i enlighet med lag. De ska dessutom se till att de personer som deltar i verksamheten har tillräcklig yrkesskicklighet för uppgiften.  
Om kreditgivaren lämnar konsumentkrediter som omfattas av tillämpningsområdet för 7 a kap. i konsumentskyddslagen, ska kreditgivarens personal och personer som på annat sätt agerar för kreditgivarens räkning och deltar i lämnandet av krediter ha tillräcklig kunskap och kompetens i fråga om kreditverksamhet med beaktande av de krav som anges i bilaga III till Europaparlamentets och rådets direktiv 2014/17/EU om konsumentkreditavtal som avser bostadsfastighet och om ändring av direktiven 2008/48/EG och 2013/36/EU och förordning (EU) nr 1093/2010. Dessutom ska de personer under vars direkta ledning och tillsyn ovan nämnda personer agerar ha motsvarande yrkesskicklighet. Närmare bestämmelser om den yrkesskicklighet som fordras utfärdas genom förordning av statsrådet.  
Dessutom ska en kreditgivare som lämnar konsumentkrediter enligt 2 mom. eller, om kreditgivaren är en juridisk person, dess högsta ledning säkerställa att en värderare av bostadsegendom som avses i 7 a kap. 3 § 1 mom. 1 punkten i konsumentskyddslagen har tillräcklig yrkesskicklighet för värderingsuppdraget. 
10 § Rätt att ta emot kundmedel 
Regionförvaltningsverket ska bevilja den som gör anmälan rätt att ta emot kundmedel, om anmälaren har lämnat regionförvaltningsverket en utredning om bevaring och hantering av kundmedel enligt 11 § 1 mom. och anmälaren inte ska anses uppenbart olämplig att ta emot kundmedel. 
Regionförvaltningsverket ska när den bedömer olämplighet beakta anmälarens ekonomiska situation och huruvida denne har fullgjort sina skyldigheter i fråga om skatter, lagstadgade pensionsförsäkrings-, olycksfallsförsäkrings- eller arbetslöshetsförsäkringsavgifter eller avgifter som tullen tar ut. 
Om anmälaren är en juridisk person, ska en bedömning av olämplighet göras förutom om den juridiska personen också om verkställande direktören och dennes ställföreträdare, medlemmar och ersättare i styrelsen, förvaltningsrådet och jämförbara organ, ansvariga bolagsmän. andra som hör till den högsta ledningen och den som direkt eller indirekt innehar minst en tiondel av aktierna i ett aktiebolag eller den rösträtt som aktierna medför eller motsvarande ägande- eller bestämmanderätt, om det är fråga om en annan sammanslutning än ett aktiebolag.  
De omständigheter som nämns i 2 mom. ska för tiden tre år före anmälan utredas också i fråga om anmälaren och, om denne är en juridisk person, i fråga om företag eller sammanslutningar som ska registreras enligt 3 § i företags- och organisationsdatalagen (244/2001) och som har direkt eller indirekt koppling till de personer som nämns i 3 mom. 
11 § Bevaring och hantering av kundmedel 
En kreditgivare och en förmedlare av person-till-person-lån ska på ett tillförlitligt sätt organisera bevaringen och hanteringen av de kundmedel som anförtrotts dem. En sådan aktör ska särskilt se till att  
1) kundmedlen hålls åtskilda från aktörens egna medel, 
2) kundmedlen redovisas så att kundmedlen för varje kund är tillräckligt åtskilda från andra kunders medel, 
3) kundmedlen sätts in på ett bankkonto i en inlåningsbank med koncession i Finland eller i någon annan EES-stat. 
En kund hos en kreditgivare och en förmedlare av person-till-person-lån har rätt att kräva ersättning för skada som förorsakats honom eller henne också av verkställande direktören, medlemmar i styrelsen eller ett jämförbart organ och ansvariga bolagsmän i en sammanslutning som är kreditgivare eller förmedlare av person-till-person-lån, om skadan har berott på att dessa uppsåtligen eller av oaktsamhet har underlåtit att se till att bevaringen och hanteringen av kundmedel organiseras på det sätt som avses i 1 mom. På jämkning av skadestånd och på fördelning av skadeståndsansvaret mellan två eller flera skadeståndsskyldiga tillämpas vad som föreskrivs i 2 och 6 kap. i skadeståndslagen (412/1974).  
12 § Bevaring av handlingar och uppgifter som gäller kreditgivning och förmedling av person-till-person-lån 
Om inte bestämmelser om en längre bevaringstid finns någon annanstans i lag, ska kreditgivaren och förmedlaren av person-till-person-lån bevara handlingar och uppgifter som gäller kreditgivningen och förmedlingen av person-till-person-lån i fem år från det att krediten i sin helhet har förfallit till betalning. Om det uppkommer oenighet om en kredit eller förmedling av person-till-person-lån ska handlingarna och uppgifterna dock bevaras till dess parterna har kommit överens om saken eller ärendet har avgjorts.  
13 § Tystnadsplikt 
Den som vid lämnande av konsumentkrediter eller vid förmedling av person-till-person-lån har fått veta något om en konsuments eller någon annans ekonomiska ställning eller något som berör personliga förhållanden eller en affärs- eller yrkeshemlighet får inte röja detta för utomstående, om inte den till vars förmån tystnadsplikten gäller ger sitt samtycke till att uppgifterna röjs eller om inte något annat föreskrivs i lag. 
14 § Tillsyn 
Tillsyn över efterlevnaden av denna lag utövas av Regionförvaltningsverket i Södra Finland. 
15 § Tillsynsmyndighetens rätt att få uppgifter 
Trots sekretessbestämmelserna ska en kreditgivare och en förmedlare av person-till-person-lån på begäran ge regionförvaltningsverket de handlingar och uppgifter som behövs för övervakningen. 
Trots sekretessbestämmelserna har regionförvaltningsverket dessutom rätt att för en specificerad tillsynsåtgärd få handlingar och uppgifter också av någon annan enskild sammanslutning eller person än kreditgivaren. Handlingarna och uppgifterna ska vara nödvändiga med tanke på tillsynen för att utreda huruvida tillhandahållandet eller förmedlingen av krediter omfattas av tillämpningsområdet för denna lag eller vem som de facto tillhandahåller eller förmedlar krediterna. 
Regionförvaltningsverket har dock inte rätt att av en advokat som avses i lagen om advokater (496/1958) eller av dennes biträde få handlingar och uppgifter om advokatens klienter, och inte heller av någon annan få handlingar och uppgifter som erhållits i samband med uppdrag som rättegångsombud eller rättegångsbiträde. Som sådana uppdrag räknas utöver egentliga rättegångsrelaterade uppdrag juridisk rådgivning om klienters rättsliga ställning vid förundersökning till följd av brott eller vid annan behandling av ärenden före rättegång eller juridisk rådgivning för inledande eller undvikande av rättegång. 
16 § Rätt att få uppgifter ur vissa myndighetsregister 
Regionförvaltningsverket har rätt att ur det bötesregister som avses i 46 § i lagen om verkställighet av böter (672/2002) få de uppgifter som behövs för att utreda om en person som avses i 4 § 1 mom. 3 punkten och 6 § 1 mom. i denna lag är tillförlitlig. Bestämmelser om rätten att få uppgifter ur straffregistret finns i straffregisterlagen (770/1993). 
Regionförvaltningsverket har trots sekretessbestämmelserna rätt att avgiftsfritt av myndigheter och av dem som sköter offentliga uppdrag få de uppgifter som behövs för att sköta den uppgift som avses i 10 §. Uppgifterna kan överlämnas till regionförvaltningsverket också genom teknisk anslutning eller på något annat elektroniskt sätt. 
17 § Tvångsmedel 
Regionförvaltningsverket ska förbjuda tillhandahållande av konsumentkrediter och förmedling av person-till-person-lån som sker i strid med denna lag utan registrering. Regionförvaltningsverket ska också förbjuda mottagande av kundmedel, om sådana tas emot utan att rätt enligt 10 § har beviljats eller om kreditgivaren eller förmedlaren av person-till-person-lån på grund av ändrade förhållanden har blivit uppenbart olämplig att ta emot kundmedel. Om det finns särskilda skäl, får förbudet också meddelas så att det gäller en anställd hos den som bedriver sådan verksamhet eller någon annan som agerar för dennes räkning. När regionförvaltningsverket meddelar ett förbud mot mottagande av kundmedel får verket i syfte att tillvarata kundernas intressen utfärda föreskrifter om vilka åtgärder kreditgivaren eller förmedlaren ska vidta för att avsluta verksamheten. 
Om en kreditgivare eller en förmedlare av person-till-person-lån försummar en skyldighet som anges i 7 § 3 mom., 11 § 1 mom. eller 15 § 1 mom., får regionförvaltningsverket uppmana kreditgivaren eller förmedlaren att fullgöra sin skyldighet inom utsatt tid. Om kreditgivaren eller förmedlaren av person-till-person-lån försummar en skyldighet som anges i 9 eller 12 §, får regionförvaltningsverket ge kreditgivaren eller förmedlaren en varning. Om försummelserna är allvarliga eller om de upprepas trots uppmaning eller varning, får regionförvaltningsverket förbjuda kreditgivarens eller förmedlarens verksamhet helt eller delvis för viss tid, dock för högst sex månader. Kreditgivaren eller förmedlaren kan förbjudas att bedriva verksamhet för viss tid också om kreditgivaren eller förmedlaren bryter mot ett förbud att ta emot kundmedel som regionförvaltningsverket har meddelat i enlighet med 1 mom.  
Om en aktör som avses i 15 § 2 mom. försummar en skyldighet som följer av det momentet, får regionförvaltningsverket uppmana aktören att fullgöra sin skyldighet inom utsatt tid. 
Regionförvaltningsverket får förena ett förbud eller en uppmaning som avses i denna paragraf med vite. Ett förbud som avses i 1 mom. ska förenas med vite, om det inte av särskilda skäl är onödigt eller regionförvaltningsverket anser att förfarandet ska bedömas i enlighet med 19 § 1 eller 2 mom. Bestämmelser om vite finns i övrigt i viteslagen (1113/1990). 
18 § Avregistrering 
Regionförvaltningsverket ska avföra en kreditgivare eller en förmedlare av person-till-person-lån ur registret över kreditgivare och förmedlare av person-till-person-lån, om 
1) kreditgivaren eller förmedlaren har upphört med sin verksamhet, 
2) förutsättningarna för registrering i 4 § 1 mom. 1—3 punkten inte längre uppfylls, 
3) kreditgivaren eller förmedlaren tillhandahåller konsumentkrediter eller förmedlar person-till-person-lån som ombud för någon annan, 
4) förutsättningen för registrering i 4 § 1 mom. 4 punkten inte längre uppfylls, och kreditgivaren eller förmedlaren inte inom den tidsfrist som regionförvaltningsverket har angett i sin uppmaning har anmält nya personer som uppfyller kraven på kännedom om kreditverksamhet,  
5) det i den verksamhet som kreditgivaren, förmedlaren eller dess högsta ledning bedriver förekommer allvarliga eller upprepade försummelser och kreditgivaren eller förmedlaren redan tidigare har meddelats ett verksamhetsförbud för viss tid. 
I samband med avregistreringen får regionförvaltningsverket i syfte att tillvarata kundernas intressen utfärda föreskrifter om vilka åtgärder kreditgivaren eller förmedlaren ska vidta för att avsluta verksamheten.  
19 § Straffbestämmelser 
Den som uppsåtligen utan registrering tillhandahåller konsumentkrediter ska, om inte strängare straff för gärningen föreskrivs någon annanstans i lag, för kreditgivarbrott dömas till böter eller fängelse i högst sex månader. 
Den som uppsåtligen utan registrering förmedlar person-till-person-lån ska, om inte strängare straff för gärningen föreskrivs någon annanstans i lag, för brott vid förmedling av person-till-person-lån dömas till böter eller fängelse i högst sex månader.  
Den som bryter mot ett förbud som har meddelats med stöd av 17 § och förenats med vite får inte dömas till straff för samma gärning, om vitet genom ett lagakraftvunnet beslut har dömts ut. 
20 § Sökande av ändring i regionförvaltningsverkets beslut  
Ett beslut som regionförvaltningsverket fattat med stöd av 17 och 18 § får överklagas genom besvär hos förvaltningsdomstolen på det sätt som anges i förvaltningsprocesslagen (586/1996). 
I andra beslut som regionförvaltningsverket meddelat får omprövning begäras på det sätt som anges i förvaltningslagen (434/2003). Beslut som meddelas med anledning av en begäran om omprövning får överklagas genom besvär hos förvaltningsdomstolen på det sätt som anges i förvaltningsprocesslagen. 
Förvaltningsdomstolens beslut i ett ärende som gäller förbud enligt 17 § eller avregistrering enligt 18 § får överklagas genom besvär på det sätt som anges i förvaltningsprocesslagen. Över andra beslut av förvaltningsdomstolen får besvär anföras endast om högsta förvaltningsdomstolen beviljar besvärstillstånd. 
Ett i denna lag avsett beslut om avregistrering och om verksamhetsförbud för viss tid ska iakttas även om det överklagas, om inte besvärsmyndigheten bestämmer något annat. 
21 § Ikraftträdande 
Denna lag träder i kraft den 20 .  
Genom denna lag upphävs lagen om registrering av vissa kreditgivare (747/2010). 
En registeranmälan får tas upp till behandling innan denna lag träder i kraft och den som har gjort anmälan får införas i registret över kreditgivare och förmedlare av person-till-person-lån när denna lag träder i kraft. 
22 § Övergångsbestämmelser 
Uppgifter om en sådan kreditgivare som när denna lag träder i kraft är införd i kreditgivarregistret enligt lagen om registrering av vissa kreditgivare överförs till ett register enligt denna lag. Om en kreditgivare lämnar sådana konsumentkrediter som har samband med bostadsegendom och som omfattas av tillämpningsområdet för 7 a kap. i konsumentskyddslagen eller förmedlar person-till-person-lån, ska kreditgivaren underrätta regionförvaltningsverket om detta inom sex månader från ikraftträdandet av denna lag. En kreditgivare som förmedlar person-till person-lån ska dessutom inom samma tid lämna in uppgifter och en eventuell utredning enligt 3 § 1 mom. 5 punkten till regionförvaltningsverket. 
Den som när denna lag träder i kraft bedriver sådan förmedling av person-till-person-lån som enligt denna lag förutsätter registrering får fortsätta med sin verksamhet till dess beslut om införande i registret har fattats, om den registeranmälan som avses i 3 § 2 mom. görs inom sex månader från ikraftträdandet. 
Den som har börjat lämna konsumentkrediter som har samband med bostadsegendom senast den 19 mars 2014, ska iaktta bestämmelserna i 9 § 2 mom. om kännedom om kreditverksamhet från och med den 21 mars 2017. 
 Slut på lagförslaget 

4. Lag om ändring av kreditinstitutslagen 

I enlighet med riksdagens beslut 
ändras i kreditinstitutslagen (610/2014) 15 kap. 11 § 1 mom., 18 kap. 6 § 1 mom. och 20 kap. 1 § 2 mom. 3 och 5 punkten, samt  
fogas till 8 kap. 3 § ett nytt 3 mom. och till 15 kap. en ny 12 a § som följer: 
8 kap. 
Ersättningar 
3 § Allmänna krav på ersättningssystem 
Kläm 
Bestämmelser om ersättningssystem finns dessutom i 7 kap. 13 § 4 mom. och 7 a kap. 10 § 2 och 3 mom. i konsumentskyddslagen (38/1978). 
15 kap. 
Förfaranden vid kundtransaktioner 
11 § Maximal belåningsgrad 
Ett kreditinstitut får lämna konsumentkrediter där andelar i en sammanslutning som ger rätt att besitta en bostadslägenhet eller där en bostadsfastighet eller nyttjanderätten till en fastighet lämnas som säkerhet för krediten, upp till den maximala belåningsgraden enligt denna paragraf, om krediten är avsedd att användas för  
1) förvärv av andelar i en sammanslutning som ger rätt att besitta en bostadslägenhet, förvärv av en bostadsfastighet eller förvärv av ett sådant bostadshus som är beläget på ett område som besitts med stöd av nyttjanderätt, eller 
2) renovering av en bostadslägenhet, en bostadsfastighet eller ett bostadshus. 
 En icke ändrad del av lagtexten har utelämnats 
12 a § Yrkeskrav 
Ett kreditinstituts personal och personer som på annat sätt agerar för kreditinstitutets räkning och som deltar i lämnande av krediter som omfattas av tillämpningsområdet för 7 a kap. i konsumentskyddslagen ska ha tillräcklig kunskap och kompetens i fråga om kreditverksamhet med beaktande av de krav som anges i bilaga III till Europaparlamentets och rådets direktiv 2014/17/EU om konsumentkreditavtal som avser bostadsfastighet och om ändring av direktiven 2008/48/EG och 2013/36/EU och förordning (EU) nr 1093/2010 (direktivet om bostadskrediter). Även de personer under vars direkta ledning och tillsyn ovan avsedda personer agerar ska ha motsvarande kunskap och kompetens. Närmare bestämmelser om vilken kunskap och kompetens som fordras utfärdas genom förordning av statsrådet.  
Om bostadsegendom som avses i 7 a kap. 3 § 1 mom. 1 punkten i konsumentskyddslagen värderas i samband med lämnande av en konsumentkredit som omfattas av tillämpningsområdet för det kapitlet, ska värderaren ha tillräcklig yrkesskicklighet för värderingsuppdraget. 
18 kap. 
Särskilda bestämmelser om utländska kreditinstitut 
6 § Marknadsföring och avtalsvillkor samt andra förfaranden 
På utländska kreditinstituts filialer och på utländska kreditinstitut som inom ramen för friheten att tillhandahålla tjänster tillhandahåller i 5 kap. 1 § avsedda tjänster i Finland ska, om inte något annat följer av lag, tillämpas 1 kap. 9 § samt 15 kap. 1—3, 5—12 och 12 a § 1 mom. På ovan avsedda kreditinstitut som tillhandahåller tjänster inom ramen för friheten att tillhandahålla tjänster, tillämpas dock inte punkt 1 led a, d, och g—i i bilaga III till direktivet om bostadskrediter. 
Kläm 
20 kap. 
Administrativa påföljder 
1 § Påföljdsavgift 
Kläm 
Bestämmelser och beslut som avses i 40 § 1 mom. i lagen om Finansinspektionen är, utöver vad som föreskrivs i 1 mom., dessutom 
 En icke ändrad del av lagtexten har utelämnats 
3) bestämmelserna om förvaltnings- och styrsystem i 7 kap. 1–5 § och 6 § 1 mom., bestämmelserna om ersättningar i 8 kap. 3–14 § och i konsumentskyddslagens 7 kap., 13 § 4 mom. och 7 a kap. 10 § 2 och 3 mom. samt bestämmelserna om riskhantering i 9 kap. 2–21 §,  
 En icke ändrad del av lagtexten har utelämnats 
5) bestämmelserna om yrkeskrav i 15 kap. 12 a § och bestämmelsen om kundkontroll i 15 kap. 18 §, 
 En icke ändrad del av lagtexten har utelämnats 
 Paragraf eller bestämmelse om ikraftträdande börjar 
Denna lag träder i kraft den 20 .  
Den som har börjat lämna konsumentkrediter som omfattas av tillämpningsområdet för 7 a kap. i konsumentskyddslagen senast den 19 mars 2014, ska iaktta bestämmelserna i 15 kap. 12 a § 1 mom. om kännedom om kreditverksamhet från och med den 21 mars 2017. 
 Slut på lagförslaget 

5. Lag om ändring av 5 och 45 § i lagen om Finansinspektionen 

I enlighet med riksdagens beslut 
ändras i lagen om Finansinspektionen (878/2008) 5 § 27 punkten och 45 §, sådana de lyder, 5 § 27 punkten i lag 198/2015 och 45 § i lag 752/2012, och 
fogas till 5 §, sådan den lyder i lagarna 752/2012, 902/2012, 254/2013, 170/2014 och 198/2015, en ny 28 punkt som följer: 
5 § Andra finansmarknadsaktörer 
Med andra finansmarknadsaktörer avses i denna lag 
 En icke ändrad del av lagtexten har utelämnats 
27) registeransvariga som avses i 4 f § i lagen om statens pensionsfond och i 165 c § i lagen om kommunala pensioner, 
28) i lagen om förmedlare av konsumentkrediter som har samband med bostadsegendom ( / ) avsedda finländska kreditförmedlare och filialer som utländska kreditförmedlare har i Finland.  
45 §  Tillämpningsområdet för bestämmelserna om tillsyn över kundskyddet 
Finansinspektionen ska övervaka att tillsynsobjekten, förmedlare av konsumentkrediter som har samband med bostadsegendom och försäkringsförmedlare iakttar de bestämmelser som är tillämpliga på dem när det gäller marknadsföring och användning av avtalsvillkor och när det gäller förfaranden i kundförhållanden som från kundens synpunkt strider mot god sed eller som annars är otillbörliga. Bestämmelser om tillsynen över efterlevnaden av bestämmelserna om marknadsföring av finansiella instrument finns dessutom i värdepappersmarknadslagen, i lagen om investeringstjänster och i annan lag. 
Vad som föreskrivs i 1 mom. tillämpas dessutom på utländska filialer, andra utländska tillsynsobjekt som tillhandahåller tjänster i Finland utan att etablera filial, utländska förmedlare av konsumentkrediter som har samband med bostadsegendom och utländska försäkringsförmedlare, till den del som Finansinspektionen är den myndighet som är behörig att övervaka efterlevnaden av de i 1 mom. avsedda bestämmelser som är tillämpliga på dessa. 
 Paragraf eller bestämmelse om ikraftträdande börjar 
Denna lag träder i kraft den 20 . 
 Slut på lagförslaget 

6. Lag om ändring av 1 och 6 § i lagen om Finansinspektionens tillsynsavgift 

I enlighet med riksdagens beslut  
ändras i lagen om Finansinspektionens tillsynsavgift (879/2008) 1 § 1 mom. 19 punkten och 6 § 1 mom., sådana de lyder i lag 644/2014, och  
fogas till 1 § 1 mom. en ny 20 punkt som följer: 
1 § Avgiftsskyldiga 
Skyldiga att betala tillsynsavgift till Finansinspektionen är 
 En icke ändrad del av lagtexten har utelämnats 
19) verksamhetsenheter som avses i 5 § 26 punkten i lagen om Finansinspektionen, 
20) den som är registrerad enligt 6 § i lagen om förmedlare av konsumentkrediter som har samband med bostadsegendom ( / ) och en sådan förmedlare av konsumentkrediter som har samband med bostadsegendom som är registrerad i en annan stat inom Europeiska ekonomiska samarbetsområdet än Finland och har filial i Finland. 
 En icke ändrad del av lagtexten har utelämnats 
6 §  Grundavgift för övriga avgiftsskyldiga 
Grundavgiften i euro för andra avgiftsskyldiga än de som avses i 4 § och de avgiftsskyldiga bestäms som följer: 
Avgiftsskyldiga 
Grundavgift i euro 
värdepapperscentraler enligt lagen om värdeandelssystemet och om clearingverksamhet 
260 000 
insättningsgarantifonden enligt kreditinstitutslagen 
12 000 
säkerhetsfonden enligt kreditinstitutslagen 
2 000 
juridiska personer som avses i 7 och 7 a § i lagen om betalningsinstitut 
1 000 
fysiska personer som avses i 7 och 7 a § i lagen om betalningsinstitut 
200 
ersättningsfonden för investerarskydd enligt lagen om investeringstjänster 
3 000 
enligt lagen om förvaltare av alternativa investeringsfonder registreringsskyldiga AIF-förvaltare som inte är auktoriserade som fondbolag 
1 000 
den som bedriver verksamhet med stöd av ett undantag enligt 10 kap. 2 § 3 mom. i lagen om förvaltare av alternativa investeringsfonder 
2 000 
förvaringsinstitut enligt lagen om placeringsfonder 
3 000 
förvaringsinstitut enligt lagen om förvaltare av alternativa investeringsfonder 
3 000 
företag som är förvaringsinstitut enligt lagen om placeringsfonder och lagen om förvaltare av alternativa investeringsfonder 
5 000 
särskilda förvaringsinstitut enligt lagen om förvaltare av alternativa investeringsfonder 
2 000 
centralinstitutet för sammanslutningen av inlåningsbanker enligt lagen om en sammanslutning av inlåningsbanker (599/2010) 
6 000 
kreditinstituts och försäkringsbolags holdingföretag samt konglomerats holdingsammanslutning enligt lagen om tillsyn över finans- och försäkringskonglomerat (699/2004) 
10 000 
börsers, värdepapperscentralers och clearingorganisationers holdingföretag 
10 000 
värdepappersföretags och försäkringsföreningars holdingföretag 
1 000 
försäkringsmäklare enligt lagen om försäkringsförmedling 
1 000 Grundavgiften höjs med 180 euro för varje registrerad försäkringsmäklare som är anställd hos ett försäkringsmäklarföretag eller hos en enskild näringsidkare vid utgången av året före det då tillsynsavgiften bestäms. 
kontoförvaltare enligt lagen om värdeandelssystemet och om clearingverksamhet 
6 000 
centrala motparter enligt lagen om värdeandelssystemet och om clearingverksamhet 
150 000 
clearingmedlemmar enligt lagen om värdeandelssystemet och om clearingverksamhet 
12 000 
clearingfonder enligt 3 kap. 3 § 4 mom. i lagen om värdeandelssystemet och om clearingverksamhet samt registreringsfonder enligt 6 kap. 9 § i den lagen 
2 000 
emittenter av aktier som i Finland är föremål för handel på en reglerad marknad enligt lagen om handel med finansiella instrument 
15 500 Grundavgiften höjs med 16 000 euro om det finns en likvid marknad för aktierna enligt 5 kap. 2 § i lagen om handel med finansiella instrument.  
finländska bolag vars emitterade aktier på ansökan har tagits upp till handel på en reglerad marknad enligt lagen om handel med finansiella instrument enbart i någon annan stat inom Europeiska ekonomiska samarbetsområdet än Finland 
12 500 
emittenter av aktier som i Finland är föremål för handel på en reglerad marknad enligt lagen om handel med finansiella instrument, när det är fråga om en avgiftsskyldig enligt 4 § i denna lag eller när emittenten inte har hemort i Finland 
10 500 Grundavgiften höjs med 11 000 euro om det finns en likvid marknad för aktierna enligt 5 kap. 2 § i lagen om handel med finansiella instrument. 
emittenter av andra värdepapper än aktier, när värdepapperen i Finland är föremål för handel på en reglerad marknad enligt lagen om handel med finansiella instrument 
3 000 
finländska bolag vars emitterade värdepapper av annat slag än aktier på ansökan har tagits upp till handel på en reglerad marknad enligt lagen om handel med finansiella instrument enbart i någon annan stat inom Europeiska ekonomiska samarbetsområdet än Finland 
3 000 
emittenter av aktier som på ansökan är föremål för handel i Finland på en multilateral handelsplattform enligt lagen om handel med finansiella instrument 
4 000 
emittenter av värdepapper av annat slag än aktier som på ansökan är föremål för handel i Finland på en multilateral handelsplattform enligt lagen om handel med finansiella instrument 
1 000 
finländska kreditförmedlare som är registrerade i enlighet med 6 § i lagen om förmedlare av konsumentkrediter som har samband med bostadsegendom och som inte är ombud för någon kreditgivare 
1 200 
Pensionsskyddscentralen 
10 000 
trafikförsäkringsnämnden och patientskadenämnden 
1 000 
verksamhetsenheter som avses i 5 § 26 punkten i lagen om Finansinspektionen 18 000  
filialer till utländska EES-försäkringsbolag enligt lagen om utländska försäkringsbolag (398/1995) 
1 000 
sådana utländska EES-tilläggspensionsanstalter enligt lagen om pensionsstiftelser och lagen om försäkringskassor som har filial i Finland 
1 000 
tredjeländers kreditinstituts representationer 
1 000 
sådana försäkringsförmedlare enligt lagen om försäkringsförmedling som är registrerade i någon annan EES-stat än Finland och har filial i Finland 
300 
finansiella motparter enligt artikel 2.8 i EMIR-förordningen, icke-finansiella motparter enligt artikel 2.9 och pensionssystem enligt artikel 2.10 i den förordningen, vilkas hemstat är Finland 
10 000 
utländska kreditförmedlare som avses i 2 § 1 mom. 6 punkten i lagen om förmedlare av konsumentkrediter som har samband med bostadsegendom och som har filial i Finland 
400 
Kläm 
 Paragraf eller bestämmelse om ikraftträdande börjar 
Denna lag träder i kraft den 20 . 
 Slut på lagförslaget 

7. Lag om ändring av lagen om förhindrande och utredning av penningtvätt och av finansiering av terrorism 

I enlighet med riksdagens beslut  
ändras i lagen om förhindrande och utredning av penningtvätt och av finansiering av terrorism (503/2008) 2 § 1 mom. 24 punkten och 31 § 1 mom. 1 och 6 punkten, sådana de lyder, 2 § 1 mom. 24 punkten i lag 178/2014, 31 § 1 mom. 1 punkten i lag 1368/2010 och 6 punkten i lag 303/2010, samt 
fogas till 2 § 1 mom., sådant det lyder i lagarna 303/2010, 1368/2010, 907/2011, 1497/2011, 772/2012, 1185/2013, 178/2014, 638/2014 och 1151/2015, nya 25 och 26 punkter som följer: 
2 § Lagens tillämpningsområde 
Denna lag tillämpas på 
 En icke ändrad del av lagtexten har utelämnats 
24) advokater som avses i lagen om advokater (496/1958), dem som biträder advokaterna och andra som affärs- eller yrkesmässigt tillhandahåller juridiska tjänster, när det är fråga om att handla i en klients namn eller för en klients räkning vid affärstransaktioner i anknytning till
a) köp, försäljning, genomförande eller planering av fastigheter eller affärsenheter,
b) förvaltning av klientens pengar, värdepapper eller andra tillgångar,
c) öppnande eller förvaltning av bank-, spar- eller värdeandelskonton,
d) organisering av de medel som behövs för bildande eller ledning av bolag eller för förvaltning av företag, eller
e) bildande eller ledning av stiftelser, bolag eller motsvarande sammanslutningar eller ansvar för deras verksamhet,
 
25) i lagen om förmedlare av konsumentkrediter som har samband med bostadsegendom ( / ) avsedda finländska kreditförmedlare och filialer som utländska kreditförmedlare har i Finland, 
26) näringsidkare som omfattas av tillämpningsområdet för lagen om registrering av vissa kreditgivare och kreditförmedlare ( / ) när näringsidkaren förmedlar person-till-person-lån. 
31 § Tillsyn 
Tillsyn över efterlevnaden av denna lag och de bestämmelser som utfärdats med stöd av den utövas av 
1) Finansinspektionen när det gäller kreditinstitut och finansiella institut som avses i 2 § 1 punkten och rapporteringsskyldiga som avses i 4–8, 10–13, 20, 20 a och 25 punkten i den paragrafen, 
 En icke ändrad del av lagtexten har utelämnats 
6) regionförvaltningsverket när det gäller rapporteringsskyldiga som avses i 2 § 9, 23 och 26 punkten,  
 En icke ändrad del av lagtexten har utelämnats 
 Paragraf eller bestämmelse om ikraftträdande börjar 
Denna lag träder i kraft den 20 . 
 Slut på lagförslaget 

8. Lag om ändring av 6 § i lagen om Enheten för utredning av grå ekonomi 

I enlighet med riksdagens beslut 
ändras i lagen om Enheten för utredning av grå ekonomi (1207/2010) 6 § 1 mom. 16 punkten, sådan den lyder i lag 308/2016, och 
fogas till 6 § 1 mom., sådant det lyder i lag 308/2016, en ny 17 punkt som följer: 
6 § Syftet med fullgöranderapporter 
Fullgöranderapporter utarbetas till stöd för 
 En icke ändrad del av lagtexten har utelämnats 
16) tillsynen enligt 177 § 1 mom. och 179 § i lagen om olycksfall i arbetet och om yrkessjukdomar (459/2015) över de skyldigheter som gäller försäkring, 
17) den uppgift som föreskrivs i 10 § i lagen om registrering av vissa kreditgivare och kreditförmedlare ( / ). 
 En icke ändrad del av lagtexten har utelämnats 
 Paragraf eller bestämmelse om ikraftträdande börjar 
Denna lag träder i kraft den 20 . 
 Slut på lagförslaget 
Helsingfors den 19 maj 2016  
Statsminister Juha Sipilä 
Justitie- och arbetsminister Jari Lindström 
Förordningsutkast

Statsrådets förordning om ändring av statsrådets förordning om den information som ska lämnas till en konsument om ett kreditavtal 

I enlighet med statsrådets beslut 
upphävs i statsrådets förordning om den information som ska lämnas till en konsument om ett kreditavtal (789/2010) 5 § 2 mom., 
ändras 5 § 1 mom. 17 punkten,  
fogas till förordningen en ny bilaga 3, en ny 2 a och 5 a § samt till 4 § ett nytt 3 mom. som följer: 
2 a § Information som ska lämnas innan ett bostadskreditavtal ingås 
Kreditgivaren och kreditförmedlaren ska utan ogrundat dröjsmål efter det att konsumenten har informerat om sina förväntningar och behov i anslutning till krediten samt om sina ekonomiska förhållanden och i god tid innan ett bostadskreditavtal ingås, ge konsumenten den information som avses i del A i bilaga 3. Övrig information som eventuellt ska ges konsumenten ska ges i ett separat dokument. 
Den information som ingår i del A i den bilaga som nämns i 1 mom. ska ges i enlighet med ifyllnadsanvisningarna i del B. 
4 § Lämnande av förhandsinformation per telefon om vissa typer av kredit 
Kläm 
När en konsument erbjuds en bostadskredit per telefon ska åtminstone de uppgifter som avses i punkterna 3–6 i bilaga 3 ges om den kredit som erbjuds för att villkoren enligt 6 a kap. 10 § 2 mom. 2 punkten i konsumentskyddslagen ska uppfyllas. 
5 § Information som ska finnas i ett konsumentkreditavtal 
Följande information ska lämnas i ett konsumentkreditavtal: 
 En icke ändrad del av lagtexten har utelämnats 
17) upplysning om ångerrätten,  
 En icke ändrad del av lagtexten har utelämnats 
5 a § Information som ska finnas i ett bostadskreditavtal 
Följande information ska lämnas i ett bostadskreditavtal: 
1) parternas namn och besöksadresser och motsvarande uppgifter om en eventuell kreditförmedlare, 
2) typ av kredit, 
3) kreditbeloppet eller kreditgränsen och de villkor som gäller för att konsumenten ska få lyfta krediten, 
4) kreditavtalets löptid, 
5) räntan, grunderna för räntesättningen och övriga villkor som gäller räntan, 
6) det sammanlagda belopp som ska betalas av konsumenten, den effektiva räntan och alla de antaganden utifrån vilka denna räntesats har beräknats vid tidpunkten för ingåendet av kreditavtalet, 
7) avbetalningarnas storlek, antal och betalningsintervall, 
8) avgifter till följd av kreditavtalet samt på vilka villkor dessa avgifter får ändras, 
9) om en förutsättning för att krediten beviljas enligt marknadsförda villkor är att konsumenten ingår ett avtal om en försäkring eller en kompletterande tjänst, en upplysning om denna förutsättning och eventuella säkerheter som kommer att krävas, 
10) upplysning om ångerrätten, 
11) ångerfristen, upplysning om konsumentens skyldighet att återlämna de medel som han eller hon fått med stöd av kreditavtalet och att betala ränta för den tid som de stått till konsumentens förfogande, det räntebelopp som ska betalas per dag och andra villkor och anvisningar som gäller utnyttjande av ångerrätten, 
12) upplysning om rätten att återbetala krediten i förtid och om kreditgivarens eventuella rätt till ersättning för detta och ersättningsgrunderna samt anvisningar som gäller utnyttjande av den förtida återbetalningsrätten, 
13) dröjsmålsräntan och reglerna för ändring av den samt eventuella andra avgifter som tas ut vid avtalsbrott, 
14) varning om påföljderna vid betalningsförsummelse, 
15) upplysning om konsumentens rätt att på begäran och utan avgift få en amorteringstabell när som helst under kreditavtalets löptid, om det är fråga om ett kreditavtal som ingåtts för en bestämd tid och där skuldkapitalet ska amorteras i delar, 
16) en förteckning över betalningsperioder och betalningsvillkor för räntor och avgifter, om dessa ska betalas utan amortering av skuldkapitalet, 
17) upplysning om parternas rätt att säga upp eller häva kreditavtalet eller tidigareläggande av förfallodag, 
18) eventuella andra avtalsvillkor. 
Vid ett kreditavtal där konsumentens betalningar inte omedelbart medför en motsvarande amortering av det totala kreditbeloppet utan används för kapitalbildning under perioder och på villkor som anges i kreditavtalet eller i ett biavtal ska det i avtalsvillkoren klart och tydligt anges att ett sådant kreditavtal inte utgör någon garanti för att det totala utnyttjade kreditbeloppet enligt kreditavtalet återbetalas, om inte en sådan garanti ställs. 
 Paragraf eller bestämmelse om ikraftträdande börjar 
Denna förordning träder i kraft den 20 . 

STANDARDISERAT EU-FAKTABLAD

Förordningsutkast

Statsrådets förordning om krav på yrkesmässiga kvalifikationer för kreditgivare och kreditförmedlare i fråga om konsumentkrediter som har samband med bostadsegendom 

I enlighet med statsrådets beslut föreskrivs: 
1 § Krav på yrkesmässiga kvalifikationer för ledningen för förmedlare av konsumentkrediter som har samband med bostadsegendom 
Den högsta ledningen för förmedlare av konsumentkrediter som har samband med bostadsegendom ska, med tanke på verksamhetens art och omfattning, ha tillräcklig kompetens i fråga om krediter som förmedlas och andra tjänster, finansiering, ekonomi samt vid behov för bedömning av konsumenternas kreditvärdighet. Dessutom ska ledningen ha behövlig kunskap om följande: 
1) konsumentkrediter som har samband med bostadsegendom och de kompletterande tjänster som sedvanligt erbjuds i samband med krediten, 
2) konsumentskyddslagstiftning och annan lagstiftning som gäller i punkt 1 avsedda krediter och andra tjänster, 
3) den process som gäller köp av bostadsegendom, 
4) fastställande av värdet på bostadsegendom eller annan egendom som ges som säkerhet för krediter, 
5) de register som gäller fastigheter, 
6) kredit- och bostadsmarknaden i Finland, 
7) etiska normer för affärsverksamhet, 
8) processen för bedömning av konsumenternas kreditvärdighet. 
Den kompetens och kunskap som krävs ska visas med en lämplig examen eller lärograd och med arbetserfarenhet samt uppdateras.  
2 § Krav på yrkesmässiga kvalifikationer för personalen för kreditgivare och förmedlare av konsumentkrediter som har samband med bostadsegendom 
Personalen för förmedlare av konsumentkrediter som har samband med bostadsegendom och personalen för kreditgivare som beviljar sådana krediter ska ha sådan i 1 § 1 mom. avsedd kompetens och kunskap som behövs med beaktande av personens uppgift inom kreditgivningen, kreditförmedlingen eller tillhandahållandet av rådgivningstjänster. Kompetensen och kunskapen ska visas med en lämplig examen, lärograd, utbildning eller ett kompetenstest och eventuell arbetserfarenhet av motsvarande uppgifter. 
3 § Ikraftträdande 
Denna förordning träder i kraft den 2016. 
Den kunskap och kompetens som avses i förordningens 2 § kan fram till den 21 mars 2019 även visas enbart med adekvat arbetserfarenhet av motsvarande uppgifter. 
Förordningsutkast

Justitieministeriets förordning om den effektiva räntan på konsumentkrediter 

I enlighet med justitieministeriets beslut föreskrivs med stöd av 7 kap. 6 § 3 mom. och 7 a kap. 3 § 3 mom. i konsumentskyddslagen (38/1978) och 14 a § 2 mom. i lagen om pantlåneinrättningar (1353/1992), sådana de lyder, 7 kap. 6 § 3 mom. i konsumentskyddslagen i lag 746/2010, 7 a kap. 3 § 3 mom. i konsumentskyddslagen i lag ( / ) och 14 a § 2 mom. i lagen om pantlåneinrättningar i lag 748/2010: 
1 § Definitioner 
I denna förordning avses med 
1) överbryggningskredit en konsumentkredit som har samband med bostadsegendom och som har obestämd löptid eller som ska återbetalas inom 12 månader och som används av konsumenten som en tillfällig finansieringslösning under övergången till ett annat finansiellt arrangemang för bostadsegendomen, 
2) ansvarsförbindelse eller garanti ett kreditavtal som har samband med bostadsegendom och som tjänar som garanti för en annan separat men anknuten transaktion och där det kapital som säkrats med bostadsegendom endast utnyttjas vid inträffande av en händelse eller händelser som särskilt anges i avtalet, 
3) värderelaterat kreditavtal ett kreditavtal där det återbetalningspliktiga kapitalet är baserat på en i avtalet fastställd procentandel av värdet på bostadsegendomen vid tidpunkten eller tidpunkterna för återbetalning av kapitalet. 
2 § Beräkning av den effektiva räntan 
Den effektiva räntan på en kredit som omfattas av tillämpningsområdet för 7 eller 7 a kap. i konsumentskyddslagen (38/1978) och på ett lån som omfattas av tillämpningsområdet för lagen om pantlåneinrättningar (1353/1992) ska beräknas enligt den matematiska formel som återges i del I i bilagan. 
3 § Antaganden som ska användas vid beräkningen 
Vid beräkningen av den effektiva räntan ska man utgå från antagandet att kreditavtalet gäller för den tid som avtalats och att kreditgivaren och konsumenten fullgör sina skyldigheter med iakttagande av de villkor och de datum som anges i kreditavtalet. 
Om kreditavtal innehåller villkor som tillåter ändringar av den kreditränta och, i tillämpliga fall, de avgifter som ingår i den effektiva räntan men som är omöjliga att uppskatta när den beräknas, ska den effektiva räntan beräknas utifrån antagandet att krediträntan och övriga avgifter är fasta och gäller tills kreditavtalet löper ut. 
Dessutom ska de ytterligare antaganden som anges i del II i bilagan användas vid beräkningen av den effektiva räntan. 
4 § Ikraftträdande 
Denna förordning träder i kraft den 20. 
Genom denna förordning upphävs justitieministeriets förordning om den effektiva räntan på konsumentkrediter (824/2010). 

BERÄKNING AV DEN EFFEKTIVA RÄNTAN

I Grundläggande ekvation, som anger ekvivalensen mellan kreditutnyttjande å ena sidan och återbetalningar och avgifter för krediten å den andra. 
I den grundläggande ekvation som används för beräkningen av den effektiva räntan sätts likhetstecken årsvis mellan det samlade nuvärdet av de utnyttjade krediterna å ena sidan och å andra sidan det samlade nuvärdet av återbetalningar och avgiftsbetalningar enligt följande 
där 
X är den effektiva räntan 
m är det tal som motsvarar det sista kreditutnyttjandets plats i tidsföljden, 
k är det tal som motsvarar ett kreditutnyttjandes plats i tidsföljden, dvs. 1 ≤ k ≤ m,  
Ck är storleken på kreditutnyttjande nr k
tk är tiden, uttryckt i år och delar av år, mellan datumet för det första kreditutnyttjandet och datumet för varje kreditutnyttjande, dvs. t 1 = 0, 
m’är det tal som motsvarar den sista återbetalningens eller avgiftsbetalningens plats i tidsföljden, 
l är det tal som motsvarar en återbetalning eller avgiftsbetalning i tidsföljden, 
D1 är storleken på en återbetalning eller avgiftsbetalning, 
sl är tiden, uttryckt i år och delar av år, mellan datumet för det första kreditutnyttjandet och datumet för varje återbetalning eller avgiftsbetalning. 
Anmärkningar: 
1) De belopp som betalas av båda parter vid olika tidpunkter är inte nödvändigtvis lika stora och behöver inte nödvändigtvis betalas med lika stora intervaller. 
2) Begynnelsetidpunkt är datumet för det första kreditutnyttjandet. 
3) Intervallen mellan de vid beräkningen använda tidpunkterna anges i år eller delar av år. Ett år ska anses ha 365 dagar (skottår 366 dagar), 52 veckor eller tolv jämnlånga månader. En jämnlång månad anses ha 30,41666 dagar (dvs. 365/12), oavsett om det är skottår eller inte. 
Om intervallen mellan de vid beräkningen använda tidpunkterna inte kan anges som heltal av veckor, månader eller år, ska intervallen anges som heltal av en av dessa perioder i kombination med ett antal dagar. Om dagar används, ska 
a) varje dag räknas, inklusive veckoslut och helgdagar, 
b) jämnlånga perioder och sedan dagar räknas bakåt till tidpunkten för det första kreditutnyttjandet, 
c) längden av en period av dagar bestämmas exklusive den första dagen och inklusive den sista dagen och uttryckas i år genom att den aktuella perioden divideras med antalet dagar (365 eller 366 dagar) av hela året räknat bakåt från och med den sista dagen till samma dag under det föregående året. 
4) Resultatet av beräkningen ska uttryckas med åtminstone en decimals noggrannhet. Om siffran i den följande decimalen är större än eller lika med 5, ska siffran i den föregående decimalen höjas med ett. 
5) Ekvationen kan skrivas om med användning av en enda summa och begreppet ”flöde” (Ak), vilket är positivt eller negativt, dvs. utbetalat eller mottaget under perioderna 1—n, uttryckt i år. Detta ger följande ekvation: 
där S är den aktuella flödesbalansen. Om syftet är att se till att flödena är ekvivalenta, blir värdet noll. 
II Ytterligare antaganden vid beräkningen av den effektiva räntan 
1) Om konsumenten enligt kreditavtalet har ett fritt val i fråga om kreditutnyttjande, ska det sammanlagda kreditbeloppet omedelbart anses vara till fullo utnyttjat. 
2) Om kreditavtalet ger möjlighet att utnyttja krediten på olika sätt med olika avgifter eller krediträntor, ska det sammanlagda kreditbeloppet anses vara utnyttjat till högsta avgift och kreditränta som tillämpas på den vanligaste transaktionsformen inom den typen av kreditavtal. 
3) Om kreditavtalet allmänt ger konsumenten ett fritt val i fråga om kreditutnyttjande men bland de olika sätten för kreditutnyttjande ålägger en begränsning med avseende på belopp och tidsperiod, ska kreditbeloppet anses vara utnyttjat vid den tidigaste av de tidpunkter som anges i kreditavtalet och enligt dessa begränsningar i kreditutnyttjandet. 
4) När det gäller ett kreditavtal som är knutet till brukskonton, ska hela det sammanlagda kreditbeloppet anses vara utnyttjat under kreditavtalets hela löptid. Om man inte känner till kreditavtalets löptid, ska den effektiva räntan beräknas på antagandet att löptiden är tre månader. 
5) När det gäller en överbryggningskredit, ska hela det sammanlagda kreditbeloppet anses vara utnyttjat under kreditavtalets hela löptid. Om man inte känner till kreditavtalets löptid, ska den effektiva räntan beräknas på antagandet att löptiden är tolv månader. 
6) När det gäller en löpande kredit, som inte är knuten till brukskonton och inte heller en överbryggningskredit förväntas att 
a) en bostadskredit beviljas för 20 år från det första kreditutnyttjandet och det återstående kreditkapitalet och kreditkostnaderna blir till fullo betalda genom konsumentens sista betalning, 
b) en annan än en bostadskredit eller en kredit som utnyttjas genom betaltidskort eller kreditkort beviljas för ett år från det första kreditutnyttjandet och det återstående kreditkapitalet och kreditkostnaderna blir till fullo betalda genom konsumentens sista betalning, 
c) konsumenten återbetalar kreditkapitalet genom lika stora månadsbetalningar, med början en månad efter datumet för det första kreditutnyttjandet, eller om kapitalet ska betalas i sin helhet i form av engångsbetalning inom varje faktureringsperiod, antas att konsumentens senare kreditutnyttjanden och återbetalning av kapitalet i sin helhet sker inom ett år och kreditkostnaderna beaktas i enlighet med återbetalningen av kapitalet och enligt vad som bestäms i kreditavtalet. 
7) När det gäller en ansvarsförbindelse eller en garanti, ska hela det sammanlagda kreditbeloppet anses vara till fullo utnyttjat som ett enda belopp vid den tidigare av följande tidpunkter: 
a) senaste tillåtna datum för kreditutnyttjande enligt det kreditavtal som utgör den potentiella grunden för ansvarsförbindelsen eller garantin, eller 
b) om det är fråga om krediter som kan förnyas, vid utgången av den inledande perioden före avtalets förlängning. 
8) Om det är fråga om ett värderelaterat kreditavtal, antas att 
a) betalningarna alltid görs på senaste tillåtna datum enligt kreditavtalet, 
b) procentuella värdeökningar i den fasta egendom som har ställts som säkerhet för krediten och procentsatsen för eventuella inflationsindex som det hänvisas till i avtalet antas vara en procentsats som är lika med det högre värdet av centralbankens aktuella procentsats för inflationsmålet eller inflationsnivån i den medlemsstat där den fasta egendomen är belägen vid tidpunkten för ingående av kreditavtalet eller 0 %, om dessa procentsatser är negativa. 
9) Vid beräkning av den effektiva räntan på andra krediter än sådana som avses i 4—8 punkten antas att 
a) återbetalningen görs den dag som infaller tidigast av de dagar som nämns i kreditavtalet med det lägsta belopp som avtalats i kreditavtalet, om dagen för återbetalning av kapitalet eller beloppet inte är känt,  
b) det första kreditutnyttjandet sker den dag som ger upphov till det kortaste intervallet mellan den dagen och den dag då konsumenten ska göra sin första betalning, om dagen då kreditavtalet ingicks inte är känd. 
10) Om dag eller belopp för betalning av kreditkostnaderna inte kan bestämmas på grundval av kreditavtalet, de av kreditgivaren använda villkoren eller de antaganden som avses i 4—8 punkten, ska det antas att 
a) räntor betalas samtidigt som kapitalposterna,  
b) en engångsavgift som klassificeras som annat än ränta betalas den dag kreditavtalet ingås,  
c) avgifter som klassificeras som annat än räntor och som ska betalas i flera poster betalas regelbundet med början den dag då den första återbetalningen av kapital görs, och om beloppet för betalningarna inte är känt ska betalningarna antas vara lika stora,  
d) kreditkapitalet och kreditkostnaderna blir till fullo betalda genom konsumentens sista betalning. 
11) Om inget kreditbelopp ännu har avtalats, ska beloppet antas vara 170 000 euro. När det är fråga om en kredit som är knuten till ett brukskonto, en kredit som utnyttjas genom betaltidskort eller kreditkort, någon annan kredit än bostadskredit eller ansvarsförbindelse eller garanti, ska kreditbeloppet antas vara 1 500 euro. 
12) Om olika räntesatser och avgifter erbjuds under en begränsad period eller för ett begränsat belopp, ska räntesatsen och avgifterna anses vara den högsta satsen/avgiften under kreditavtalets hela löptid. 
13) För konsumentkreditavtal, i vilka en fast kreditränta fastställs för den inledande perioden, vid vars utgång en ny kreditränta fastställs och därefter regelbundet anpassas enligt en överenskommen indikator eller en intern referensränta, ska beräkningen av den effektiva räntan utgå från antagandet att  
krediträntan vid utgången av perioden med den fasta krediträntan är densamma som vid den tidpunkt då den effektiva räntan beräknades, grundad på den överenskomna indikatorns värde eller den interna referensräntan vid den tidpunkten, men dock inte är lägre än den fasta låneräntan. 
14) Vid beräkningen av den effektiva räntan på studielån ska det typiska kreditbeloppet anses vara 4 500 euro och den typiska lånetiden 15 år.